Resveratrol Mitigates High Glucose-Induced Inflammation in Astroglial Cells
Abstract
1. Introduction
2. Methods
2.1. C6 Astroglial Cell Culture and Treatments
2.2. MTT Reduction Assay
2.3. Extracellular Lactate Levels
2.4. Glucose Uptake Assay
2.5. Glutamate Uptake Assay
2.6. RNA Extraction and Quantitative RT-PCR
2.7. Measurement of Cytokine Levels
2.8. Protein Content
2.9. Statistical Analysis
3. Results
3.1. Resveratrol Attenuates High-Glucose–Induced Alterations in Glucose but Not Glutamate Metabolism in C6 Astroglial Cells
3.2. Resveratrol Prevents the High Glucose-Triggered Inflammatory Response in Astroglial Cells
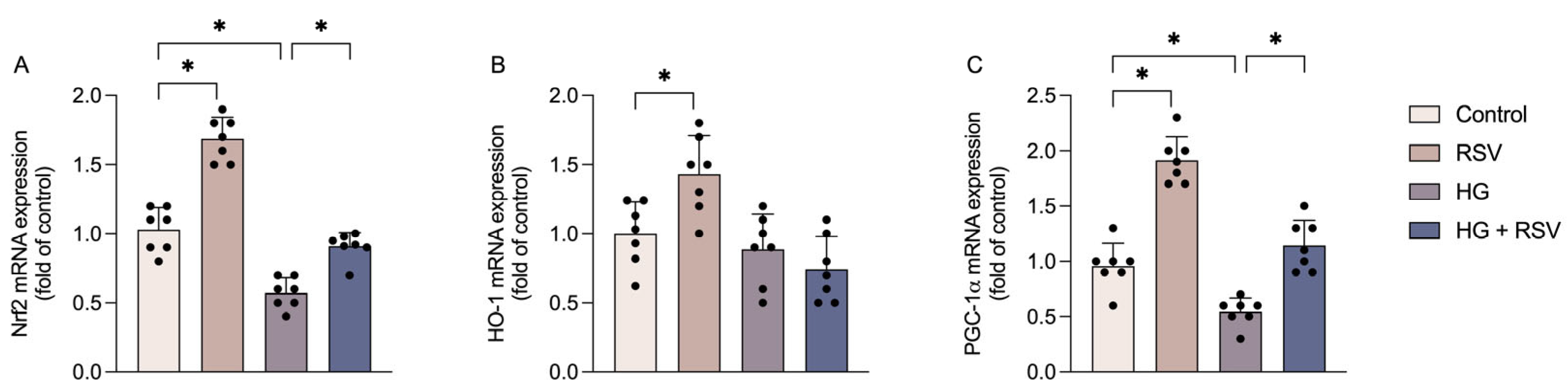
3.3. Signaling Pathways Associated with the Anti-Inflammatory Effects of Resveratrol
4. Discussion
Author Contributions
Funding
Institutional Review Board Statement
Informed Consent Statement
Data Availability Statement
Conflicts of Interest
References
- Sovrani, V.; Bobermin, L.D.; Schmitz, I.; Leipnitz, G.; Quincozes-Santos, A. Potential Glioprotective Strategies Against Diabetes-Induced Brain Toxicity. Neurotox. Res. 2021, 39, 1651–1664. [Google Scholar] [CrossRef]
- Simon Machado, R.; Mathias, K.; Joaquim, L.; Willig De Quadros, R.; Petronilho, F.; Tezza Rezin, G. From Diabetic Hyperglycemia to Cerebrovascular Damage: A Narrative Review. Brain Res. 2023, 1821, 148611. [Google Scholar] [CrossRef] [PubMed]
- Zhang, S.; Zhang, Y.; Wen, Z.; Yang, Y.; Bu, T.; Bu, X.; Ni, Q. Cognitive Dysfunction in Diabetes: Abnormal Glucose Metabolic Regulation in the Brain. Front. Endocrinol. 2023, 14, 1192602. [Google Scholar] [CrossRef] [PubMed]
- Vargas-Soria, M.; García-Alloza, M.; Corraliza-Gómez, M. Effects of Diabetes on Microglial Physiology: A Systematic Review of in Vitro, Preclinical and Clinical Studies. J. Neuroinflamm. 2023, 20, 57. [Google Scholar] [CrossRef] [PubMed]
- Quincozes-Santos, A.; Bobermin, L.D.; de Assis, A.M.; Gonçalves, C.A.; Souza, D.O. Fluctuations in Glucose Levels Induce Glial Toxicity with Glutamatergic, Oxidative and Inflammatory Implications. Biochim. Biophys. Acta—Mol. Basis Dis. 2017, 1863, 1–14. [Google Scholar] [CrossRef]
- Wang, J.; Li, G.; Wang, Z.; Zhang, X.; Yao, L.; Wang, F.; Liu, S.; Yin, J.; Ling, E.-A.; Wang, L.; et al. High Glucose-Induced Expression of Inflammatory Cytokines and Reactive Oxygen Species in Cultured Astrocytes. Neuroscience 2012, 202, 58–68. [Google Scholar] [CrossRef]
- Lee, K.-S.; Yoon, S.-H.; Hwang, I.; Ma, J.-H.; Yang, E.; Kim, R.H.; Kim, E.; Yu, J.-W. Hyperglycemia Enhances Brain Susceptibility to Lipopolysaccharide-Induced Neuroinflammation via Astrocyte Reprogramming. J. Neuroinflamm. 2024, 21, 137. [Google Scholar] [CrossRef]
