S-ABA Enhances Rice Salt Tolerance by Regulating Na+/K+ Balance and Hormone Homeostasis
Abstract
1. Introduction
2. Materials and Methods
2.1. Design and Program of the Experiment
2.2. Measurement of Growth Characteristics
Measurement of Morphological Indicators
2.3. Gas Exchange Parameters and Measurement of SPAD
2.4. ROS Content Determination
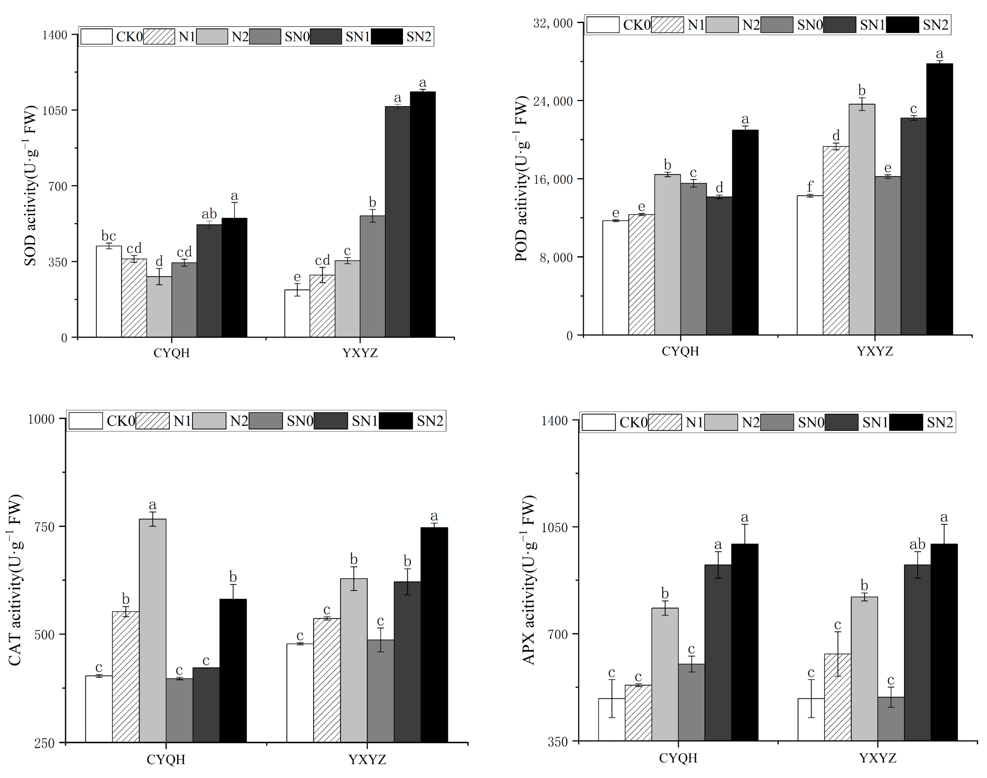
2.5. Measurement of Antioxidant Enzyme Activity
2.6. Measurement of Non-Antioxidant Content
2.7. Determination of Ascorbic Acid (AsA) and Glutathione (GsH) Levels
2.8. Endogenous Hormone Level of the Plants
2.9. Measurement of Na+ and K+ Content
2.10. Statistical Analysis
3. Results and Analysis
3.1. Effects of S-ABA Treatment on Growth and Development of Rice under Salt Stress
3.2. Effects of Exogenous S-ABA Treatment on Na+/K+ Homeostasis and Osmotic Substance Regulation under Salt Stress
3.3. Effects of Exogenous S-ABA Treatment on Photosynthetic Efficiency and SPAD Value of Rice under Salt Stress
3.4. Effects of Exogenous S-ABA Treatment on Alleviating Physiological Mechanisms under Salt Stress
3.5. Regulation of Endogenous Hormone Stability in Rice Leaves from Applying Exogenous S-ABA under Salt Stress
3.6. Correlation Analysis of Physiological and Biochemical Indexes
4. Discussion
4.1. Exogenous S-ABA Maintains Normal Rice Growth under Salt Stress
4.2. Exogenous S-ABA’s Effects on Na+/K+ Stability in Rice under Salt Stress
4.3. Exogenous S-ABA’s Effects on Photosynthetic Efficiency in Rice under Salt Stress
4.4. Exogenous S-ABA’s Effects on Photosynthetic Efficiency in Rice under Salt Stress
4.5. Exogenous S-ABA’s Effects on Endogenous Hormone Dynamics in Rice under Salt Stress
5. Conclusions
Author Contributions
Funding
Institutional Review Board Statement
Informed Consent Statement
Data Availability Statement
Conflicts of Interest
References
- Yu, X.; Yang, J.; Graf, T.; Koneshloo, M.; O’Neal, M.A.; Michael, H.A. Impact of topography on groundwater salinization due to ocean surge inundation. Water Resour. Res. 2016, 52, 5794–5812. [Google Scholar] [CrossRef]
- Shrivastava, P.; Kumar, R. Soil salinity: A serious environmental issue and plant growth promoting bacteria as one of the tools for its alleviation. Saudi J. Biol. Sci. 2015, 22, 123–131. [Google Scholar] [CrossRef] [PubMed]
- Ma, Y.; Tashpolat, N. Current Status and Development Trend of Soil Salinity Monitoring Research in China. Sustainability 2023, 15, 5874. [Google Scholar] [CrossRef]
- Huang, S.; Xin, S.; Xie, G.; Han, J.; Liu, Z.; Wang, B.; Zhang, S.; Wu, Q.; Cheng, X. Mutagenesis reveals that the rice OsMPT3 gene is an important osmotic regulatory factor. Crop J. 2020, 8, 465–479. [Google Scholar] [CrossRef]
