Influence of Flavonoid-Rich Fraction of Monodora tenuifolia Seed Extract on Blood Biochemical Parameters in Streptozotocin-Induced Diabetes Mellitus in Male Wistar Rats
Abstract
1. Introduction
2. Materials and Methods
2.1. Collection of Plant Materials
2.2. Reagents and Chemicals
2.3. Preparation of Flavonoids-Rich Fraction of the Extract
2.4. Determination of Total Flavonoid Content
2.5. Collection of Experimental Animals
2.6. Induction of Diabetes Using Streptozotocin (STZ)
2.7. Grouping and Treatment of Experimental Animals
2.8. Sacrificing of Experimental Animals and Blood Collection
2.9. Determination of Lipid Profile
2.9.1. Estimation of Total Cholesterol Concentration
2.9.2. Estimation of Triglycerides Concentration
2.9.3. Determination of High-Density Lipoprotein Cholesterol (HDL-c) Concentration
2.9.4. Estimation of Low-Density Lipoprotein Cholesterol (LDL-c) Concentration
2.9.5. Estimation of Very Low-Density Lipoprotein Cholesterol (VLDL-c) Concentration
2.10. Determination of the Concentrations of Renal Biomarkers
2.10.1. Estimation of Plasma Urea Nitrogen Concentration
2.10.2. Estimation of Plasma Creatinine Concentration
2.11. Determination of Cardiac Biomarkers in Plasma
2.11.1. Assay of Creatinine Kinase-Myocardial Band [CK-MB] Activity
2.11.2. Assay of Lactate Dehydrogenase (LDH) Activity
2.12. Statistical Analysis
3. Results
3.1. Total Flavonoid Concentration in FFMTSE
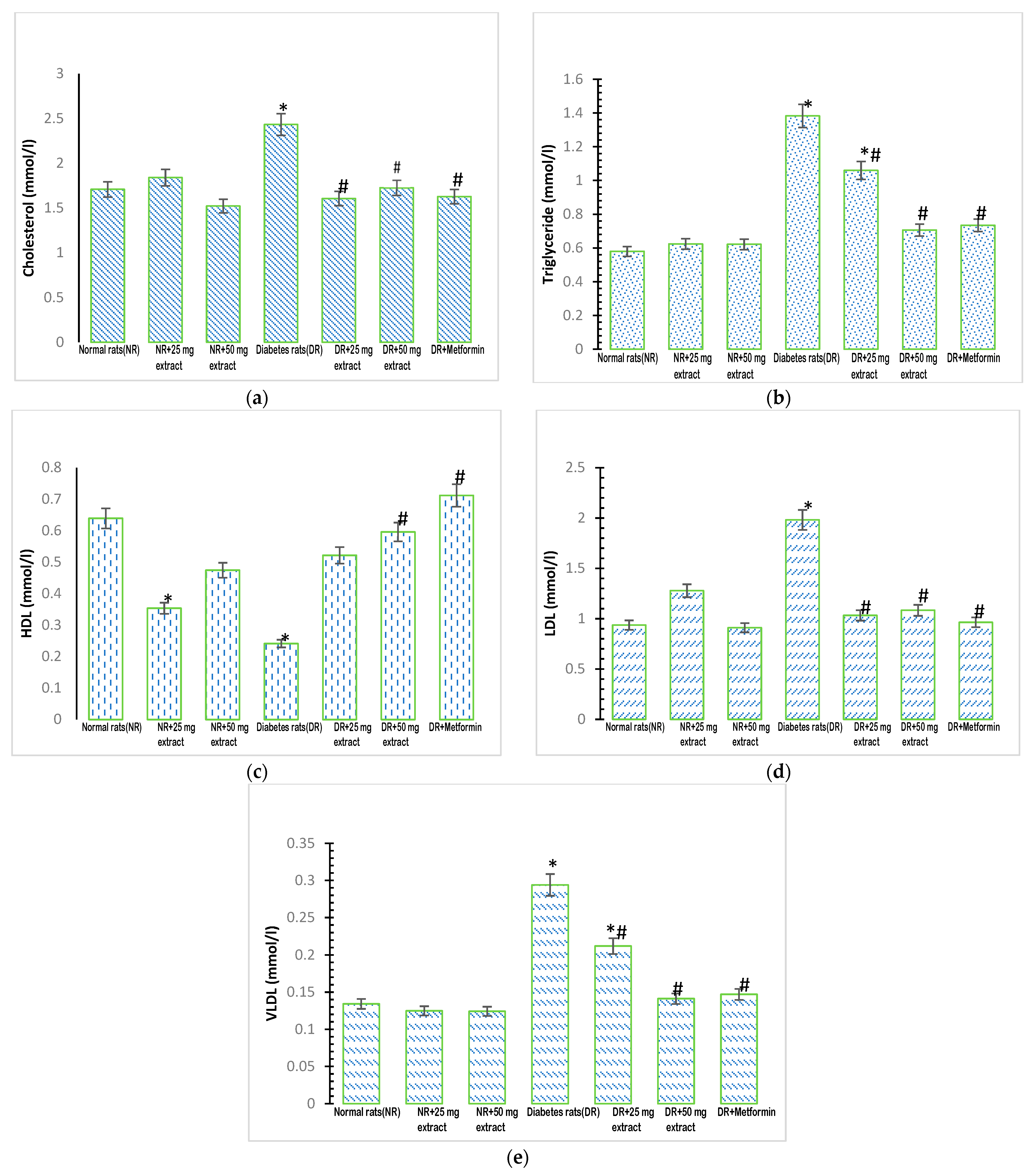
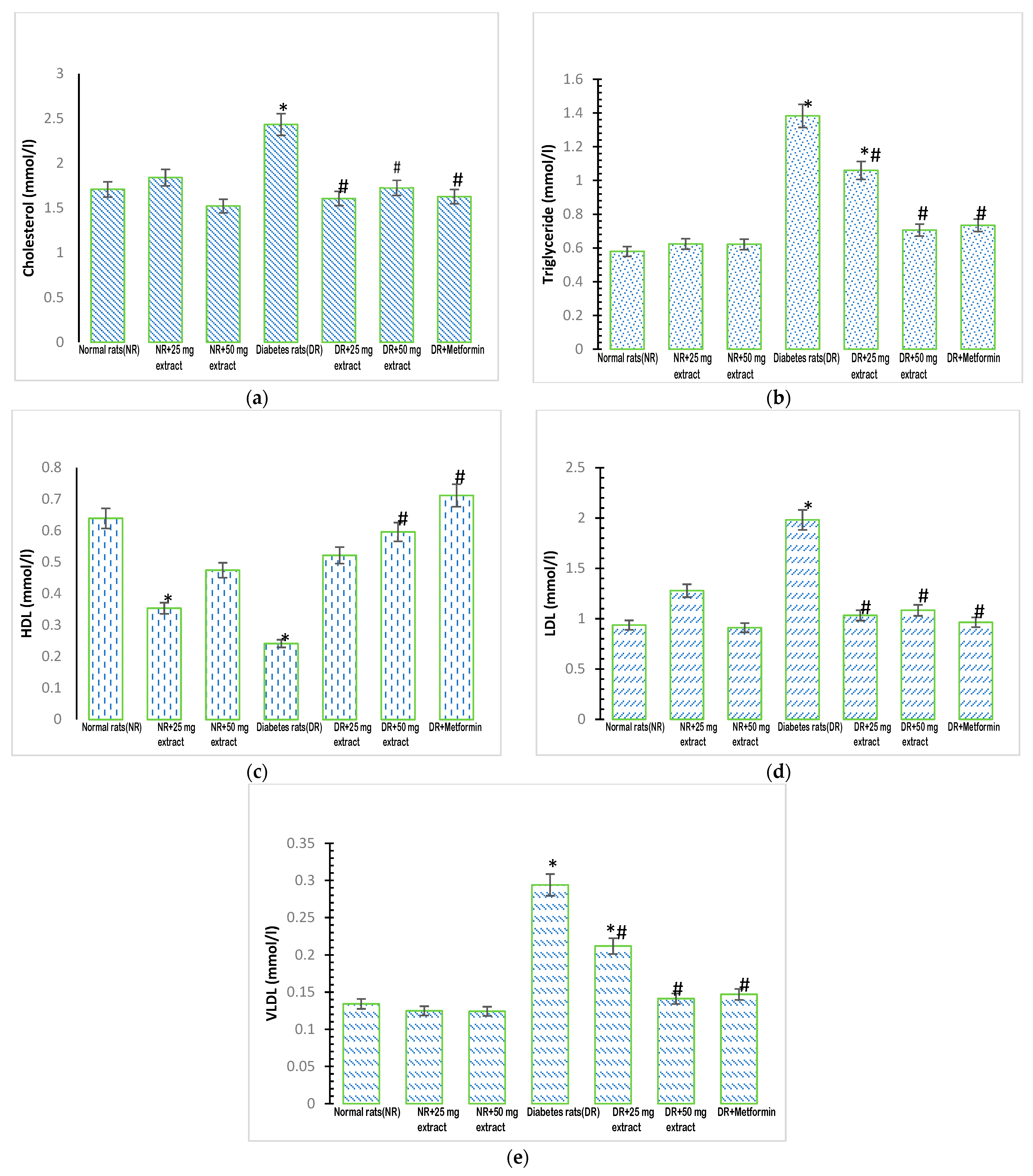
3.2. Effect of FFMTSE on Lipid Profile
3.3. Effect of FFMTSE on Kidney Biomarkers
3.4. Effect of FFMTSE on Cardiac Biomarkers
4. Discussion
5. Conclusions
Author Contributions
Funding
Institutional Review Board Statement
Informed Consent Statement
Data Availability Statement
Conflicts of Interest
References
- Ajuwon, O.R.; Ayeleso, A.O.; Adefolaju, G.A. The potential of South African herbal tisanes, rooibos and honeybush in the management of type 2 diabetes mellitus. Molecules 2018, 23, 3207. [Google Scholar] [CrossRef] [PubMed]