- Naveed, M.; Smedlund, K.; Zhou, Q.-G.; Cai, W.; Hill, J.W. Astrocyte Involvement in Metabolic Regulation and Disease. Trends Endocrinol. Metab. 2025, 36, 219–234. [Google Scholar] [CrossRef]
- Meng, F.; Fu, J.; Zhang, L.; Guo, M.; Zhuang, P.; Yin, Q.; Zhang, Y. Function and Therapeutic Value of Astrocytes in Diabetic Cognitive Impairment. Neurochem. Int. 2023, 169, 105591. [Google Scholar] [CrossRef]
- De Lima, E.P.; Laurindo, L.F.; Catharin, V.C.S.; Direito, R.; Tanaka, M.; Jasmin Santos German, I.; Lamas, C.B.; Guiguer, E.L.; Araújo, A.C.; Fiorini, A.M.R.; et al. Polyphenols, Alkaloids, and Terpenoids Against Neurodegeneration: Evaluating the Neuroprotective Effects of Phytocompounds Through a Comprehensive Review of the Current Evidence. Metabolites 2025, 15, 124. [Google Scholar] [CrossRef]
- Miguel, C.A.; Noya-Riobó, M.V.; Mazzone, G.L.; Villar, M.J.; Coronel, M.F. Antioxidant, Anti-Inflammatory and Neuroprotective Actions of Resveratrol after Experimental Nervous System Insults. Special Focus on the Molecular Mechanisms Involved. Neurochem. Int. 2021, 150, 105188. [Google Scholar] [CrossRef] [PubMed]
- Ma, X.; Sun, Z.; Han, X.; Li, S.; Jiang, X.; Chen, S.; Zhang, J.; Lu, H. Neuroprotective Effect of Resveratrol via Activation of Sirt1 Signaling in a Rat Model of Combined Diabetes and Alzheimer’s Disease. Front. Neurosci. 2020, 13, 1400. [Google Scholar] [CrossRef] [PubMed]
- Zhang, W.; Yu, H.; Lin, Q.; Liu, X.; Cheng, Y.; Deng, B. Anti-Inflammatory Effect of Resveratrol Attenuates the Severity of Diabetic Neuropathy by Activating the Nrf2 Pathway. Aging 2021, 13, 10659–10671. [Google Scholar] [CrossRef]
- Jing, Y.-H.; Chen, K.-H.; Kuo, P.-C.; Pao, C.-C.; Chen, J.-K. Neurodegeneration in Streptozotocin-Induced Diabetic Rats Is Attenuated by Treatment with Resveratrol. Neuroendocrinology 2013, 98, 116–127. [Google Scholar] [CrossRef]
- Wang, X.; Fang, H.; Xu, G.; Yang, Y.; Xu, R.; Liu, Q.; Xue, X.; Liu, J.; Wang, H. Resveratrol Prevents Cognitive Impairment in Type 2 Diabetic Mice by Upregulating Nrf2 Expression and Transcriptional Level. Diabetes Metab. Syndr. Obes. Targets Ther. 2020, 13, 1061–1075. [Google Scholar] [CrossRef]
- Tufekci, K.U.; Eltutan, B.I.; Isci, K.B.; Genc, S. Resveratrol Inhibits NLRP3 Inflammasome-Induced Pyroptosis and miR-155 Expression in Microglia Through Sirt1/AMPK Pathway. Neurotox. Res. 2021, 39, 1812–1829. [Google Scholar] [CrossRef]
- Garrigue, P.; Mounien, L.; Champion, S.; Mouhajir, Y.; Pechere, L.; Guillet, B.; Landrier, J.-F.; Seree, E. Long-Term Administration of Resveratrol at Low Doses Improves Neurocognitive Performance as Well as Cerebral Blood Flow and Modulates the Inflammatory Pathways in the Brain. J. Nutr. Biochem. 2021, 97, 108786. [Google Scholar] [CrossRef]
- dos Santos, A.Q.; Nardin, P.; Funchal, C.; Vieira de Almeida, L.M.; Jacques-Silva, M.C.; Wofchuk, S.T.; Gonçalves, C.A.; Gottfried, C. Resveratrol Increases Glutamate Uptake and Glutamine Synthetase Activity in C6 Glioma Cells. Arch. Biochem. Biophys. 2006, 453, 161–167. [Google Scholar] [CrossRef]
- Hernández-Contreras, K.A.; Rojas-Durán, F.; Hernández-Aguilar, M.E.; Herrera-Covarrubias, D.; Godinez-Victoria, M.; Manzo-Denes, J.; Pérez-Estudillo, C.A.; Ramos-Morales, F.R.; Toledo-Cárdenas, R.; Aranda-Abreu, G.E. High Glucose Concentration on the Metabolic Activity of C6 Glia Cells: Implication in Alzheimer’s Disease. BioMed 2025, 5, 3. [Google Scholar] [CrossRef]
- Livak, K.J.; Schmittgen, T.D. Analysis of Relative Gene Expression Data Using Real-Time Quantitative PCR and the 2−ΔΔCT Method. Methods 2001, 25, 402–408. [Google Scholar] [CrossRef]
- Lowry, O.H.; Rosebrough, N.J.; Farr, A.L.; Randall, R.J. Protein Measurement with the Folin Phenol Reagent. J. Biol. Chem. 1951, 193, 265–275. [Google Scholar] [CrossRef]
- Chen, J.; Guo, Y.; Cheng, W.; Chen, R.; Liu, T.; Chen, Z.; Tan, S. High Glucose Induces Apoptosis and Suppresses Proliferation of Adult Rat Neural Stem Cells Following In Vitro Ischemia. BMC Neurosci. 2013, 14, 24. [Google Scholar] [CrossRef]
- Huang, Y.-Q.; Gu, X.; Chen, X.; Du, Y.-T.; Chen, B.-C.; Sun, F.-Y. BMECs Ameliorate High Glucose-Induced Morphological Aberrations and Synaptic Dysfunction via VEGF-Mediated Modulation of Glucose Uptake in Cortical Neurons. Cell. Mol. Neurobiol. 2023, 43, 3575–3592. [Google Scholar] [CrossRef]
- Zhang, S.; Lachance, B.B.; Mattson, M.P.; Jia, X. Glucose Metabolic Crosstalk and Regulation in Brain Function and Diseases. Prog. Neurobiol. 2021, 204, 102089. [Google Scholar] [CrossRef] [PubMed]
- Baraibar, A.M.; Ardanaz, C.G.; Mato, S.; Kofuji, P.; Araque, A.; Solas, M. Astrocytic Glucose Sensing Drives Synaptic Depression under Metabolic Stress. Aging Dis. 2025; online ahead of print. [Google Scholar] [CrossRef]
- Dienel, G.A. Brain Glucose Metabolism: Integration of Energetics with Function. Physiol. Rev. 2019, 99, 949–1045. [Google Scholar] [CrossRef] [PubMed]
- Beard, E.; Lengacher, S.; Dias, S.; Magistretti, P.J.; Finsterwald, C. Astrocytes as Key Regulators of Brain Energy Metabolism: New Therapeutic Perspectives. Front. Physiol. 2021, 12, 825816. [Google Scholar] [CrossRef] [PubMed]
- Thomaz, N.K.; Bobermin, L.D.; Sesterheim, P.; Varela, A.P.M.; Fumaco, T.; Seady, M.; Parmeggiani, B.; Leite, M.C.; Leipnitz, G.; Santi, L.; et al. High Glucose Potentiates Zika Virus Induced-Astroglial Dysfunctions. J. Neurovirol. 2025, 31, 84–94. [Google Scholar] [CrossRef]
- Staricha, K.; Meyers, N.; Garvin, J.; Liu, Q.; Rarick, K.; Harder, D.; Cohen, S. Effect of High Glucose Condition on Glucose Metabolism in Primary Astrocytes. Brain Res. 2020, 1732, 146702. [Google Scholar] [CrossRef]
