Ensemble Learning for Breast Cancer Lesion Classification: A Pilot Validation Using Correlated Spectroscopic Imaging and Diffusion-Weighted Imaging
Abstract
1. Introduction
2. Materials and Methods
2.1. Subjects and Data Acquisition
2.2. Pre-Processing
2.3. Feature Extraction
| DWI | : 1 feature (ADC). | |
| 1D MRSI | : 3 features, includes water fraction (water/(water + fat)), fat fraction (fat/(water + fat)) and water-to-fat ratio (water/fat). | |
| 2D MRSI | : 95 features which are the ratios of 24 metabolite and lipid peaks with respect to 4 different reference peaks. Reference peaks include methylene fat, olefinic fat and water at 1.4 ppm, 5.4 ppm and 4.7 ppm from the 1D spectrum, and the methylene fat diagonal peak at 1.4 ppm from 2D spectrum. These constitute to 96 features, out of which the ratio of 2D Methylene Fat diagonal peak (FAT14) with itself is excluded resulting in 95 features. | |
2.4. Feature Selection
2.5. Machine Learning Algorithms
2.6. Cross-Validation and Parameter Tuning
2.7. Evaluation Metrics
2.8. Statistical Analysis
2.9. Feature Importance and Model Comparison
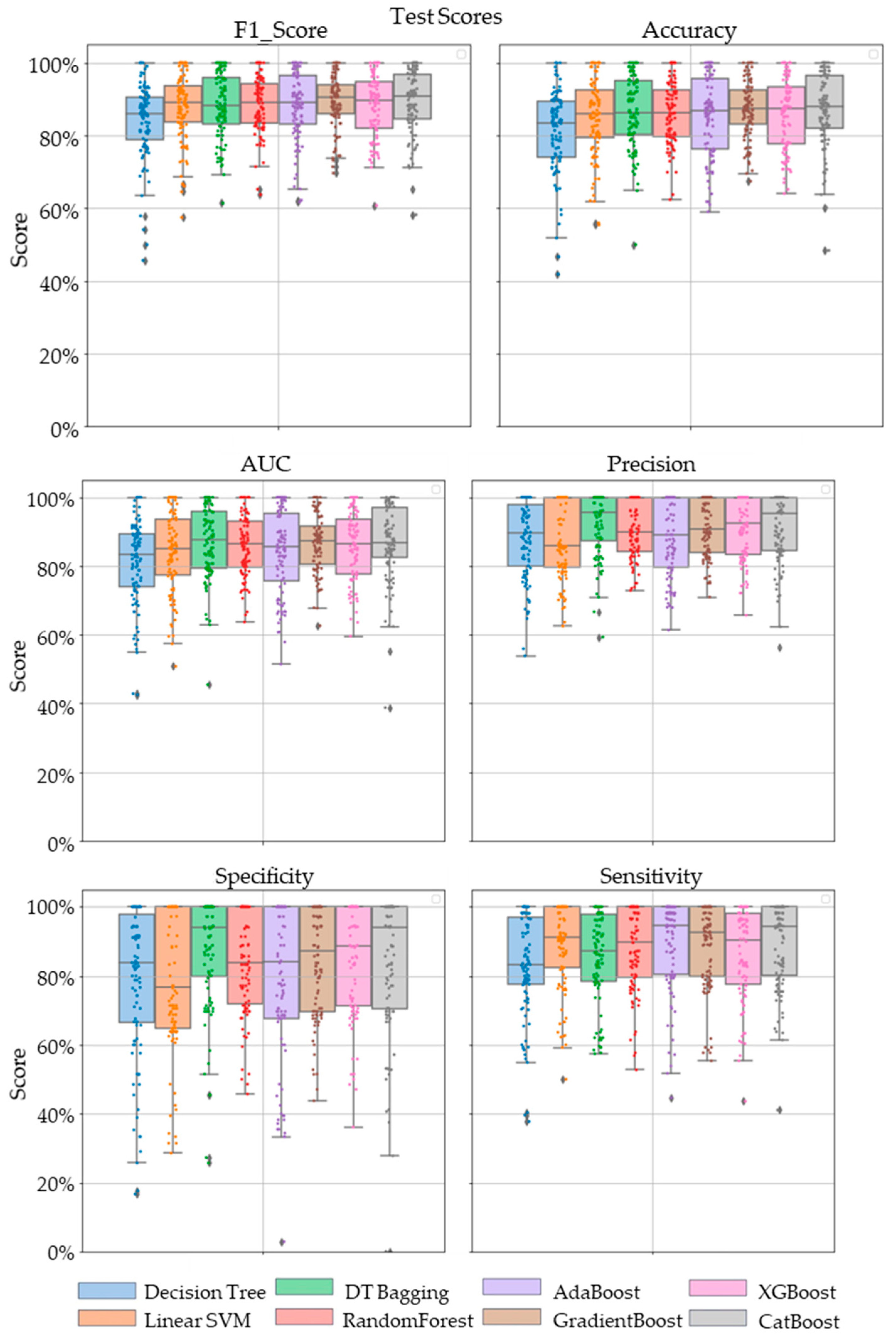
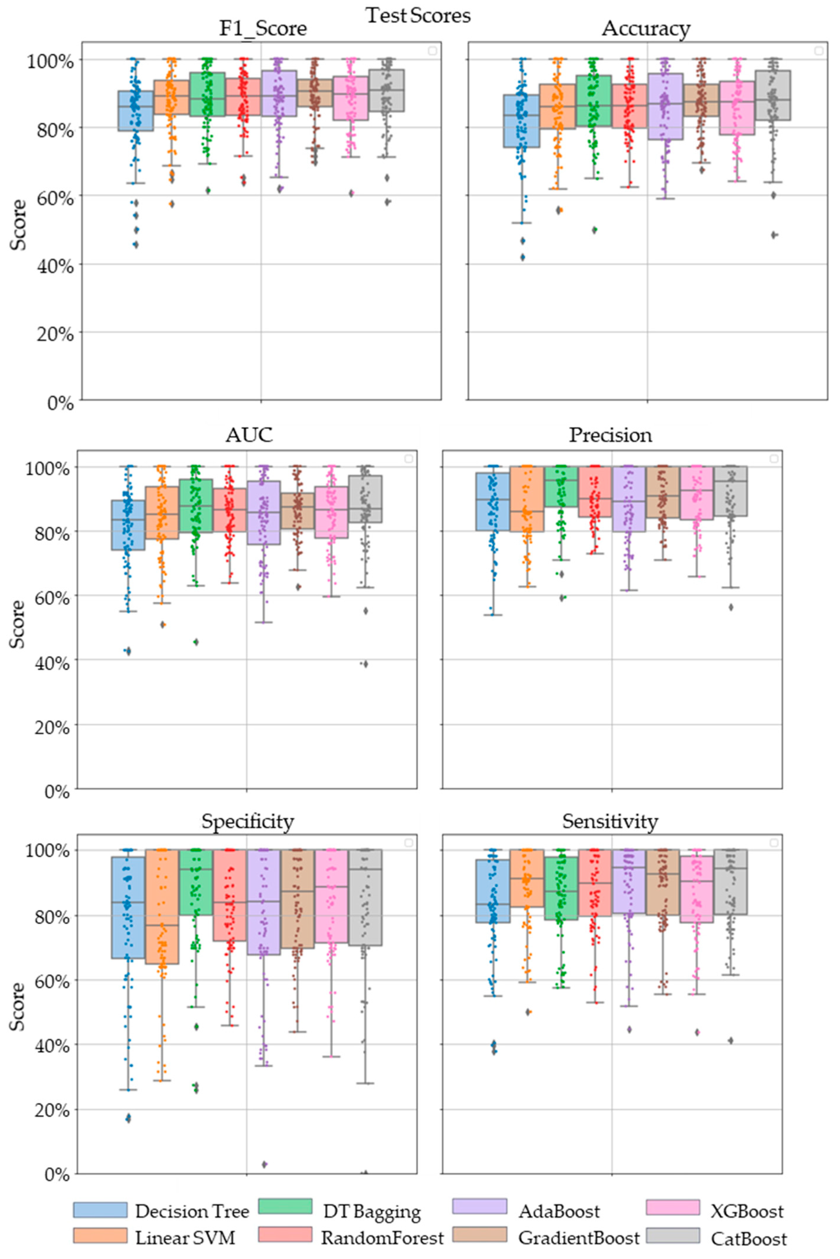
3. Results
3.1. Feature Selection and Comparison
3.2. Comparison of Models
3.3. Feature Importance and Linear Combination Models
4. Discussion
5. Conclusions
Author Contributions
Funding
Institutional Review Board Statement
Informed Consent Statement
Data Availability Statement
Acknowledgments
Conflicts of Interest
References
- Siegel, R.L.; Miller, K.D.; Wagle, N.S.; Jemal, A. Cancer statistics, 2023. CA Cancer J. Clin. 2023, 73, 17–48. [Google Scholar] [CrossRef] [PubMed]
- Bray, F.; Ferlay, J.; Soerjomataram, I.; Siegel, R.; Torre, L.; Jemal, A. Erratum: Global cancer statistics 2018: GLOBOCAN estimates of incidence and mortality worldwide for 36 cancers in 185 countries. CA Cancer J. Clin. 2020, 70, 313. [Google Scholar]
- Al-Ajmi, K.; Lophatananon, A.; Yuille, M.; Ollier, W.; Muir, K.R. Review of non-clinical risk models to aid prevention of breast cancer. Cancer Causes Control 2018, 29, 967–986. [Google Scholar] [CrossRef] [PubMed]
- Fu, B.; Liu, P.; Lin, J.; Deng, L.; Hu, K.; Zheng, H. Predicting invasive disease-free survival for early stage breast cancer patients using follow-up clinical data. IEEE Trans. Biomed. Eng. 2018, 66, 2053–2064. [Google Scholar] [CrossRef]
- Jagannathan, N. Breast MR. NMR Biomed. 2009, 22, 1–135. [Google Scholar] [CrossRef]
- Lehman, C.D.; Isaacs, C.; Schnall, M.D.; Pisano, E.D.; Ascher, S.M.; Weatherall, P.T.; Bluemke, D.A.; Bowen, D.J.; Marcom, P.K.; Armstrong, D.K. Cancer yield of mammography, MR, and US in high-risk women: Prospective multi-institution breast cancer screening study. Radiology 2007, 244, 381–388. [Google Scholar] [CrossRef]
- Morris, E.A. Diagnostic breast MR imaging: Current status and future directions. Radiol. Clin. N. Am. 2007, 45, 863–880. [Google Scholar] [CrossRef]
- Pe, M.; Dorme, L.; Coens, C.; Basch, E.; Calvert, M.; Campbell, A.; Cleeland, C.; Cocks, K.; Collette, L.; Dirven, L. Statistical analysis of patient-reported outcome data in randomised controlled trials of locally advanced and metastatic breast cancer: A systematic review. Lancet Oncol. 2018, 19, e459–e469. [Google Scholar] [CrossRef]
- Pop, C.F.; Stanciu-Pop, C.; Drisis, S.; Radermeker, M.; Vandemerckt, C.; Noterman, D.; Moreau, M.; Larsimont, D.; Nogaret, J.M.; Veys, I. The impact of breast MRI workup on tumor size assessment and surgical planning in patients with early breast cancer. Breast J. 2018, 24, 927–933. [Google Scholar] [CrossRef]
- Saslow, D.; Boetes, C.; Burke, W.; Harms, S.; Leach, M.O.; Lehman, C.D.; Morris, E.; Pisano, E.; Schnall, M.; Sener, S. American Cancer Society guidelines for breast screening with MRI as an adjunct to mammography. CA Cancer J. Clin. 2007, 57, 75–89. [Google Scholar] [CrossRef]
- Weinreb, J.C.; Newstead, G. MR imaging of the breast. Radiology 1995, 196, 593–610. [Google Scholar] [CrossRef]
- Zhang, M.; Horvat, J.V.; Bernard-Davila, B.; Marino, M.A.; Leithner, D.; Ochoa-Albiztegui, R.E.; Helbich, T.H.; Morris, E.A.; Thakur, S.; Pinker, K. Multiparametric MRI model with dynamic contrast-enhanced and diffusion-weighted imaging enables breast cancer diagnosis with high accuracy. J. Magn. Reson. Imaging 2019, 49, 864–874. [Google Scholar] [CrossRef] [PubMed]
- Warner, E. Breast-cancer screening. N. Engl. J. Med. 2011, 365, 1025–1032. [Google Scholar] [CrossRef] [PubMed]
- Aboagye, E.O.; Bhujwalla, Z.M. Malignant transformation alters membrane choline phospholipid metabolism of human mammary epithelial cells. Cancer Res. 1999, 59, 80–84. [Google Scholar] [PubMed]
- Bolan, P.J.; Kim, E.; Herman, B.A.; Newstead, G.M.; Rosen, M.A.; Schnall, M.D.; Pisano, E.D.; Weatherall, P.T.; Morris, E.A.; Lehman, C.D. MR spectroscopy of breast cancer for assessing early treatment response: Results from the ACRIN 6657 MRS trial. J. Magn. Reson. Imaging 2017, 46, 290–302. [Google Scholar] [CrossRef]