- Gomathi, D.; Kalaiselvi, M.; Ravikumar, G.; Devaki, K.; Uma, C. Evaluation of Antioxidants in the Kidney of Streptozotocin Induced Diabetic Rats. Indian J. Clin. Biochem. 2014, 29, 221–226. [Google Scholar] [CrossRef] [PubMed]
- Zheng, Y.; Ley, S.H.; Hu, F.B. Global aetiology and epidemiology of type 2 diabetes mellitus and its complications. Nat. Rev. Endocrinol. 2018, 14, 88–98. [Google Scholar] [CrossRef] [PubMed]
- Shah, S.R.; Iqbal, S.M.; Alweis, R.; Roark, S. A closer look at heart failure in patients with concurrent diabetes mellitus using glucose lowering drugs. Expert Rev. Clin. Pharmacol. 2019, 12, 45–52. [Google Scholar] [CrossRef] [PubMed]
- WHO. Global Report on Diabetes; World Health Organization: Geneva, Switzerland, 2016; Available online: https://apps.who.int/iris/handle/10665/204871 (accessed on 18 October 2022).
- Hasler, C.M.; Blumberg, J.B. Symposium on Phytochemicals: Biochemistry and Physiology. J. Nutr. 1999, 129, 756–757. [Google Scholar] [CrossRef]
- Mamta, S.; Jyoti, S.; Rajeev, N.; Dharmendra, S.; Abhishek, G. Phytochemistry of Medicinal Plants. J. Pharmacogn. Phytochem. 2013, 1, 168–182. [Google Scholar]
- Saeed, A.; Marwat, M.S.; Shah, A.H.; Naz, R.; Zain-Ul-Abidin, S.; Akbar, S.; Khan, R.; Navid, M.T.; Saeed, A.; Bhatti, M.Z. Assessment of total phenolic and flavonoid contents of selected fruits and vegetables. Indian J. Tradit. Knowl. 2019, 18, 686–693. [Google Scholar]
- Raina, H.; Soni, G.; Jauhari, N.; Sharma, N.; Bharadvaja, N. Phytochemical importance of medicinal plants as potential sources of anticancer agents. Turk. J. Bot. 2014, 38, 1027–1035. [Google Scholar] [CrossRef]
- Mustafa, G.; Arif, R.; Atta, A.; Sharif, S.; Jamil, A. Bioactive Compounds from Medicinal Plants and Their Importance in Drug Discovery in Pakistan. Matrix Sci. Pharma 2017, 1, 17–26. [Google Scholar] [CrossRef]
- Gupta, A.; Khamkar, P.R.; Chaphalkar, S. Applications and uses of active ingredients from medicinal plants. Indian J. Nov. Drug Deliv. 2014, 6, 106–111. [Google Scholar]
- Njoku, U.O.; Akah, P.A.; Okonkwo, C.C. Antioxidant activity of seed extracts Monodora tenuifolia (Annonoaceae). Int. J. Basic Appl. Sci. 2012, 12, 80–87. [Google Scholar]