- Prittesh, P.; Avnika, P.; Kinjal, P.; Jinal, H.N.; Sakthivel, K.; Amaresan, N. Amelioration effect of salt-tolerant plant growth-promoting bacteria on growth and physiological properties of rice (Oryza sativa) under salt-stressed conditions. Arch. Microbiol. 2020, 202, 2419–2428. [Google Scholar] [CrossRef] [PubMed]
- Yang, Y.Q.; Guo, Y. Elucidating the molecular mechanisms mediating plant salt-stress responses. New Phytol. 2018, 217, 523–539. [Google Scholar] [CrossRef]
- Li, J.; Liu, J.; Zhu, T.; Zhao, C.; Li, L.; Chen, M. The Role of Melatonin in Salt Stress Responses. Int. J. Mol. Sci. 2019, 20, 1735. [Google Scholar] [CrossRef]
- Podzimska-Sroka, D.; O’Shea, C.; Gregersen, P.; Skriver, K. NAC Transcription Factors in Senescence: From Molecular Structure to Function in Crops. Plants 2015, 4, 412–448. [Google Scholar] [CrossRef]
- Balazadeh, S.; Jaspert, N.; Arif, M.; Mueller-Roeber, B.; Maurino, V.G. Expression of ROS-responsive genes and transcription factors after metabolic formation of H2O2 in chloroplasts. Front. Plant Sci. 2012, 3, 34399. [Google Scholar] [CrossRef]
- Leng, Y.; Ye, G.; Zeng, D. Genetic Dissection of Leaf Senescence in Rice. Int. J. Mol. Sci. 2017, 18, 2686. [Google Scholar] [CrossRef]
- Shah, F.A.; Ni, J.; Tang, C.; Chen, X.; Kan, W.; Wu, L. Karrikinolide alleviates salt stress in wheat by regulating the redox and K+/Na+ homeostasis. Plant Physiol. Biochem. 2021, 167, 921–933. [Google Scholar] [CrossRef] [PubMed]
- Yao, C.; Zhang, F.; Sun, X.; Shang, D.; He, F.; Li, X.; Zhang, J.; Jiang, X. Effects of S-Abscisic Acid (S-ABA) on Seed Germination, Seedling Growth, and Asr1 Gene Expression under Drought Stress in Maize. J. Plant Growth Regul. 2019, 38, 1300–1313. [Google Scholar] [CrossRef]
- Qiao, Z.; Yao, C.; Sun, S.; Zhang, F.; Yao, X.; Li, X.; Zhang, J.; Jiang, X. Spraying S-ABA Can Alleviate the Growth Inhibition of Corn (Zea mays L.) under Water-Deficit Stress. J. Soil Sci. Plant Nutr. 2023, 23, 1222–1234. [Google Scholar] [CrossRef]
- Hussain, S.; Nanda, S.; Ashraf, M.; Siddiqui, A.R.; Masood, S.; Khaskheli, M.A.; Suleman, M.; Zhu, L.; Zhu, C.; Cao, X.; et al. Interplay Impact of Exogenous Application of Abscisic Acid (ABA) and Brassinosteroids (BRs) in Rice Growth, Physiology, and Resistance under Sodium Chloride Stress. Life 2023, 13, 498. [Google Scholar] [CrossRef]
- Huang, S.; Hu, L.; Zhang, S.; Zhang, M.; Jiang, W.; Wu, T.; Du, X. Rice OsWRKY50 Mediates ABA-Dependent Seed Germination and Seedling Growth, and ABA-Independent Salt Stress Tolerance. Int. J. Mol. Sci. 2021, 22, 8625. [Google Scholar] [CrossRef] [PubMed]