- Dorrius, M.D.; Pijnappel, R.M.; Jansen-van der Weide, M.C.; Jansen, L.; Kappert, P.; Oudkerk, M.; Sijens, P.E. Determination of choline concentration in breast lesions: Quantitative multivoxel proton MR spectroscopy as a promising noninvasive assessment tool to exclude benign lesions. Radiology 2011, 259, 695–703. [Google Scholar] [CrossRef]
- Gribbestad, I.; Sitter, B.; Lundgren, S.; Krane, J.; Axelson, D. Metabolite composition in breast tumors examined by proton nuclear magnetic resonance spectroscopy. Anticancer Res. 1999, 19, 1737–1746. [Google Scholar]
- Haukaas, T.H.; Euceda, L.R.; Giskeødegård, G.F.; Bathen, T.F. Metabolic portraits of breast cancer by HR MAS MR spectroscopy of intact tissue samples. Metabolites 2017, 7, 18. [Google Scholar] [CrossRef]
- Jagannathan, N.; Seenu, V.; Kumar, M. Potential of in vivo proton MR spectroscopy in the assessment of breast lesions without the use of contrast agent. Radiology 2002, 223, 281–282. [Google Scholar] [CrossRef]
- Roebuck, J.R.; Cecil, K.M.; Schnall, M.D.; Lenkinski, R.E. Human breast lesions: Characterization with proton MR spectroscopy. Radiology 1998, 209, 269–275. [Google Scholar] [CrossRef]
- Sharma, U.; Mehta, A.; Seenu, V.; Jagannathan, N. Biochemical characterization of metastatic lymph nodes of breast cancer patients by in vitro 1H magnetic resonance spectroscopy: A pilot study. Magn. Reson. Imaging 2004, 22, 697–706. [Google Scholar] [CrossRef] [PubMed]
- Thakur, S.B.; Horvat, J.V.; Hancu, I.; Sutton, O.M.; Bernard-Davila, B.; Weber, M.; Oh, J.H.; Marino, M.A.; Avendano, D.; Leithner, D. Quantitative in vivo proton MR spectroscopic assessment of lipid metabolism: Value for breast cancer diagnosis and prognosis. J. Magn. Reson. Imaging 2019, 50, 239–249. [Google Scholar] [CrossRef] [PubMed]
- Thomas, M.A.; Binesh, N.; Yue, K.; DeBruhl, N. Volume-localized two-dimensional correlated magnetic resonance spectroscopy of human breast cancer. J. Magn. Reson. Imaging 2001, 14, 181–186. [Google Scholar] [CrossRef] [PubMed]
- Amornsiripanitch, N.; Nguyen, V.T.; Rahbar, H.; Hippe, D.S.; Gadi, V.K.; Rendi, M.H.; Partridge, S.C. Diffusion-weighted MRI characteristics associated with prognostic pathological factors and recurrence risk in invasive ER+/HER2–breast cancers. J. Magn. Reson. Imaging 2018, 48, 226–236. [Google Scholar] [CrossRef]
- Bammer, R. Basic principles of diffusion-weighted imaging. Eur. J. Radiol. 2003, 45, 169–184. [Google Scholar] [CrossRef]
- Belli, P.; Costantini, M.; Bufi, E.; Magistrelli, A.; La Torre, G.; Bonomo, L. Diffusion-weighted imaging in breast lesion evaluation. Radiol. Med. 2010, 115, 51–69. [Google Scholar] [CrossRef]
- Delbany, M.; Bustin, A.; Poujol, J.; Thomassin-Naggara, I.; Felblinger, J.; Vuissoz, P.A.; Odille, F. One-millimeter isotropic breast diffusion-weighted imaging: Evaluation of a superresolution strategy in terms of signal-to-noise ratio, sharpness and apparent diffusion coefficient. Magn. Reson. Med. 2019, 81, 2588–2599. [Google Scholar] [CrossRef]
- deSouza, N.M. Diffusion-weighted MRI in multicenter trials of breast cancer: A useful measure of tumor response? Radiol. Soc. N. Am. 2018, 289, 628–629. [Google Scholar] [CrossRef]
- Le Bihan, D.; Breton, E.; Lallemand, D.; Grenier, P.; Cabanis, E.; Laval-Jeantet, M. MR imaging of intravoxel incoherent motions: Application to diffusion and perfusion in neurologic disorders. Radiology 1986, 161, 401–407. [Google Scholar] [CrossRef]
- Newitt, D.C.; Zhang, Z.; Gibbs, J.E.; Partridge, S.C.; Chenevert, T.L.; Rosen, M.A.; Bolan, P.J.; Marques, H.S.; Aliu, S.; Li, W. Test–retest repeatability and reproducibility of ADC measures by breast DWI: Results from the ACRIN 6698 trial. J. Magn. Reson. Imaging 2019, 49, 1617–1628. [Google Scholar] [CrossRef]
- Sharma, U.; Danishad, K.K.A.; Seenu, V.; Jagannathan, N.R. Longitudinal study of the assessment by MRI and diffusion-weighted imaging of tumor response in patients with locally advanced breast cancer undergoing neoadjuvant chemotherapy. NMR Biomed. Int. J. Devoted Dev. Appl. Magn. Reson. In Vivo 2009, 22, 104–113. [Google Scholar] [CrossRef]
- Furman-Haran, E.; Grobgeld, D.; Kelcz, F.; Degani, H. Critical role of spatial resolution in dynamic contrast-enhanced breast MRI. J. Magn. Reson. Imaging 2001, 13, 862–867. [Google Scholar] [CrossRef] [PubMed]
- Hickman, P.; Moore, N.; Shepstone, B. The indeterminate breast mass: Assessment using contrast enhanced magnetic resonance imaging. Br. J. Radiol. 1994, 67, 14–20. [Google Scholar] [CrossRef] [PubMed]
- Kvistad, K.A.; Rydland, J.; Vainio, J.; Smethurst, H.B.; Lundgren, S.; Fjøsne, H.E.; Haraldseth, O. Breast lesions: Evaluation with dynamic contrast-enhanced T1-weighted MR imaging and with T2*-weighted first-pass perfusion MR imaging. Radiology 2000, 216, 545–553. [Google Scholar] [CrossRef] [PubMed]