- Nielsen, M. Introduction to the Flowering Plants of West Africa; University of London Press Ltd.: London, UK, 1979; p. 90. [Google Scholar]
- Onyenibe, N.S.; Fowokemi, K.T.; Emmanuel, O.B. African Nutmeg (Monodora Myristica) Lowers Cholesterol and Modulates Lipid Peroxidation in Experimentally Induced Hypercholesterolemic Male Wistar Rats. Int. J. Biomed. Sci. 2015, 11, 86–92. [Google Scholar] [PubMed]
- Ezenwali, M.O.; Njoku, O.U.; Okoli, C.O. Studies on the antidiarrhoeal properties of seed extract of Monodora tenuifolia. Int. J. Appl. Res. Nat. Prod. 2009, 2, 20–26. [Google Scholar]
- Ekeanyanwu, R.C.; Njoku, O.U. Acute and subacute oral toxicity study on the flavonoid rich fraction of Monodora tenuifolia seed in albino rats. Asian Pac. J. Trop. Biomed. 2014, 4, 194–202. [Google Scholar] [CrossRef]
- Irvine, F.R. Woody Plants of Ghana with Special Reference to Their Uses; Oxford University Press: London, UK, 1961. [Google Scholar]
- Bele, M.Y.; Focho, D.A.; Egbe, E.A.; Chuyong, B.G. Ethnobotanical survey of the uses of Annonaceae around mount Cameroon. Afr. J. Plant Sci. 2011, 5, 237–247. [Google Scholar]
- Akinwunmi, K.F.; Oyedapo, O.O. In vitro anti-inflammatory evaluation of African nutmeg (Monodora myristica) seeds. Eur. J. Med. Plants 2015, 8, 167–174. [Google Scholar] [CrossRef]
- Akinwunmi, F.F.; Oyedapo, O.O. Evaluation of antioxidant potentials of Monodora myristica (Gaertn) dunel seeds. Afr. J. Food Sci. 2013, 7, 317–324. [Google Scholar]
- Chukwuma, E.R.; Chiamaka, J.G. Ameliorative Effect of the Flavonoid Rich Fraction of Monodora myristica (Gaertn) Dunel Seed Extract against Carbon Tetrachloride-Induced Hepatotoxicity and Oxidative Stress in Rats. Biochem. Pharmacol. 2017, 6, 232. [Google Scholar] [CrossRef]
- Gupta, A.; Sheth, N.R.; Pandey, S.; Yadav, J.S.; Joshi, S.V. Screening of flavonoids rich fractions of three Indian medicinal plants used for the management of liver diseases. Rev. Bras. Farmacogn. 2015, 25, 485–490. [Google Scholar] [CrossRef]