- Liu, X.-L.; Zhang, H.; Jin, Y.-Y.; Wang, M.-M.; Yang, H.-Y.; Ma, H.-Y.; Jiang, C.-J.; Liang, Z.-W. Abscisic acid primes rice seedlings for enhanced tolerance to alkaline stress by upregulating antioxidant defense and stress tolerance-related genes. Plant Soil 2019, 438, 39–55. [Google Scholar] [CrossRef]
- Wei, L.-X.; Lv, B.-S.; Li, X.-W.; Wang, M.-M.; Ma, H.-Y.; Yang, H.-Y.; Yang, R.-F.; Piao, Z.-Z.; Wang, Z.-H.; Lou, J.-H.; et al. Priming of rice (Oryza sativa L.) seedlings with abscisic acid enhances seedling survival, plant growth, and grain yield in saline-alkaline paddy fields. Field Crop. Res. 2017, 203, 86–93. [Google Scholar] [CrossRef]
- Feng, N.; Yu, M.; Li, Y.; Jin, D.; Zheng, D. Prohexadione-calcium alleviates saline-alkali stress in soybean seedlings by improving the photosynthesis and up-regulating antioxidant defense. Ecotoxicol. Environ. Saf. 2021, 220, 112369. [Google Scholar] [CrossRef]
- Di, X.; Zheng, F.; Norton, G.J.; Beesley, L.; Zhang, Z.; Lin, H.; Zhi, S.; Liu, X.; Ding, Y. Physiological responses and transcriptome analyses of upland rice following exposure to arsenite and arsenate. Environ. Exp. Bot. 2021, 183, 104366. [Google Scholar] [CrossRef]
- Jiang, D.; Hou, J.; Gao, W.; Tong, X.; Li, M.; Chu, X.; Chen, G. Exogenous spermidine alleviates the adverse effects of aluminum toxicity on photosystem II through improved antioxidant system and endogenous polyamine contents. Ecotoxicol. Environ. Saf. 2021, 207, 111265. [Google Scholar] [CrossRef]
- Panda, A.; Rangani, J.; Kumari, A.; Parida, A.K. Efficient regulation of arsenic translocation to shoot tissue and modulation of phytochelatin levels and antioxidative defense system confers salinity and arsenic tolerance in the Halophyte Suaeda maritima. Environ. Exp. Bot. 2017, 143, 149–171. [Google Scholar] [CrossRef]
- Gratão, P.L.; Monteiro, C.C.; Carvalho, R.F.; Tezotto, T.; Piotto, F.A.; Peres, L.E.P.; Azevedo, R.A. Biochemical dissection of diageotropica and Never ripe tomato mutants to Cd-stressful conditions. Plant Physiol. Biochem. 2012, 56, 79–96. [Google Scholar] [CrossRef]
- Jiang, H.; Li, Z.; Jiang, X.; Qin, Y. Effects of Salt Stress on Photosynthetic Fluorescence Characteristics, Antioxidant System, and Osmoregulation of Coreopsis tinctoria Nutt. HortScience 2021, 56, 1066–1072. [Google Scholar] [CrossRef]
- Iwagami, T.; Ogawa, T.; Ishikawa, T.; Maruta, T. Activation of ascorbate metabolism by nitrogen starvation and its physiological impacts in Arabidopsis thaliana. Biosci. Biotechnol. Biochem. 2022, 86, 476–489. [Google Scholar] [CrossRef] [PubMed]
- Per, T.S.; Masood, A.; Khan, N.A. Nitric oxide improves S-assimilation and GSH production to prevent inhibitory effects of cadmium stress on photosynthesis in mustard (Brassica juncea L.). Nitric Oxide 2017, 68, 111–124. [Google Scholar] [CrossRef] [PubMed]
- Altaf, M.M.; Diao, X.-P.; Wang, H.; Khan, L.U.; Rehman, A.U.; Shakoor, A.; Altaf, M.A.; Farooq, T.H. Salicylic Acid Induces Vanadium Stress Tolerance in Rice by Regulating the AsA-GSH Cycle and Glyoxalase System. J. Soil Sci. Plant Nutr. 2022, 22, 1983–1999. [Google Scholar] [CrossRef]
- Alwutayd, K.M.; Alghanem, S.M.S.; Alwutayd, R.; Alghamdi, S.A.; Alabdallah, N.M.; Al-Qthanin, R.N.; Sarfraz, W.; Khalid, N.; Naeem, N.; Ali, B.; et al. Mitigating chromium toxicity in rice (Oryza sativa L.) via ABA and 6-BAP: Unveiling synergistic benefits on morphophysiological traits and ASA-GSH cycle. Sci. Total Environ. 2024, 908, 168208. [Google Scholar] [CrossRef]
- Fisher, D.B.; Wu, Y.; Ku, M.S. Turnover of soluble proteins in the wheat sieve tube. Plant Physiol. 1992, 100, 1433–1441. [Google Scholar] [CrossRef] [PubMed][Green Version]
- Zhang, R.; Hussain, S.; Yang, S.; Yang, Y.; Shi, L.; Chen, Y.; Wei, H.; Xu, K.; Dai, Q. Research on Salt Stress in Rice from 2000 to 2021: A Bibliometric Analysis. Sustainability 2023, 15, 4512. [Google Scholar] [CrossRef]
- Chang, J.; Cheong, B.E.; Natera, S.; Roessner, U. Morphological and metabolic responses to salt stress of rice (Oryza sativa L.) cultivars which differ in salinity tolerance. Plant Physiol. Biochem. 2019, 144, 427–435. [Google Scholar] [CrossRef]
- Gerona, M.E.B.; Deocampo, M.P.; Egdane, J.A.; Ismail, A.M.; Dionisio-Sese, M.L. Physiological Responses of Contrasting Rice Genotypes to Salt Stress at Reproductive Stage. Rice Sci. 2019, 26, 207–219. [Google Scholar] [CrossRef]
- Singh, R.; Flowers, T. 36 The Physiology and Molecular Biology of the Effects of Salinity on Rice. In Handbook of Plant and Crop Stress; CRC Press: Boca Raton, FL, USA, 2010; pp. 899–939. [Google Scholar]
- Frukh, A.; Siddiqi, T.O.; Khan, M.I.R.; Ahmad, A. Modulation in growth, biochemical attributes and proteome profile of rice cultivars under salt stress. Plant Physiol. Biochem. 2020, 146, 55–70. [Google Scholar] [CrossRef]
- Liu, J.; Shabala, S.; Shabala, L.; Zhou, M.; Meinke, H.; Venkataraman, G.; Chen, Z.; Zeng, F.; Zhao, Q. Tissue-specific regulation of Na+ and K+ transporters explains genotypic differences in salinity stress tolerance in rice. Front. Plant Sci. 2019, 10, 1361. [Google Scholar] [CrossRef]
- Fraga, T.I.; Carmona, F.d.C.; Anghinoni, I.; Genro Junior, S.A.; Marcolin, E. Flooded rice yield as affected by levels of water salinity in different stages of its cycle. Rev. Bras. Ciência Solo 2010, 34, 175–182. [Google Scholar] [CrossRef]
- Ijaz, B.; Sudiro, C.; Jabir, R.; Schiavo, F.L.; Hyder, M.Z.; Yasmin, T. Adaptive behaviour of roots under salt stress correlates with morpho-physiological changes and salinity tolerance in rice. Int. J. Agric. Biol 2019, 21, 667–674. [Google Scholar]
- Zhang, Y.; Fang, J.; Wu, X.; Dong, L. Na+/K+ balance and transport regulatory mechanisms in weedy and cultivated rice (Oryza sativa L.) under salt stress. BMC Plant Biol. 2018, 18, 1–14. [Google Scholar] [CrossRef] [PubMed]
- Sohag, A.A.M.; Tahjib-Ul-Arif, M.; Polash, M.A.S.; Belal Chowdhury, M.; Afrin, S.; Burritt, D.J.; Murata, Y.; Hossain, M.A.; Afzal Hossain, M. Exogenous glutathione-mediated drought stress tolerance in rice (Oryza sativa L.) is associated with lower oxidative damage and favorable ionic homeostasis. Iran. J. Sci. Technol. Trans. A Sci. 2020, 44, 955–971. [Google Scholar] [CrossRef]
- Mohanty, A.; Chakraborty, K.; Mondal, S.; Jena, P.; Panda, R.K.; Samal, K.C.; Chattopadhyay, K. Relative contribution of ion exclusion and tissue tolerance traits govern the differential response of rice towards salt stress at seedling and reproductive stages. Environ. Exp. Bot. 2023, 206, 105131. [Google Scholar] [CrossRef]
- Gadelha, C.G.; Coutinho, Í.A.C.; de Paiva Pinheiro, S.K.; de Castro Miguel, E.; de Carvalho, H.H.; de Sousa Lopes, L.; Gomes-Filho, E. Sodium uptake and transport regulation, and photosynthetic efficiency maintenance as the basis of differential salt tolerance in rice cultivars. Environ. Exp. Bot. 2021, 192, 104654. [Google Scholar] [CrossRef]
- Ashraf, M.; Harris, P.J. Photosynthesis under stressful environments: An overview. Photosynthetica 2013, 51, 163–190. [Google Scholar] [CrossRef]
- Zeng, L.; Shannon, M.C. Effects of salinity on grain yield and yield components of rice at different seeding densities. Agron. J. 2000, 92, 418–423. [Google Scholar] [CrossRef]
- Liu, C.; Mao, B.; Yuan, D.; Chu, C.; Duan, M. Salt tolerance in rice: Physiological responses and molecular mechanisms. Crop J. 2022, 10, 13–25. [Google Scholar] [CrossRef]
- Mu, D.-w.; Feng, N.-j.; Zheng, D.-f.; Zhou, H.; Liu, L.; Chen, G.-j.; Mu, B. Physiological mechanism of exogenous brassinolide alleviating salt stress injury in rice seedlings. Sci. Rep. 2022, 12, 20439. [Google Scholar] [CrossRef] [PubMed]
- Wang, L.; Zheng, J.; Zhou, G.; Li, J.; Qian, C.; Lin, G.; Li, Y.; Zuo, Q. Moderate nitrogen application improved salt tolerance by enhancing photosynthesis, antioxidants, and osmotic adjustment in rapeseed (Brassica napus L.). Front. Plant Sci. 2023, 14, 1196319. [Google Scholar] [CrossRef] [PubMed]
- Moradi, F.; Ismail, A.M. Responses of photosynthesis, chlorophyll fluorescence and ROS-scavenging systems to salt stress during seedling and reproductive stages in rice. Ann. Bot. 2007, 99, 1161–1173. [Google Scholar] [CrossRef] [PubMed]
- Wolucka, B.A.; Goossens, A.; Inzé, D. Methyl jasmonate stimulates the de novo biosynthesis of vitamin C in plant cell suspensions. J. Exp. Bot. 2005, 56, 2527–2538. [Google Scholar] [CrossRef] [PubMed]
- Quesada, V. Advances in the Molecular Mechanisms of Abscisic Acid and Gibberellins Functions in Plants. Int. J. Mol. Sci. 2021, 22, 6080. [Google Scholar] [CrossRef]
- Formentin, E.; Barizza, E.; Stevanato, P.; Falda, M.; Massa, F.; Tarkowskà, D.; Novák, O.; Lo Schiavo, F. Fast regulation of hormone metabolism contributes to salt tolerance in rice (Oryza sativa spp. Japonica, L.) by inducing specific morpho-physiological responses. Plants 2018, 7, 75. [Google Scholar]







| Treatments | Plant Height (cm) | Stem Diameter (mm) | Leaf Area (mm2) | Dry Matter Weight (g) | |
|---|---|---|---|---|---|
| CYQH | CK0 | 74.4 ± 0.66 a | 32.23 ± 0.52 b | 3829.23 ± 41.81 bc | 6.87 ± 0.39 a |
| N1 | 67.57 ± 2.39 b | 26.97 ± 0.92 c | 3511.37 ± 145.12 c | 5.69 ± 0.30 b | |
| N2 | 61.17 ± 0.67 c | 25.37 ± 1.89 c | 2391.27 ± 200.61 e | 4.05 ± 0.37 c | |
| SN0 | 76.77 ± 0.82 a | 36.70 ± 1.89 a | 4357.67 ± 91.67 a | 6.42 ± 0.12 ab | |
| SN1 | 74.00 ± 1.74 a | 31.93 ± 0.33 b | 4183.77 ± 121.39 ab | 6.73 ± 0.41 a | |
| SN2 | 69.20 ± 1.25 a | 31.47 ± 1.87 b | 3053.37 ± 102.66 d | 5.44 ± 0.16 b | |
| YXYZ | CK0 | 75.93 ± 0.27 c | 21.40 ± 0.96 bc | 4645.97 ± 446.60 a | 5.00 ± 0.63 bc |
| N1 | 70.20 ± 0.51 d | 18.80 ± 2.02 cd | 2816.33 ± 187.93 cd | 3.43 ± 0.48 cd | |
| N2 | 63.40 ± 0.16 e | 13.00 ± 0.72 e | 2250.90 ± 337.64 d | 1.93 ± 0.11 d | |
| SN0 | 83.90 ± 0.21 a | 27.80 ± 0.53 a | 4258.63 ± 81.37 ab | 8.25 ± 0.42 a | |
| SN1 | 80.23 ± 0.69 b | 24.40 ± 0.17 b | 3824.70 ± 239.30 ab | 6.15 ± 0.25 b | |
| SN2 | 70.87 ± 0.80 d | 17.73 ± 0.07 d | 3452.23 ± 161.19 bc | 4.07 ± 0.92 c | |
| Treatments | Pn (μmol·m−2·s−1) | Gs (mmol·m−2·s−1) | Tr (μmol·m−2·s−1) | Ci (μmol·mol−1) | SPAD | |
|---|---|---|---|---|---|---|
| CYQH | CK0 | 22.12 ± 1.26 ab | 0.70 ± 0.05 a | 10.29 ± 0.49 a | 331.48 ± 2.74 a | 42.07 ± 0.19 bc |
| N1 | 16.41 ± 0.89 d | 0.34 ± 0.04 bc | 6.53 ± 0.38 c | 322.34 ± 0.58 a | 39.20 ± 0.25 d | |
| N2 | 13.92 ± 0.67 d | 0.21 ± 0.03 c | 3.21 ± 0.34 d | 281.43 ± 5.34 d | 36.83 ± 0.18 e | |
| SN0 | 23.90 ± 0.92 a | 0.64 ± 0.06 a | 10.31 ± 0.20 a | 327.27 ± 1.70 a | 41.67 ± 0.86 c | |
| SN1 | 20.37 ± 0.49 bc | 0.60 ± 0.10 a | 8.37 ± 0.83 b | 313.55 ± 2.42 b | 44.27 ± 1.58 ab | |
| SN2 | 19.21 ± 0.53 c | 0.40 ± 0.05 b | 6.60 ± 0.50 c | 298.45 ± 1.90 c | 45.17 ± 0.18 a | |
| YXYZ | CK0 | 21.13 ± 0.60 ab | 0.81 ± 0.96 a | 10.98 ± 0.18 a | 339.51 ± 0.06 a | 50.30 ± 0.13 a |
| N1 | 17.11 ± 1.90 c | 0.40 ± 0.02 c | 7.56 ± 0.44 c | 315.94 ± 3.36 bc | 44.93 ± 0.50 bc | |
| N2 | 14.28 ± 0.48 d | 0.30 ± 0.02 d | 6.02 ± 0.22 d | 290.69 ± 6.16 d | 42.90 ± 0.67 c | |
| SN0 | 22.03 ± 0.34 a | 0.67 ± 0.05 b | 9.76 ± 0.38 b | 324.26 ± 2.86 b | 49.27 ± 0.23 a | |
| SN1 | 20.98 ± 0.70 ab | 0.62 ± 0.05 b | 9.66 ± 0.42 b | 336.94 ± 0.25 a | 49.83 ± 3.07 a | |
| SN2 | 18.91 ± 0.22 bc | 0.43 ± 0.04 c | 7.80 ± 0.48 c | 310.65 ± 1.80 c | 48.20 ± 0.75 ab | |
Disclaimer/Publisher’s Note: The statements, opinions and data contained in all publications are solely those of the individual author(s) and contributor(s) and not of MDPI and/or the editor(s). MDPI and/or the editor(s) disclaim responsibility for any injury to people or property resulting from any ideas, methods, instructions or products referred to in the content. |
© 2024 by the authors. Licensee MDPI, Basel, Switzerland. This article is an open access article distributed under the terms and conditions of the Creative Commons Attribution (CC BY) license (https://creativecommons.org/licenses/by/4.0/).
Share and Cite
Jiang, W.; Wang, X.; Wang, Y.; Du, Y.; Zhang, S.; Zhou, H.; Feng, N.; Zheng, D.; Ma, G.; Zhao, L. S-ABA Enhances Rice Salt Tolerance by Regulating Na+/K+ Balance and Hormone Homeostasis. Metabolites 2024, 14, 181. https://doi.org/10.3390/metabo14040181
Jiang W, Wang X, Wang Y, Du Y, Zhang S, Zhou H, Feng N, Zheng D, Ma G, Zhao L. S-ABA Enhances Rice Salt Tolerance by Regulating Na+/K+ Balance and Hormone Homeostasis. Metabolites. 2024; 14(4):181. https://doi.org/10.3390/metabo14040181
Chicago/Turabian StyleJiang, Wenxin, Xi Wang, Yaxin Wang, Youwei Du, Shuyu Zhang, Hang Zhou, Naijie Feng, Dianfeng Zheng, Guohui Ma, and Liming Zhao. 2024. "S-ABA Enhances Rice Salt Tolerance by Regulating Na+/K+ Balance and Hormone Homeostasis" Metabolites 14, no. 4: 181. https://doi.org/10.3390/metabo14040181
APA StyleJiang, W., Wang, X., Wang, Y., Du, Y., Zhang, S., Zhou, H., Feng, N., Zheng, D., Ma, G., & Zhao, L. (2024). S-ABA Enhances Rice Salt Tolerance by Regulating Na+/K+ Balance and Hormone Homeostasis. Metabolites, 14(4), 181. https://doi.org/10.3390/metabo14040181