- Liu, P.; Debatin, J.; Caduff, R.; Kacl, G.; Garzoli, E.; Krestin, G. Improved diagnostic accuracy in dynamic contrast enhanced MRI of the breast by combined quantitative and qualitative analysis. Br. J. Radiol. 1998, 71, 501–509. [Google Scholar] [CrossRef] [PubMed]
- Millet, I.; Pages, E.; Hoa, D.; Merigeaud, S.; Curros Doyon, F.; Prat, X.; Taourel, P. Pearls and pitfalls in breast MRI. Br. J. Radiol. 2012, 85, 197–207. [Google Scholar] [CrossRef] [PubMed]
- Bogner, W.; Gruber, S.; Pinker, K.; Grabner, G.; Stadlbauer, A.; Weber, M.; Moser, E.; Helbich, T.H.; Trattnig, S. Diffusion-weighted MR for differentiation of breast lesions at 3.0 T: How does selection of diffusion protocols affect diagnosis? Radiology 2009, 253, 341–351. [Google Scholar] [CrossRef]
- Chen, X.; Li, W.-L.; Zhang, Y.-L.; Wu, Q.; Guo, Y.-M.; Bai, Z.-L. Meta-analysis of quantitative diffusion-weighted MR imaging in the differential diagnosis of breast lesions. BMC Cancer 2010, 10, 693. [Google Scholar] [CrossRef]
- Prvulovic Bunovic, N.; Sveljo, O.; Kozic, D.; Boban, J. Is Elevated Choline on Magnetic Resonance Spectroscopy a Reliable Marker of Breast Lesion Malignancy? Front. Oncol. 2021, 11, 610354. [Google Scholar] [CrossRef]
- Shahraki, Z.; Ghaffari, M.; Parooie, F.; Salarzaei, M. Preoperative evaluation of breast cancer: Contrast-enhanced mammography versus contrast-enhanced magnetic resonance imaging: A systematic review and meta-analysis. Breast Dis. 2022, 41, 303–315. [Google Scholar] [CrossRef]
- Baltzer, P.A.; Dietzel, M. Breast lesions: Diagnosis by using proton MR spectroscopy at 1.5 and 3.0 T—Systematic review and meta-analysis. Radiology 2013, 267, 735–746. [Google Scholar] [CrossRef] [PubMed]
- Joy, A.; Saucedo, A.; Joines, M.; Lee-Felker, S.; Kumar, S.; Sarma, M.K.; Sayre, J.; DiNome, M.; Thomas, M.A. Correlated MR spectroscopic imaging of breast cancer to investigate metabolites and lipids: Acceleration and compressed sensing reconstruction. BJR|Open 2022, 4, 20220009. [Google Scholar] [CrossRef]
- Aamir, S.; Rahim, A.; Aamir, Z.; Abbasi, S.F.; Khan, M.S.; Alhaisoni, M.; Khan, M.A.; Khan, K.; Ahmad, J. Predicting breast cancer leveraging supervised machine learning techniques. Comput. Math. Methods Med. 2022, 2022, 5869529. [Google Scholar] [CrossRef] [PubMed]
- Dou, Y.; Meng, W. An Optimization Algorithm for Computer-Aided Diagnosis of Breast Cancer Based on Support Vector Machine. Front. Bioeng. Biotechnol. 2021, 9, 698390. [Google Scholar] [CrossRef] [PubMed]