- Bala, S.Z.; Hassan, M.; Sani, A. Effect of Flavonoid Rich Fraction of Irvingia gabonensis Seed Extract on Tetrachloromethane (CCl4)—Induced Liver Damage in Mice. Int. J. Sci. Glob. Sustain. 2021, 7, 102–110. [Google Scholar]
- Kostic, D.A.; Dimitrijevic, D.S.; Mitic, S.S.; Stojanovic, G.S.; Zivanovic, A.V. Phenols from the methanolic extract of Miconia albicans (Sw.) Trian Leaves. Molecules 2013, 16, 9440–9450. [Google Scholar]
- Hamid, H.Y.; Zuki, A.B.Z.; Yimer, N.; Haron, A.W.; Noordin, M.M.; Goh, Y.M. Effects of elevated ambient temperature on embryo implantation in rats. Afr. J. Biotechnol. 2012, 11, 6624–6632. [Google Scholar]
- Wilson, R.D.; Islam, M.S. Fructose-fed streptozotocin-injected rat: An alternative model for type 2 diabetes. Pharmacol. Rep. 2012, 64, 129–139. [Google Scholar] [CrossRef] [PubMed]
- Friedewald, W.T.; Levy, R.I.; Fredrickson, D.S. Estimation of the concentration of low-density lipoprotein cholesterol in plasma, without use of the preparative ultracentrifuge. Clin. Chem. 1972, 18, 499–502. [Google Scholar] [CrossRef] [PubMed]
- Fawcett, J.K.; Scott, J.E. A Rapid and Precise Method for the Determination of Urea. J. Clin. Pathol. 1960, 13, 156–159. [Google Scholar] [CrossRef]
- Bonsnes, R.W.; Taussky, H.H. On Colorimetric Determination of Creatinine by the Jaffe Reaction. J. Biol. Chem. 1945, 158, 581–591. [Google Scholar] [CrossRef]
- Jansson, E.; Sylvén, C. Creatine kinase MB and citrate synthase in type I and type II muscle fibres in trained and untrained men. Eur. J. Appl. Physiol. Occup. Physiol. 1985, 54, 207–209. [Google Scholar] [CrossRef]
- Bernstein, L.H. Automated kinetic determination of lactate dehydrogenase isoenzymes in serum. Clin. Chem. 1977, 23, 1928–1930. [Google Scholar] [CrossRef]
- Krauss, R.M. Lipids and lipoproteins in patients with type 2 diabetes. Diabetes Care 2004, 27, 1496–1504. [Google Scholar] [CrossRef]
- Jeppesen, J.; Hein, H.O.; Suadicani, P.; Gyntelberg, F. Relation of high TG-low HDL cholesterol and LDL cholesterol to the incidence of ischemic heart disease: An 8-year follow-up in the Copenhagen Male Study. Arterioscler. Thromb. Vasc. Biol. 1997, 17, 1114–1120. [Google Scholar] [CrossRef]