- Wang, Q.; Xu, J.; Rottinghaus, G.E.; Simonyi, A.; Lubahn, D.; Sun, G.Y.; Sun, A.Y. Resveratrol Protects against Global Cerebral Ischemic Injury in Gerbils. Brain Res. 2002, 958, 439–447. [Google Scholar] [CrossRef]
- Shu, X.-H.; Wang, L.-L.; Li, H.; Song, X.; Shi, S.; Gu, J.-Y.; Wu, M.-L.; Chen, X.-Y.; Kong, Q.-Y.; Liu, J. Diffusion Efficiency and Bioavailability of Resveratrol Administered to Rat Brain by Different Routes: Therapeutic Implications. Neurotherapeutics 2015, 12, 491–501. [Google Scholar] [CrossRef]
- Katekar, R.; Thombre, G.; Riyazuddin, M.; Husain, A.; Rani, H.; Praveena, K.S.; Gayen, J.R. Pharmacokinetics and Brain Targeting of Trans -Resveratrol Loaded Mixed Micelles in Rats Following Intravenous Administration. Pharm. Dev. Technol. 2020, 25, 300–307. [Google Scholar] [CrossRef] [PubMed]
- Andrade, S.; Ramalho, M.J.; Pereira, M.D.C.; Loureiro, J.A. Resveratrol Brain Delivery for Neurological Disorders Prevention and Treatment. Front. Pharmacol. 2018, 9, 1261. [Google Scholar] [CrossRef] [PubMed]
- Koepsell, H. Glucose Transporters in Brain in Health and Disease. Pflüg. Arch.—Eur. J. Physiol. 2020, 472, 1299–1343. [Google Scholar] [CrossRef]
- Thieren, L.; Zanker, H.S.; Droux, J.; Dalvi, U.; Wyss, M.T.; Waag, R.; Germain, P.-L.; Von Ziegler, L.M.; Looser, Z.J.; Hösli, L.; et al. Astrocytic GLUT1 Deletion in Adult Mice Enhances Glucose Metabolism and Resilience to Stroke. Nat. Commun. 2025, 16, 4190. [Google Scholar] [CrossRef]
- León, D.; Uribe, E.; Zambrano, A.; Salas, M. Implications of Resveratrol on Glucose Uptake and Metabolism. Molecules 2017, 22, 398. [Google Scholar] [CrossRef]
- Liu, S.; Zhou, S. Lactate: A New Target for Brain Disorders. Neuroscience 2024, 552, 100–111. [Google Scholar] [CrossRef]
- Yang, Y.; Wang, J.; Li, Y.; Fan, C.; Jiang, S.; Zhao, L.; Di, S.; Xin, Z.; Wang, B.; Wu, G.; et al. HO-1 Signaling Activation by Pterostilbene Treatment Attenuates Mitochondrial Oxidative Damage Induced by Cerebral Ischemia Reperfusion Injury. Mol. Neurobiol. 2016, 53, 2339–2353. [Google Scholar] [CrossRef]
- Bélanger, M.; Allaman, I.; Magistretti, P.J. Brain Energy Metabolism: Focus on Astrocyte-Neuron Metabolic Cooperation. Cell Metab. 2011, 14, 724–738. [Google Scholar] [CrossRef]
- Tramontina, A.C.; Nardin, P.; Quincozes-Santos, A.; Tortorelli, L.; Wartchow, K.M.; Andreazza, A.C.; Braganhol, E.; De Souza, D.O.G.; Gonçalves, C.-A. High-Glucose and S100B Stimulate Glutamate Uptake in C6 Glioma Cells. Neurochem. Res. 2012, 37, 1399–1408. [Google Scholar] [CrossRef]
- Guillem, A.M.; Krizman, E.N.; Robinson, M.B. Rapid Regulation of Glutamate Transport: Where Do We Go from Here? Neurochem. Res. 2022, 47, 61–84. [Google Scholar] [CrossRef]