- Greener, J.G.; Kandathil, S.M.; Moffat, L.; Jones, D.T. A guide to machine learning for biologists. Nat. Rev. Mol. Cell Biol. 2022, 23, 40–55. [Google Scholar] [CrossRef]
- Zhou, Z.-H.; Zhou, Z.-H. Ensemble Learning; Springer: Berlin/Heidelberg, Germany, 2021. [Google Scholar]
- Qi, C.; Li, Y.; Fan, X.; Jiang, Y.; Wang, R.; Yang, S.; Meng, L.; Jiang, T.; Li, S. A quantitative SVM approach potentially improves the accuracy of magnetic resonance spectroscopy in the preoperative evaluation of the grades of diffuse gliomas. NeuroImage Clin. 2019, 23, 101835. [Google Scholar] [CrossRef]
- Mehta, R.; Bu, Y.; Zhong, Z.; Dan, G.; Zhong, P.-S.; Zhou, C.; Hu, W.; Zhou, X.J.; Xu, M.; Wang, S. Characterization of breast lesions using multi-parametric diffusion MRI and machine learning. Phys. Med. Biol. 2023, 68, 085006. [Google Scholar] [CrossRef]
- Parekh, V.S.; Jacobs, M.A. Integrated radiomic framework for breast cancer and tumor biology using advanced machine learning and multiparametric MRI. NPJ Breast Cancer 2017, 3, 43. [Google Scholar] [CrossRef]
- Daimiel Naranjo, I.; Gibbs, P.; Reiner, J.S.; Lo Gullo, R.; Sooknanan, C.; Thakur, S.B.; Jochelson, M.S.; Sevilimedu, V.; Morris, E.A.; Baltzer, P.A. Radiomics and machine learning with multiparametric breast MRI for improved diagnostic accuracy in breast cancer diagnosis. Diagnostics 2021, 11, 919. [Google Scholar] [CrossRef]
- Klose, U. In vivo proton spectroscopy in presence of eddy currents. Magn. Reson. Med. 1990, 14, 26–30. [Google Scholar] [CrossRef]
- Burns, B.L.; Wilson, N.E.; Thomas, M.A. Group sparse reconstruction of multi-dimensional spectroscopic imaging in human brain in vivo. Algorithms 2014, 7, 276–294. [Google Scholar]
- Wilson, N.E.; Burns, B.L.; Iqbal, Z.; Thomas, M.A. Correlated spectroscopic imaging of calf muscle in three spatial dimensions using group sparse reconstruction of undersampled single and multichannel data. Magn. Reson. Med. 2015, 74, 1199–1208. [Google Scholar] [CrossRef]
- Guyon, I.; Weston, J.; Barnhill, S.; Vapnik, V. Gene selection for cancer classification using support vector machines. Mach. Learn. 2002, 46, 389–422. [Google Scholar] [CrossRef]
- Pedregosa, F.; Varoquaux, G.; Gramfort, A.; Michel, V.; Thirion, B.; Grisel, O.; Blondel, M.; Prettenhofer, P.; Weiss, R.; Dubourg, V. Scikit-learn: Machine learning in Python. J. Mach. Learn. Res. 2011, 12, 2825–2830. [Google Scholar]
- Buitinck, L.; Louppe, G.; Blondel, M.; Pedregosa, F.; Mueller, A.; Grisel, O.; Niculae, V.; Prettenhofer, P.; Gramfort, A.; Grobler, J. API design for machine learning software: Experiences from the scikit-learn project. arXiv 2013, arXiv:1309.0238. [Google Scholar]