- Bulut, T.; Demirel, F.; Metin, A. The prevalence of dyslipidemia and associated factors in children and adolescents with type 1 diabetes. J. Pediatr. Endocrinol. Metab. 2017, 30, 18. [Google Scholar] [CrossRef] [PubMed]
- Regan, T.J.; Lyons, M.M.; Ahmed, S.S.; Levinson, G.E.; Oldewurtel, H.A.; Ahmad, M.R.; Haider, B. Evidence for cardiomyopathy in familial diabetes mellitus. J. Clin Investig. 1977, 60, 884–899. [Google Scholar] [CrossRef] [PubMed]
- Chapman, M.J.; Ginsberg, H.N.; Amarenco, P.; Andreotti, F.; Borén, J.; Catapano, A.L.; Descamps, O.S.; Fisher, E.; Kovanen, P.T.; Kuivenhoven, J.A.; et al. Triglyceride-rich lipoproteins and high-density lipoprotein cholesterol in patients at high risk of cardiovascular disease: Evidence and guidance for management. Eur. Heart J. 2011, 32, 1345–1361. [Google Scholar] [CrossRef] [PubMed]
- Sun, L.; Halaihel, N.; Zhang, W.; Rogers, T.; Levi, M. Role of sterol regulatory element-binding protein 1 in regulation of renal lipid metabolism and glomerulosclerosis in diabetes mellitus. J. Biol. Chem. 2002, 277, 18919–18927. [Google Scholar] [CrossRef]
- Thongnak, L.; Pongchaidecha, A.; Lungkaphin, A. Renal Lipid Metabolism and Lipotoxicity in Diabetes. Am. J. Med. Sci. 2020, 359, 84–99. [Google Scholar] [CrossRef]
- Ritchie, R.H.; Zerenturk, E.J.; Prakoso, D.; Calkin, A.C. Lipid metabolism and its implications for type 1 diabetes-associated cardiomyopathy. J. Mol. Endocrinol. 2017, 58, 225–240. [Google Scholar] [CrossRef]
- Mahato, R.V.; Gyawali, P.; Raut, P.P.; Regmi, P.; Khelanand, P.S.; Dipendra, R.P.; Gyawali, P. Association between glycaemic control and serum lipid profile in type 2 diabetic patients: Glycated haemoglobin as a dual biomarker. Biomed. Res. 2011, 22, 375–380. [Google Scholar]
- Sharma, S.; Adrogue, J.V.; Golfman, L.; Uray, I.; Lemm, J.; Youker, K.; Noon, G.P.; Frazier, O.H.; Taegtmeyer, H. Intramyocardial lipid accumulation in the failing human heart resembles the lipotoxic rat heart. FASEB J. 2004, 18, 1692–1700. [Google Scholar] [CrossRef]
- