Exogenous Putrescine Modulates Nitrate Reductase-Dependent NO Production in Cucumber Seedlings Subjected to Salt Stress
Abstract
:1. Introduction
2. Materials and Methods
2.1. Plant Material and Treatment
2.2. Fluorescent Detection of Endogenous NO
2.3. Colorimetric Measurement of NO Level
2.4. Cytosolic Nitrate Reductase Activity
2.5. Plasma Membrane Isolation and Determination of Plasma Membrane Nitrate Reductase Activity
2.6. Expression of CsNR Genes
2.7. NOS-like Activity
2.8. Endogenous PA Content
2.9. Statistics
3. Results
3.1. Effect of Put and/or NaCl on NO Production in Cucumber Roots
3.2. Effect of DFMA and DFMO on NO Production in Cucumber Roots Treated with NaCl
3.3. Effect of Sodium Tungstate and L-NAME on NO Production in Cucumber Roots Treated with NaCl
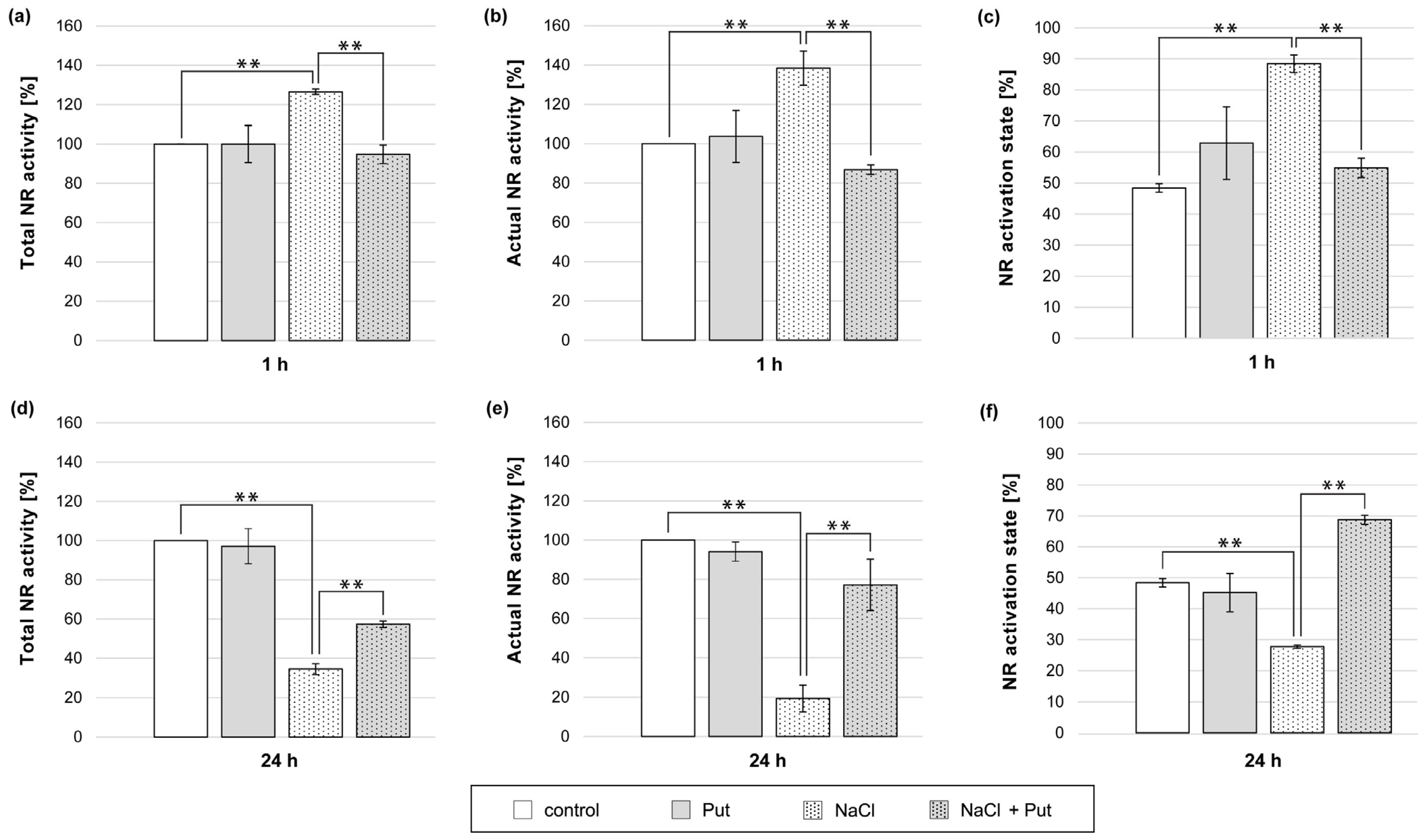
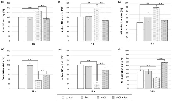
3.4. Effect of Put and/or NaCl on Nitrate Reductase Activity in Cucumber Roots
3.5. Effect of Put and/or NaCl on Plasma-Membrane Nitrate Reductase Activity in Cucumber Roots
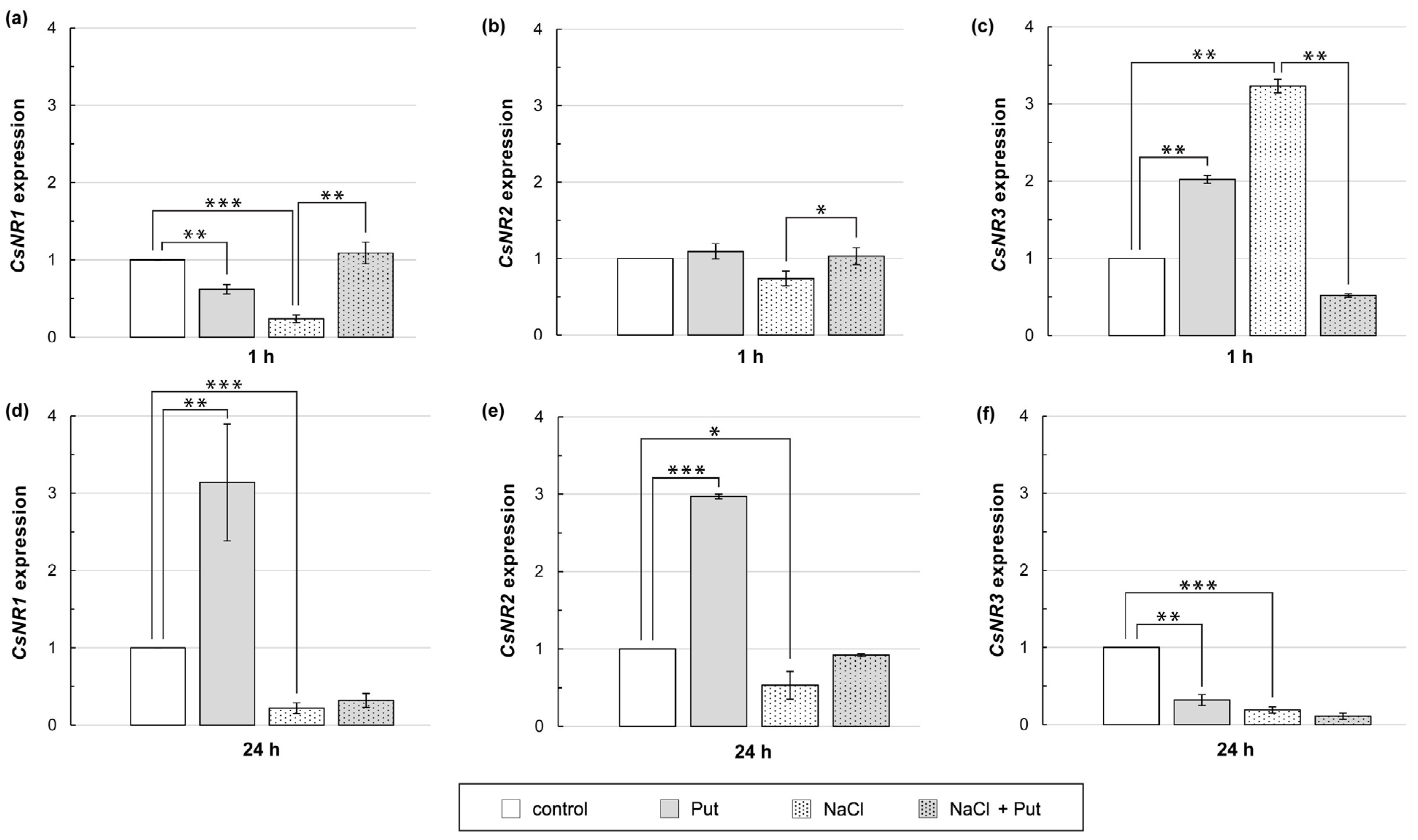
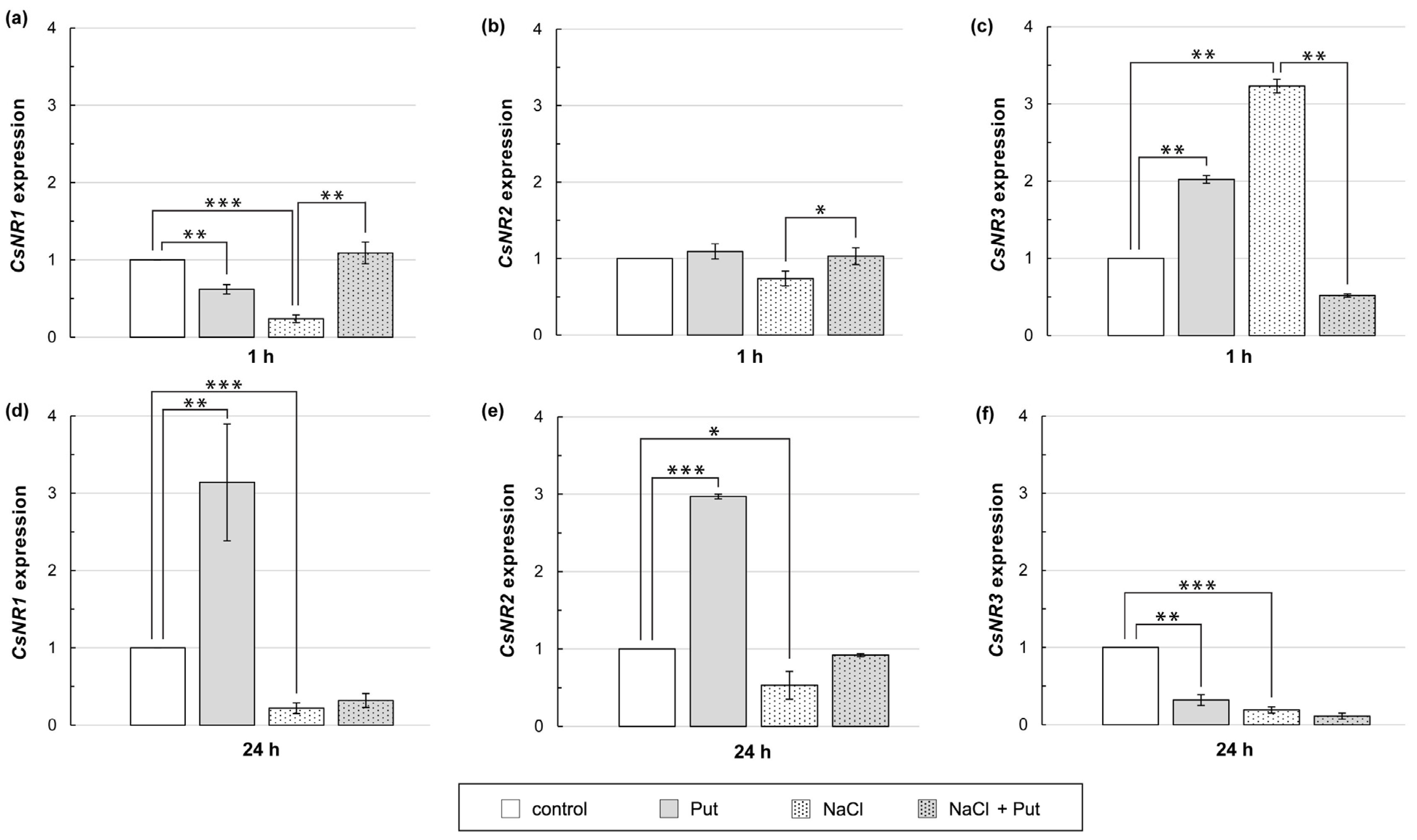
3.6. Effect of Put and/or NaCl on CsNR Expression in Cucumber Roots
3.7. Effect of Put and/or NaCl on NOS-Like Activity in Cucumber Roots
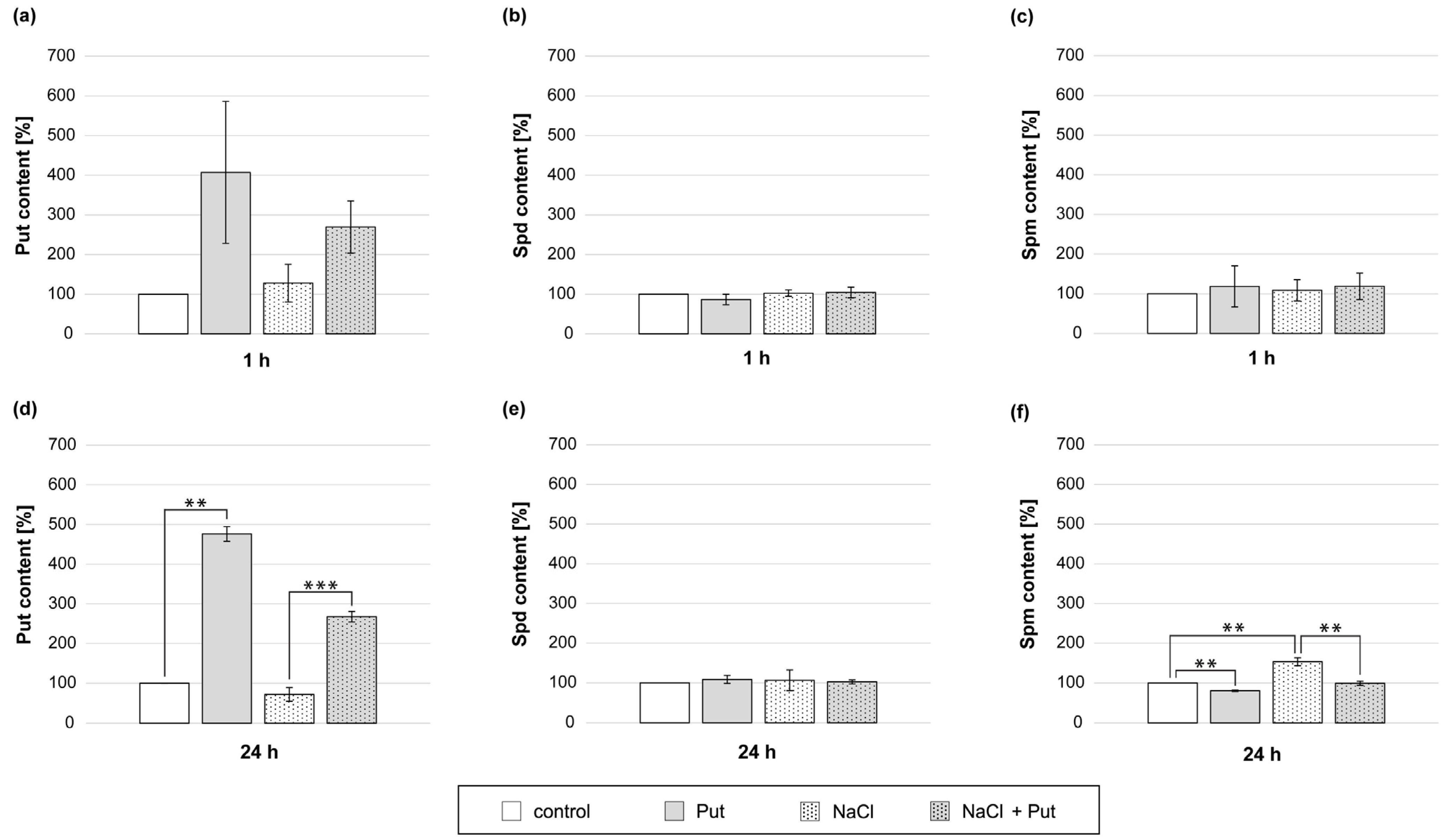
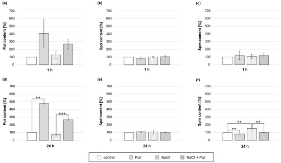
3.8. Effect of Put and/or NaCl on Endogenous PAs Level in Cucumber Roots
4. Discussion
5. Conclusions
Supplementary Materials
Author Contributions
Funding
Institutional Review Board Statement
Informed Consent Statement
Data Availability Statement
Conflicts of Interest
References
- Fancy, N.N.; Bahlmann, A.; Loake, G.J. Nitric Oxide Function in Plant Abiotic Stress. Plant Cell Environ. 2017, 40, 462–472. [Google Scholar] [CrossRef] [PubMed]
- Butcher, K.; Wick, A.F.; DeSutter, T.; Chatterjee, A.; Harmon, J. Soil Salinity: A Threat to Global Food Security. Agron. J. 2016, 108, 2189–2200. [Google Scholar] [CrossRef]
- Hasanuzzaman, M.; Oku, H.; Nahar, K.; Bhuyan, M.H.M.B.; Mahmud, J.A.; Baluska, F.; Fujita, M. Nitric Oxide-Induced Salt Stress Tolerance in Plants: ROS Metabolism, Signaling, and Molecular Interactions. Plant Biotechnol. Rep. 2018, 12, 77–92. [Google Scholar] [CrossRef]
- Nahar, K.; Hasanuzzaman, M.; Rahman, A.; Alam, M.M.; Mahmud, J.-A.; Suzuki, T.; Fujita, M. Polyamines Confer Salt Tolerance in Mung Bean (Vigna radiata L.) by Reducing Sodium Uptake, Improving Nutrient Homeostasis, Antioxidant Defense, and Methylglyoxal Detoxification Systems. Front. Plant Sci. 2016, 7, 1104. [Google Scholar] [CrossRef] [PubMed]
- Rasool, S.; Hameed, A.; Azooz, M.M.; Muneeb-u-Rehman; Siddiqi, T.O.; Ahmad, P. Salt Stress: Causes, Types and Responses of Plants. In Ecophysiology and Responses of Plants under Salt Stress; Ahmad, P., Azooz, M.M., Prasad, M.N.V., Eds.; Springer: New York, NY, USA, 2013; pp. 1–24. ISBN 978-1-4614-4746-7. [Google Scholar]
- Yu, M.; Lamattina, L.; Spoel, S.H.; Loake, G.J. Nitric Oxide Function in Plant Biology: A Redox Cue in Deconvolution. New Phytol. 2014, 202, 1142–1156. [Google Scholar] [CrossRef] [PubMed]