- Chen, T.; Guestrin, C. Xgboost: A scalable tree boosting system. In Proceedings of the 22nd Acm Sigkdd International Conference on Knowledge Discovery and Data Mining, Washington, DC, USA, 14–18 August 2022; pp. 785–794. [Google Scholar]
- Dorogush, A.V.; Ershov, V.; Gulin, A. CatBoost: Gradient boosting with categorical features support. arXiv 2018, arXiv:1810.11363. [Google Scholar]








| 2D COSY | 1D NWS | ||||
|---|---|---|---|---|---|
| Diagonal Peaks | Cross-Peaks | Peak Label | Locations (F2) ppm | ||
| Peak Label | Locations (F2, F1) ppm | Peak Label | Locations (F2, F1) ppm | ||
| Methyl Fat (FMETD) | (0.9, 0.9) | CP1 | (0.9, 1.4) | Methylene Fat (FAT14_1d) | 1.4 | 
| Methylene Fat (FAT14) | (1.4, 1.4) | CP2 | (1.4, 0.9) | Water (WAT_1d) | 4.7 | 
| Methylene Fat (FAT21) | (2.1, 2.1) | CP3 | (1.6, 2.3) | Olefinic Fat (UFD54_1d) | 5.4 | 
| Methylene Fat (FAT23) | (2.3, 2.3) | CP4 | (2.3, 1.6) | ||
| Methylene Fat (FAT29) | (2.9, 2.9) | CP5 | (1.4, 2.1) | ||
| Choline (Cho) | (3.2, 3.2) | CP6 | (2.1, 1.4) | ||
| myo-Inositol + Glycine (mI + Gly) | (3.5, 3.5) | CP7 | (4.1, 4.3) | ||
| Methylene Glycerol Backbone (MGB41) | (4.1, 4.1) | CP8 | (4.3, 4.1) | ||
| Methylene Glycerol Backbone (MGB43) | (4.3, 4.3) | Unsaturated fatty acid cross peak, right lower (UFR_lower) | (2.1, 5.4) | ||
| Water (WAT) | (4.7, 4.7) | Unsaturated fatty acid cross peak, left lower (UFL_lower) | (2.9, 5.4) | ||
| Olefinic Fat (UFD54) | (5.4, 5.4) | Triglyceryl fat cross peak lower, (TGF_lower) | (4.2, 5.3) | ||
| Unsaturated fatty acid cross peak, right upper (UFR_upper) | (5.4, 2.1) | ||||
| Unsaturated fatty acid cross peak, left upper (UFL_upper) | (5.4, 2.9) | ||||
| Triglyceryl fat cross peak upper (TGF_upper) | (5.3, 4.2) | ||||
| Model | AUC (%) | Accuracy (%) | F1 score (%) | Precision (%) | Sensitivity (%) | Specificity (%) | 
|---|---|---|---|---|---|---|
| AdaBoost | 92.77 ± 9.02 | 86.43 ± 12.43 | 88.10 ± 11.20 | 84.48 ± 13.96 | 92.79 ± 10.22 | 79.17 ± 19.93 | 
| CatBoost | 93.09 ± 10.56 | 87.08 ± 12.15 | 88.23 ± 11.08 | 87.90 ± 14.98 | 89.84 ± 11.05 | 83.44 ± 20.71 | 
| DT-based Bagging | 92.20 ± 9.67 | 87.30 ± 11.95 | 88.63 ± 10.86 | 87.74 ± 14.72 | 90.49 ± 9.55 | 83.35 ± 19.94 | 
| Decision Tree | 82.82 ± 10.50 | 82.31 ± 8.80 | 84.75 ± 7.23 | 83.76 ± 14.19 | 87.58 ± 7.00 | 75.32 ± 21.03 | 
| GradientBoost | 94.28 ± 9.44 | 89.33 ± 13.43 | 90.65 ± 12.21 | 87.90 ± 14.98 | 94.22 ± 10.53 | 83.44 ± 20.71 | 
| Linear SVM | 90.24 ± 7.81 | 81.21 ± 12.42 | 83.31 ± 11.48 | 81.05 ± 14.35 | 86.18 ± 9.32 | 75.24 ± 17.93 | 
| RandomForest | 93.40 ± 9.59 | 86.39 ± 12.17 | 87.78 ± 11.01 | 87.51 ± 15.50 | 89.31 ± 10.08 | 82.76 ± 21.50 | 
| XGBoost | 93.50 ± 8.11 | 87.78 ± 12.46 | 88.90 ± 11.61 | 88.16 ± 14.77 | 90.36 ± 10.32 | 84.56 ± 19.11 | 
| Disclaimer/Publisher’s Note: The statements, opinions and data contained in all publications are solely those of the individual author(s) and contributor(s) and not of MDPI and/or the editor(s). MDPI and/or the editor(s) disclaim responsibility for any injury to people or property resulting from any ideas, methods, instructions or products referred to in the content. | 
© 2023 by the authors. Licensee MDPI, Basel, Switzerland. This article is an open access article distributed under the terms and conditions of the Creative Commons Attribution (CC BY) license (https://creativecommons.org/licenses/by/4.0/).
Share and Cite
Joy, A.; Lin, M.; Joines, M.; Saucedo, A.; Lee-Felker, S.; Baker, J.; Chien, A.; Emir, U.; Macey, P.M.; Thomas, M.A. Ensemble Learning for Breast Cancer Lesion Classification: A Pilot Validation Using Correlated Spectroscopic Imaging and Diffusion-Weighted Imaging. Metabolites 2023, 13, 835. https://doi.org/10.3390/metabo13070835
Joy A, Lin M, Joines M, Saucedo A, Lee-Felker S, Baker J, Chien A, Emir U, Macey PM, Thomas MA. Ensemble Learning for Breast Cancer Lesion Classification: A Pilot Validation Using Correlated Spectroscopic Imaging and Diffusion-Weighted Imaging. Metabolites. 2023; 13(7):835. https://doi.org/10.3390/metabo13070835
Chicago/Turabian StyleJoy, Ajin, Marlene Lin, Melissa Joines, Andres Saucedo, Stephanie Lee-Felker, Jennifer Baker, Aichi Chien, Uzay Emir, Paul M. Macey, and M. Albert Thomas. 2023. "Ensemble Learning for Breast Cancer Lesion Classification: A Pilot Validation Using Correlated Spectroscopic Imaging and Diffusion-Weighted Imaging" Metabolites 13, no. 7: 835. https://doi.org/10.3390/metabo13070835
APA StyleJoy, A., Lin, M., Joines, M., Saucedo, A., Lee-Felker, S., Baker, J., Chien, A., Emir, U., Macey, P. M., & Thomas, M. A. (2023). Ensemble Learning for Breast Cancer Lesion Classification: A Pilot Validation Using Correlated Spectroscopic Imaging and Diffusion-Weighted Imaging. Metabolites, 13(7), 835. https://doi.org/10.3390/metabo13070835
 
        






 
       