- Schousboe, A.; Scafidi, S.; Bak, L.K.; Waagepetersen, H.S.; McKenna, M.C. Glutamate Metabolism in the Brain Focusing on Astrocytes. Adv. Neurobiol. 2014, 11, 13–30. [Google Scholar] [CrossRef] [PubMed]
- Soto-Heredero, G.; Gómez De Las Heras, M.M.; Gabandé-Rodríguez, E.; Oller, J.; Mittelbrunn, M. Glycolysis—A Key Player in the Inflammatory Response. FEBS J. 2020, 287, 3350–3369. [Google Scholar] [CrossRef] [PubMed]
- Ghosh, M.; Yang, Y.; Rothstein, J.D.; Robinson, M.B. Nuclear Factor-κB Contributes to Neuron-Dependent Induction of Glutamate Transporter-1 Expression in Astrocytes. J. Neurosci. Off. J. Soc. Neurosci. 2011, 31, 9159–9169. [Google Scholar] [CrossRef] [PubMed]
- Song, Y.; Zhang, F.; Ying, C.; Kumar, K.A.; Zhou, X. Inhibition of NF-κB Activity by Aminoguanidine Alleviates Neuroinflammation Induced by Hyperglycemia. Metab. Brain Dis. 2017, 32, 1627–1637. [Google Scholar] [CrossRef]
- Xu, W.; Huang, Y.; Zhou, R. NLRP3 Inflammasome in Neuroinflammation and Central Nervous System Diseases. Cell. Mol. Immunol. 2025, 22, 341–355. [Google Scholar] [CrossRef]
- Wang, J.; Shen, X.; Liu, J.; Chen, W.; Wu, F.; Wu, W.; Meng, Z.; Zhu, M.; Miao, C. High Glucose Mediates NLRP3 Inflammasome Activation via Upregulation of ELF3 Expression. Cell Death Dis. 2020, 11, 383. [Google Scholar] [CrossRef]
- Su, W.-J.; Li, J.-M.; Zhang, T.; Cao, Z.-Y.; Hu, T.; Zhong, S.-Y.; Xu, Z.-Y.; Gong, H.; Jiang, C.-L. Microglial NLRP3 Inflammasome Activation Mediates Diabetes-Induced Depression-like Behavior via Triggering Neuroinflammation. Prog. Neuropsychopharmacol. Biol. Psychiatry 2023, 126, 110796. [Google Scholar] [CrossRef]
- Li, L.; Acioglu, C.; Heary, R.F.; Elkabes, S. Role of Astroglial Toll-like Receptors (TLRs) in Central Nervous System Infections, Injury and Neurodegenerative Diseases. Brain. Behav. Immun. 2021, 91, 740–755. [Google Scholar] [CrossRef]
- Badillo-Garcia, L.E.; Liu, Q.; Ziebner, K.; Balduff, M.; Sevastyanova, T.; Schmuttermaier, C.; Klüter, H.; Harmsen, M.; Kzhyshkowska, J. Hyperglycemia Amplifies TLR-Mediated Inflammatory Response of M(IL4) Macrophages to Dyslipidemic Ligands. J. Leukoc. Biol. 2024, 116, 197–204. [Google Scholar] [CrossRef]
- Wang, Z.; Ni, X.; Zhang, L.; Sun, L.; Zhu, X.; Zhou, Q.; Yang, Z.; Yuan, H. Toll-Like Receptor 4 and Inflammatory Micro-Environment of Pancreatic Islets in Type-2 Diabetes Mellitus: A Therapeutic Perspective. Diabetes Metab. Syndr. Obes. Targets Ther. 2020, 13, 4261–4272. [Google Scholar] [CrossRef]
- Nashtahosseini, Z.; Eslami, M.; Paraandavaji, E.; Haraj, A.; Dowlat, B.F.; Hosseinzadeh, E.; Oksenych, V.; Naderian, R. Cytokine Signaling in Diabetic Neuropathy: A Key Player in Peripheral Nerve Damage. Biomedicines 2025, 13, 589. [Google Scholar] [CrossRef]
- Chistyakov, D.V.; Azbukina, N.V.; Astakhova, A.A.; Polozhintsev, A.I.; Sergeeva, M.G.; Reiser, G. Toll-like Receptors Control P38 and JNK MAPK Signaling Pathways in Rat Astrocytes Differently, When Cultured in Normal or High Glucose Concentrations. Neurochem. Int. 2019, 131, 104513. [Google Scholar] [CrossRef] [PubMed]
- Nakano-Kobayashi, A.; Canela, A.; Yoshihara, T.; Hagiwara, M. Astrocyte-Targeting Therapy Rescues Cognitive Impairment Caused by Neuroinflammation via the Nrf2 Pathway. Proc. Natl. Acad. Sci. USA 2023, 120, e2303809120. [Google Scholar] [CrossRef] [PubMed]
- Wakabayashi, N.; Slocum, S.L.; Skoko, J.J.; Shin, S.; Kensler, T.W. When NRF2 Talks, Who’s Listening? Antioxid. Redox Signal. 2010, 13, 1649–1663. [Google Scholar] [CrossRef] [PubMed]
- Tang, M.; Liu, Y.; Hu, Z.; Luo, H.; Zhang, S.; Shi, C.; Xu, Y. Study Insights in the Role of PGC-1α in Neurological Diseases: Mechanisms and Therapeutic Potential. Front. Aging Neurosci. 2025, 16, 1454735. [Google Scholar] [CrossRef]
- Chi, H.; Sun, Y.; Lin, P.; Zhou, J.; Zhang, J.; Yang, Y.; Qiao, Y.; Liu, D. Glucose Fluctuation Inhibits Nrf2 Signaling Pathway in Hippocampal Tissues and Exacerbates Cognitive Impairment in Streptozotocin-Induced Diabetic Rats. J. Diabetes Res. 2024, 2024, 5584761. [Google Scholar] [CrossRef]
- Gureev, A.P.; Shaforostova, E.A.; Popov, V.N. Regulation of Mitochondrial Biogenesis as a Way for Active Longevity: Interaction Between the Nrf2 and PGC-1α Signaling Pathways. Front. Genet. 2019, 10, 435. [Google Scholar] [CrossRef]
- Ahmad, S.F.; Ansari, M.A.; Nadeem, A.; Alzahrani, M.Z.; Bakheet, S.A.; Attia, S.M. Resveratrol Improves Neuroimmune Dysregulation Through the Inhibition of Neuronal Toll-Like Receptors and COX-2 Signaling in BTBR T+ Itpr3tf/J Mice. Neuromolecular Med. 2018, 20, 133–146. [Google Scholar] [CrossRef]
- Galland, F.; Seady, M.; Taday, J.; Smaili, S.S.; Gonçalves, C.A.; Leite, M.C. Astrocyte Culture Models: Molecular and Function Characterization of Primary Culture, Immortalized Astrocytes and C6 Glioma Cells. Neurochem. Int. 2019, 131, 104538. [Google Scholar] [CrossRef]
- Baber, Z.; Haghighat, N. Glutamine Synthetase Gene Expression and Glutamate Transporters in C6-Glioma Cells. Metab. Brain Dis. 2010, 25, 413–418. [Google Scholar] [CrossRef]
- Parker, K.K.; Norenberg, M.D.; Vernadakis, A. “Transdifferentiation” of C6 Glial Cells in Culture. Science 1980, 208, 179–181. [Google Scholar] [CrossRef]
- Raju, T.R.; Bignami, A.; Dahl, D. Glial Fibrillary Acidic Protein in Monolayer Cultures of C-6 Glioma Cells: Effect of Aging and Dibutyryl Cyclic AMP. Brain Res. 1980, 200, 225–230. [Google Scholar] [CrossRef]
- Quincozes-Santos, A.; Bobermin, L.D.; Tramontina, A.C.; Wartchow, K.M.; Da Silva, V.-F.; Gayger-Dias, V.; Thomaz, N.K.; De Moraes, A.D.M.; Schauren, D.; Nardin, P.; et al. Glioprotective Effects of Resveratrol Against Glutamate-Induced Cellular Dysfunction: The Role of Heme Oxygenase 1 Pathway. Neurotox. Res. 2025, 43, 7. [Google Scholar] [CrossRef]
- Selistre, N.G.; Rodrigues, L.; Federhen, B.C.; Gayger-Dias, V.; Taday, J.; Wartchow, K.M.; Gonçalves, C.-A. S100B Secretion in Astrocytes, Unlike C6 Glioma Cells, Is Downregulated by Lactate. Metabolites 2023, 14, 7. [Google Scholar] [CrossRef]
- Dludla, P.V.; Silvestri, S.; Orlando, P.; Gabuza, K.B.; Mazibuko-Mbeje, S.E.; Nyambuya, T.M.; Mxinwa, V.; Mokgalaboni, K.; Johnson, R.; Muller, C.J.F.; et al. Exploring the Comparative Efficacy of Metformin and Resveratrol in the Management of Diabetes-Associated Complications: A Systematic Review of Preclinical Studies. Nutrients 2020, 12, 739. [Google Scholar] [CrossRef]





Disclaimer/Publisher’s Note: The statements, opinions and data contained in all publications are solely those of the individual author(s) and contributor(s) and not of MDPI and/or the editor(s). MDPI and/or the editor(s) disclaim responsibility for any injury to people or property resulting from any ideas, methods, instructions or products referred to in the content. |
© 2025 by the authors. Licensee MDPI, Basel, Switzerland. This article is an open access article distributed under the terms and conditions of the Creative Commons Attribution (CC BY) license (https://creativecommons.org/licenses/by/4.0/).
Share and Cite
Sovrani, V.; Dias, F.R.P.; Almeida, R.R.d.S.; Wartchow, K.M.; Glänzel, N.M.; Rezena, E.; Gonçalves, C.-A.; Leipnitz, G.; Bobermin, L.D.; Quincozes-Santos, A. Resveratrol Mitigates High Glucose-Induced Inflammation in Astroglial Cells. Metabolites 2025, 15, 771. https://doi.org/10.3390/metabo15120771
Sovrani V, Dias FRP, Almeida RRdS, Wartchow KM, Glänzel NM, Rezena E, Gonçalves C-A, Leipnitz G, Bobermin LD, Quincozes-Santos A. Resveratrol Mitigates High Glucose-Induced Inflammation in Astroglial Cells. Metabolites. 2025; 15(12):771. https://doi.org/10.3390/metabo15120771
Chicago/Turabian StyleSovrani, Vanessa, Filipe Renato Pereira Dias, Rômulo Rodrigo de Souza Almeida, Krista Minéia Wartchow, Nícolas Manzke Glänzel, Ester Rezena, Carlos-Alberto Gonçalves, Guilhian Leipnitz, Larissa Daniele Bobermin, and André Quincozes-Santos. 2025. "Resveratrol Mitigates High Glucose-Induced Inflammation in Astroglial Cells" Metabolites 15, no. 12: 771. https://doi.org/10.3390/metabo15120771
APA StyleSovrani, V., Dias, F. R. P., Almeida, R. R. d. S., Wartchow, K. M., Glänzel, N. M., Rezena, E., Gonçalves, C.-A., Leipnitz, G., Bobermin, L. D., & Quincozes-Santos, A. (2025). Resveratrol Mitigates High Glucose-Induced Inflammation in Astroglial Cells. Metabolites, 15(12), 771. https://doi.org/10.3390/metabo15120771