- Nabi, R.B.S.; Tayade, R.; Hussain, A.; Kulkarni, K.P.; Imran, Q.M.; Mun, B.-G.; Yun, B.-W. Nitric Oxide Regulates Plant Responses to Drought, Salinity, and Heavy Metal Stress. Environ. Exp. Bot. 2019, 161, 120–133. [Google Scholar] [CrossRef]
- Mata-Pérez, C.; Sánchez-Vicente, I.; Arteaga, N.; Gómez-Jiménez, S.; Fuentes-Terrón, A.; Oulebsir, C.S.; Calvo-Polanco, M.; Oliver, C.; Lorenzo, Ó. Functions of Nitric Oxide-Mediated Post-Translational Modifications under Abiotic Stress. Front. Plant Sci. 2023, 14, 1158184. [Google Scholar] [CrossRef] [PubMed]
- Dong, Y.J.; Jinc, S.S.; Liu, S.; Xu, L.L.; Kong, J. Effects of Exogenous Nitric Oxide on Growth of Cotton Seedlings under NaCl Stress. J. Soil Sci. Plant Nutr. 2014, 14, 1–13. [Google Scholar] [CrossRef]
- Adamu, T.; Mun, B.-G.; Lee, S.-U.; Hussain, A.; Yun, B.-W. Exogenously Applied Nitric Oxide Enhances Salt Tolerance in Rice (Oryza sativa L.) at Seedling Stage. Agronomy 2018, 8, 276. [Google Scholar] [CrossRef]
- Sardar, H.; Khalid, Z.; Ahsan, M.; Naz, S.; Nawaz, A.; Ahmad, R.; Razzaq, K.; Wabaidur, S.M.; Jacquard, C.; Širić, I.; et al. Enhancement of Salinity Stress Tolerance in Lettuce (Lactuca sativa L.) via Foliar Application of Nitric Oxide. Plants 2023, 12, 1115. [Google Scholar] [CrossRef]
- Seabra, A.B.; Silveira, N.M.; Ribeiro, R.V.; Pieretti, J.C.; Barroso, J.B.; Corpas, F.J.; Palma, J.M.; Hancock, J.T.; Petřivalský, M.; Gupta, K.J.; et al. Nitric Oxide-releasing Nanomaterials: From Basic Research to Potential Biotechnological Applications in Agriculture. New Phytol. 2022, 234, 1119–1125. [Google Scholar] [CrossRef] [PubMed]
- Allagulova, C.R.; Lubyanova, A.R.; Avalbaev, A.M. Multiple Ways of Nitric Oxide Production in Plants and Its Functional Activity under Abiotic Stress Conditions. Int. J. Mol. Sci. 2023, 24, 11637. [Google Scholar] [CrossRef] [PubMed]
- Corpas, F.J.; Palma, J.M.; Del Río, L.A.; Barroso, J.B. Evidence Supporting the Existence of ʟ-arginine-dependent Nitric Oxide Synthase Activity in Plants. New Phytol. 2009, 184, 9–14. [Google Scholar] [CrossRef] [PubMed]
- Tun, N.N.; Santa-Catarina, C.; Begum, T.; Silveira, V.; Handro, W.; Floh, E.I.S.; Scherer, G.F.E. Polyamines Induce Rapid Biosynthesis of Nitric Oxide (NO) in Arabidopsis thaliana Seedlings. Plant Cell Physiol. 2006, 47, 346–354. [Google Scholar] [CrossRef] [PubMed]
- Rümer, S.; Kapuganti, J.G.; Kaiser, W.M. Oxidation of Hydroxylamines to NO by Plant Cells. Plant Signal. Behav. 2009, 4, 853–855. [Google Scholar] [CrossRef] [PubMed]
- Desikan, R.; Griffiths, R.; Hancock, J.; Neill, S. A New Role for an Old Enzyme: Nitrate Reductase-Mediated Nitric Oxide Generation Is Required for Abscisic Acid-Induced Stomatal Closure in Arabidopsis thaliana. Proc. Natl. Acad. Sci. USA 2002, 99, 16314–16318. [Google Scholar] [CrossRef] [PubMed]
- Stöhr, C.; Stremlau, S. Formation and Possible Roles of Nitric Oxide in Plant Roots. J. Exp. Bot. 2006, 57, 463–470. [Google Scholar] [CrossRef]
- Gupta, K.J.; Kumari, A.; Florez-Sarasa, I.; Fernie, A.R.; Igamberdiev, A.U. Interaction of Nitric Oxide with the Components of the Plant Mitochondrial Electron Transport Chain. J. Exp. Bot. 2018, 69, 3413–3424. [Google Scholar] [CrossRef]
- Kaufholdt, D.; Baillie, C.-K.; Meinen, R.; Mendel, R.R.; Hänsch, R. The Molybdenum Cofactor Biosynthesis Network: In Vivo Protein-Protein Interactions of an Actin Associated Multi-Protein Complex. Front. Plant Sci. 2017, 8, 1946. [Google Scholar] [CrossRef]
- Kaiser, W.M.; Huber, S.C. Post-translational Regulation of Nitrate Reductase: Mechanism, Physiological Relevance and Environmental Triggers. J. Exp. Bot. 2001, 52, 1981–1989. [Google Scholar] [CrossRef]
- Kaiser, W.M.; Weiner, H.; Kandlbinder, A.; Tsai, C.; Rockel, P.; Sonoda, M.; Planchet, E. Modulation of Nitrate Reductase: Some New Insights, an Unusual Case and a Potentially Important Side Reaction. J. Exp. Bot. 2002, 53, 875–882. [Google Scholar] [CrossRef] [PubMed]
- Bright, J.; Desikan, R.; Hancock, J.T.; Weir, I.S.; Neill, S.J. ABA-Induced NO Generation and Stomatal Closure in Arabidopsis Are Dependent on H2O2 Synthesis: ABA, NO and H2O2 Interactions in Guard Cells. Plant J. 2006, 45, 113–122. [Google Scholar] [CrossRef] [PubMed]
- Horchani, F.; Prévot, M.; Boscari, A.; Evangelisti, E.; Meilhoc, E.; Bruand, C.; Raymond, P.; Boncompagni, E.; Aschi-Smiti, S.; Puppo, A.; et al. Both Plant and Bacterial Nitrate Reductases Contribute to Nitric Oxide Production in Medicago truncatula Nitrogen-Fixing Nodules. Plant Physiol. 2011, 155, 1023–1036. [Google Scholar] [CrossRef] [PubMed]
- Vazquez, M.M.; Casalongué, C.A.; París, R. Nitrate Reductase Mediates Nitric Oxide-Dependent Gravitropic Response in Arabidopsis thaliana Roots. Plant Signal. Behav. 2019, 14, e1578631. [Google Scholar] [CrossRef] [PubMed]
- Yamamoto-Katou, A.; Katou, S.; Yoshioka, H.; Doke, N.; Kawakita, K. Nitrate Reductase Is Responsible for Elicitin-Induced Nitric Oxide Production in Nicotiana Benthamiana. Plant Cell Physiol. 2006, 47, 726–735. [Google Scholar] [CrossRef]
- Zhao, M.-G.; Chen, L.; Zhang, L.-L.; Zhang, W.-H. Nitric Reductase-Dependent Nitric Oxide Production Is Involved in Cold Acclimation and Freezing Tolerance in Arabidopsis. Plant Physiol. 2009, 151, 755–767. [Google Scholar] [CrossRef] [PubMed]
- Sun, C.; Lu, L.; Liu, L.; Liu, W.; Yu, Y.; Liu, X.; Hu, Y.; Jin, C.; Lin, X. Nitrate Reductase-mediated Early Nitric Oxide Burst Alleviates Oxidative Damage Induced by Aluminum through Enhancement of Antioxidant Defenses in Roots of Wheat (Triticum aestivum). New Phytol. 2014, 201, 1240–1250. [Google Scholar] [CrossRef]
- Reda, M.; Golicka, A.; Kabała, K.; Janicka, M. Involvement of NR and PM-NR in NO Biosynthesis in Cucumber Plants Subjected to Salt Stress. Plant Sci. 2018, 267, 55–64. [Google Scholar] [CrossRef]
- Eick, M.; Stöhr, C. Denitrification by Plant Roots? New Aspects of Plant Plasma Membrane-Bound Nitrate Reductase. Protoplasma 2012, 249, 909–918. [Google Scholar]
- Moche, M.; Stremlau, S.; Hecht, L.; Göbel, C.; Feussner, I.; Stöhr, C. Effect of Nitrate Supply and Mycorrhizal Inoculation on Characteristics of Tobacco Root Plasma Membrane Vesicles. Planta 2010, 231, 425–436. [Google Scholar] [CrossRef]
- Hancock, J.; Neill, S. Nitric Oxide: Its Generation and Interactions with Other Reactive Signaling Compounds. Plants 2019, 8, 41. [Google Scholar] [CrossRef] [PubMed]
- Tun, N.N.; Holk, A.; Scherer, G.F.E. Rapid Increase of NO Release in Plant Cell Cultures Induced by Cytokinin. FEBS Lett. 2001, 509, 174–176. [Google Scholar] [CrossRef] [PubMed]
- Foresi, N.; Correa-Aragunde, N.; Parisi, G.; Caló, G.; Salerno, G.; Lamattina, L. Characterization of a Nitric Oxide Synthase from the Plant Kingdom: NO Generation from the Green Alga Ostreococcus tauri Is Light Irradiance and Growth Phase Dependent. Plant Cell 2010, 22, 3816–3830. [Google Scholar] [CrossRef] [PubMed]
- Diao, Q.; Song, Y.; Shi, D.; Qi, H. Interaction of Polyamines, Abscisic Acid, Nitric Oxide, and Hydrogen Peroxide under Chilling Stress in Tomato (Lycopersicon esculentum Mill.) Seedlings. Front. Plant Sci. 2017, 8, 203. [Google Scholar] [CrossRef] [PubMed]
- Tanou, G.; Ziogas, V.; Belghazi, M.; Christou, A.; Filippou, P.; Job, D.; Fotopoulos, V.; Molassiotis, A. Polyamines Reprogram Oxidative and Nitrosative Status and the Proteome of Citrus Plants Exposed to Salinity Stress: Polyamines and Oxidative/Nitrosative Signalling. Plant Cell Environ. 2014, 37, 864–885. [Google Scholar] [CrossRef] [PubMed]
- Dong, L.; Li, L.; Meng, Y.; Liu, H.; Li, J.; Yu, Y.; Qian, C.; Wei, S.; Gu, W. Exogenous Spermidine Optimizes Nitrogen Metabolism and Improves Maize Yield under Drought Stress Conditions. Agriculture 2022, 12, 1270. [Google Scholar] [CrossRef]
- Yu, Y.; Jin, C.; Sun, C.; Wang, J.; Ye, Y.; Zhou, W.; Lu, L.; Lin, X. Inhibition of Ethylene Production by Putrescine Alleviates Aluminium-Induced Root Inhibition in Wheat Plants. Sci. Rep. 2016, 6, 18888. [Google Scholar] [CrossRef]
- Wang, Y.; Gong, X.; Liu, W.; Kong, L.; Si, X.; Guo, S.; Sun, J. Gibberellin Mediates Spermidine-Induced Salt Tolerance and the Expression of GT-3b in Cucumber. Plant Physiol. Biochem. 2020, 152, 147–156. [Google Scholar] [CrossRef]
- Childs, A.C.; Mehta, D.J.; Gerner, E.W. Polyamine-Dependent Gene Expression. Cell Mol. Life Sci. CMLS 2003, 60, 1394–1406. [Google Scholar] [CrossRef]
- Sayed, A.I.; El-Hamahmy, M.A.M.; Rafudeen, M.S.; Ebrahim, M.K.H. Exogenous Spermidine Enhances Expression of Calvin Cycle Genes And Photosynthetic Efficiency in Sweet Sorghum Seedlings under Salt Stress. Biol. Plant. 2019, 63, 511–518. [Google Scholar]
- Wang, P.; Xu, Z.; Zhang, Y.; Ma, Y.; Yang, J.; Zhou, F.; Gao, Y.; Li, G.; Hu, X. Over-Expression of Spermidine Synthase 2 (SlSPDS2) in Tomato Plants Improves Saline-Alkali Stress Tolerance by Increasing Endogenous Polyamines Content to Regulate Antioxidant Enzyme System and Ionic Homeostasis. Plant Physiol. Biochem. 2022, 192, 172–185. [Google Scholar] [CrossRef]
- Pottosin, I.; Olivas-Aguirre, M.; Dobrovinskaya, O.; Zepeda-Jazo, I.; Shabala, S. Modulation of Ion Transport Across Plant Membranes by Polyamines: Understanding Specific Modes of Action Under Stress. Front. Plant Sci. 2021, 11, 616077. [Google Scholar] [CrossRef] [PubMed]
- Groppa, M.D.; Rosales, E.P.; Iannone, M.F.; Benavides, M.P. Nitric Oxide, Polyamines and Cd-Induced Phytotoxicity in Wheat Roots. Phytochemistry 2008, 69, 2609–2615. [Google Scholar] [CrossRef]
- Arasimowicz-Jelonek, M.; Floryszak-Wieczorek, J.; Kubiś, J. Interaction Between Polyamine and Nitric Oxide Signaling in Adaptive Responses to Drought in Cucumber. J. Plant Growth Regul. 2009, 28, 177–186. [Google Scholar] [CrossRef]
- Wimalasekera, R.; Villar, C.; Begum, T.; Scherer, G.F.E. COPPER AMINE OXIDASE1 (CuAO1) of Arabidopsis thaliana Contributes to Abscisic Acid-and Polyamine-Induced Nitric Oxide Biosynthesis and Abscisic Acid Signal Transduction. Mol. Plant 2011, 4, 663–678. [Google Scholar] [CrossRef] [PubMed]
- Huang, S.; Li, R.; Zhang, Z.; Li, L.; Gu, X.; Fan, W.; Lucas, W.J.; Wang, X.; Xie, B.; Ni, P.; et al. The Genome of the Cucumber, Cucumis sativus L. Nat. Genet. 2009, 41, 1275–1281. [Google Scholar] [CrossRef] [PubMed]
- Wóycicki, R.; Witkowicz, J.; Gawroński, P.; Dąbrowska, J.; Lomsadze, A.; Pawełkowicz, M.; Siedlecka, E.; Yagi, K.; Pląder, W.; Seroczyńska, A.; et al. The Genome Sequence of the North-European Cucumber (Cucumis sativus L.) Unravels Evolutionary Adaptation Mechanisms in Plants. PLoS ONE 2011, 6, e22728. [Google Scholar] [CrossRef]
- Lv, J.; Qi, J.; Shi, Q.; Shen, D.; Zhang, S.; Shao, G.; Li, H.; Sun, Z.; Weng, Y.; Shang, Y.; et al. Genetic Diversity and Population Structure of Cucumber (Cucumis sativus L.). PLoS ONE 2012, 7, e46919. [Google Scholar] [CrossRef]
- Stępień, P.; Kłobus, G. Water Relations and Photosynthesis in Cucumis sativus L. Leaves under Salt Stress. Biol. Plant. 2006, 50, 610–616. [Google Scholar] [CrossRef]
- Peterson, C.E.; Staub, J.E.; Williams, P.H.; Palmer, M.J. Wisconsin 1983 Cucumber. HortScience 1986, 21, 1082–1083. [Google Scholar] [CrossRef]
- Reda, M.; Migocka, M.; Kłobus, G. Effect of Short-Term Salinity on the Nitrate Reductase Activity in Cucumber Roots. Plant Sci. 2011, 180, 783–788. [Google Scholar] [CrossRef] [PubMed]
- Janicka, M.; Reda, M.; Czyżewska, K.; Kabała, K. Involvement of Signalling Molecules NO, H2O2 and H2S in Modification of Plasma Membrane Proton Pump in Cucumber Roots Subjected to Salt or Low Temperature Stress. Funct. Plant Biol. 2018, 45, 428. [Google Scholar] [CrossRef] [PubMed]
- Tassoni, A.; Awad, N.; Griffiths, G. Effect of Ornithine Decarboxylase and Norspermidine in Modulating Cell Division in the Green Alga Chlamydomonas reinhardtii. Plant Physiol. Biochem. 2018, 123, 125–131. [Google Scholar] [CrossRef] [PubMed]
- Xiong, J.; Fu, G.; Yang, Y.; Zhu, C.; Tao, L. Tungstate: Is It Really a Specific Nitrate Reductase Inhibitor in Plant Nitric Oxide Research? J. Exp. Bot. 2012, 63, 33–41. [Google Scholar] [CrossRef] [PubMed]
- Barrs, H.; Weatherley, P. A Re-Examination of the Relative Turgidity Technique for Estimating Water Deficits in Leaves. Aust. J. Biol. Sci. 1962, 15, 413. [Google Scholar] [CrossRef]
- González, L.; González-Vilar, M. Determination of Relative Water Content. In Handbook of Plant Ecophysiology Techniques; Reigosa Roger, M.J., Ed.; Kluwer Academic Publishers: Dordrecht, The Netherlands, 2003; pp. 207–212. ISBN 978-0-7923-7053-6. [Google Scholar]
- Mur, L.A.J.; Mandon, J.; Cristescu, S.M.; Harren, F.J.M.; Prats, E. Methods of Nitric Oxide Detection in Plants: A Commentary. Plant Sci. 2011, 181, 509–519. [Google Scholar] [CrossRef] [PubMed]
- Filippou, P.; Antoniou, C.; Fotopoulos, V. The Nitric Oxide Donor Sodium Nitroprusside Regulates Polyamine and Proline Metabolism in Leaves of Medicago truncatula Plants. Free Radic. Biol. Med. 2013, 56, 172–183. [Google Scholar] [CrossRef]
- Kaiser, W.M.; Huber, S.C. Correlation between Apparent Activation State of Nitrate Reductase (NR), NR Hysteresis and Degradation of NR Protein. J. Exp. Bot. 1997, 48, 1367–1374. [Google Scholar] [CrossRef]
- Hageman, R.H.; Reed, A.J. [24] Nitrate Reductase from Higher Plants. In Methods in Enzymology; Elsevier: Amsterdam, The Netherlands, 1980; Volume 69, pp. 270–280. ISBN 978-0-12-181969-9. [Google Scholar]
- Larsson, C. Plasma Membranes. In Cell Components; Linskens, H.-F., Jackson, J.F., Eds.; Modern Methods of Plant Analysis; Springer: Berlin/Heidelberg, Germany, 1985; Volume 1, pp. 85–104. ISBN 978-3-642-82589-7. [Google Scholar]
- Kłobus, G. The Role of Plasma Membrane-Bound Activities in Nitrate Transport into Sealed Plasma Membrane Vesicles from Cucumis sativus L. Roots. In Structure and Function of Roots; Baluška, F., Čiamporová, M., Gašparíková, O., Barlow, P.W., Eds.; Springer: Dordrecht, The Netherlands, 1995; pp. 133–140. ISBN 978-90-481-4402-0. [Google Scholar]
- Spalding, M.H.; Edwards, G.E. Photosynthesis in Enzymatically Isolated Leaf Cells from the CAM Plant Sedum telephium L. Planta 1978, 141, 59–63. [Google Scholar] [CrossRef]
- Chung, H.-J.; Ferl, R.J. Arabidopsis Alcohol Dehydrogenase Expression in Both Shoots and Roots Is Conditioned by Root Growth Environment. Plant Physiol. 1999, 121, 429–436. [Google Scholar] [CrossRef]
- Bradford, M.M. A Rapid and Sensitive Method for the Quantitation of Microgram Quantities of Protein Utilizing the Principle of Protein-Dye Binding. Anal. Biochem. 1976, 72, 248–254. [Google Scholar] [CrossRef] [PubMed]
- Migocka, M.; Papierniak, A. Identification of Suitable Reference Genes for Studying Gene Expression in Cucumber Plants Subjected to Abiotic Stress and Growth Regulators. Mol. Breed. 2011, 28, 343–357. [Google Scholar] [CrossRef]
- Imai, A.; Matsuyama, T.; Hanzawa, Y.; Akiyama, T.; Tamaoki, M.; Saji, H.; Shirano, Y.; Kato, T.; Hayashi, H.; Shibata, D.; et al. Spermidine Synthase Genes Are Essential for Survival of Arabidopsis. Plant Physiol. 2004, 135, 1565–1573. [Google Scholar] [CrossRef] [PubMed]
- Yang, Y.; Guo, Y. Unraveling Salt Stress Signaling in Plants: Salt Stress Signaling. J. Integr. Plant Biol. 2018, 60, 796–804. [Google Scholar] [CrossRef] [PubMed]
- Yang, B.; Wu, J.; Gao, F.; Wang, J.; Su, G. Polyamine-Induced Nitric Oxide Generation and Its Potential Requirement for Peroxide in Suspension Cells of Soybean Cotyledon Node Callus. Plant Physiol. Biochem. 2014, 79, 41–47. [Google Scholar] [CrossRef]
- Gong, B.; Li, X.; Bloszies, S.; Wen, D.; Sun, S.; Wei, M.; Li, Y.; Yang, F.; Shi, Q.; Wang, X. Sodic Alkaline Stress Mitigation by Interaction of Nitric Oxide and Polyamines Involves Antioxidants and Physiological Strategies in Solanum lycopersicum. Free Radic. Biol. Med. 2014, 71, 36–48. [Google Scholar] [CrossRef] [PubMed]
- Prasad, G.L.; Adiga, P.R. Decarboxylation of Arginine and Ornithine by Arginine Decarboxylase Purified from Cucumber (Cucumis sativus) Seedlings. J. Biosci. 1986, 10, 203–213. [Google Scholar] [CrossRef]
- Shan, X.; Zhou, H.; Sang, T.; Shu, S.; Sun, J.; Guo, S. Effects of Exogenous Spermidine on Carbon and Nitrogen Metabolism in Tomato Seedlings under High Temperature. J. Am. Soc. Hortic. Sci. 2016, 141, 381–388. [Google Scholar] [CrossRef]
- Banerjee, A.; Singh, A.; Roychoudhury, A. Spermidine Application Reduces Fluoride Uptake and Ameliorates Physiological Injuries in a Susceptible Rice Cultivar by Activating Diverse Regulators of the Defense Machinery. Environ. Sci. Pollut. Res. 2019, 26, 36598–36614. [Google Scholar] [CrossRef]
- Tan, M.; Hassan, M.J.; Peng, Y.; Feng, G.; Huang, L.; Liu, L.; Liu, W.; Han, L.; Li, Z. Polyamines Metabolism Interacts with γ-Aminobutyric Acid, Proline and Nitrogen Metabolisms to Affect Drought Tolerance of Creeping Bentgrass. Int. J. Mol. Sci. 2022, 23, 2779. [Google Scholar] [CrossRef]
- Park, H.J.; Kim, W.-Y.; Yun, D.-J. A New Insight of Salt Stress Signaling in Plant. Mol. Cells 2016, 39, 447–459. [Google Scholar] [CrossRef] [PubMed]
- Fu, Y.-F.; Zhang, Z.-W.; Yuan, S. Putative Connections Between Nitrate Reductase S-Nitrosylation and NO Synthesis Under Pathogen Attacks and Abiotic Stresses. Front. Plant Sci. 2018, 9, 474. [Google Scholar] [CrossRef] [PubMed]
- Costa-Broseta, Á.; Castillo, M.; León, J. Post-Translational Modifications of Nitrate Reductases Autoregulates Nitric Oxide Biosynthesis in Arabidopsis. Int. J. Mol. Sci. 2021, 22, 549. [Google Scholar] [CrossRef] [PubMed]
- Lillo, C.; Meyer, C.; Lea, U.S.; Provan, F.; Oltedal, S. Mechanism and Importance of Post-Translational Regulation of Nitrate Reductase. J. Exp. Bot. 2004, 55, 1275–1282. [Google Scholar] [CrossRef] [PubMed]
- Fuertes-Mendizábal, T.; Bastías, E.I.; González-Murua, C.; González-Moro, M.B. Nitrogen Assimilation in the Highly Salt- and Boron-Tolerant Ecotype Zea mays L. Amylacea. Plants 2020, 9, 322. [Google Scholar] [CrossRef] [PubMed]
- Du, H.; Chen, B.; Li, Q.; Liu, H.; Kurtenbach, R. Conjugated Polyamines in Root Plasma Membrane Enhanced the Tolerance of Plum Seedling to Osmotic Stress by Stabilizing Membrane Structure and Therefore Elevating H+-ATPase Activity. Front. Plant Sci. 2022, 12, 812360. [Google Scholar] [CrossRef] [PubMed]
- Debouba, M.; Dguimi, H.M.; Ghorbel, M.; Gouia, H.; Suzuki, A. Expression Pattern of Genes Encoding Nitrate and Ammonium Assimilating Enzymes in Arabidopsis thaliana Exposed to Short Term NaCl Stress. J. Plant Physiol. 2013, 170, 155–160. [Google Scholar] [CrossRef] [PubMed]
- Maier, T.; Güell, M.; Serrano, L. Correlation of mRNA and Protein in Complex Biological Samples. FEBS Lett. 2009, 583, 3966–3973. [Google Scholar] [CrossRef]
- Vogel, C.; Marcotte, E.M. Insights into the Regulation of Protein Abundance from Proteomic and Transcriptomic Analyses. Nat. Rev. Genet. 2012, 13, 227–232. [Google Scholar] [CrossRef]
- Zhao, M.-G.; Tian, Q.-Y.; Zhang, W.-H. Nitric Oxide Synthase-Dependent Nitric Oxide Production Is Associated with Salt Tolerance in Arabidopsis. Plant Physiol. 2007, 144, 206–217. [Google Scholar] [CrossRef]
- Sun, X.; Yuan, Z.; Wang, B.; Zheng, L.; Tan, J. Nitric Oxide Synthase (NOS)-Dependent Nitric Oxide Generation Is Involved in Putrescine-Induced Chilling Tolerance of Anthurium andraeanum. Sci. Hortic. 2023, 312, 111849. [Google Scholar] [CrossRef]
- Rosales, E.P.; Iannone, M.F.; Groppa, M.D.; Benavides, M.P. Polyamines Modulate Nitrate Reductase Activity in Wheat Leaves: Involvement of Nitric Oxide. Amino Acids 2012, 42, 857–865. [Google Scholar] [CrossRef]
- Chamizo-Ampudia, A.; Sanz-Luque, E.; Llamas, A.; Galvan, A.; Fernandez, E. Nitrate reductase regulates plant nitric oxide homeostasis. Trends Plant Sci. 2017, 22, 163–174. [Google Scholar] [CrossRef]









Disclaimer/Publisher’s Note: The statements, opinions and data contained in all publications are solely those of the individual author(s) and contributor(s) and not of MDPI and/or the editor(s). MDPI and/or the editor(s) disclaim responsibility for any injury to people or property resulting from any ideas, methods, instructions or products referred to in the content. |
© 2023 by the authors. Licensee MDPI, Basel, Switzerland. This article is an open access article distributed under the terms and conditions of the Creative Commons Attribution (CC BY) license (https://creativecommons.org/licenses/by/4.0/).
Share and Cite
Napieraj, N.; Janicka, M.; Augustyniak, B.; Reda, M. Exogenous Putrescine Modulates Nitrate Reductase-Dependent NO Production in Cucumber Seedlings Subjected to Salt Stress. Metabolites 2023, 13, 1030. https://doi.org/10.3390/metabo13091030
Napieraj N, Janicka M, Augustyniak B, Reda M. Exogenous Putrescine Modulates Nitrate Reductase-Dependent NO Production in Cucumber Seedlings Subjected to Salt Stress. Metabolites. 2023; 13(9):1030. https://doi.org/10.3390/metabo13091030
Chicago/Turabian StyleNapieraj, Natalia, Małgorzata Janicka, Beata Augustyniak, and Małgorzata Reda. 2023. "Exogenous Putrescine Modulates Nitrate Reductase-Dependent NO Production in Cucumber Seedlings Subjected to Salt Stress" Metabolites 13, no. 9: 1030. https://doi.org/10.3390/metabo13091030
APA StyleNapieraj, N., Janicka, M., Augustyniak, B., & Reda, M. (2023). Exogenous Putrescine Modulates Nitrate Reductase-Dependent NO Production in Cucumber Seedlings Subjected to Salt Stress. Metabolites, 13(9), 1030. https://doi.org/10.3390/metabo13091030

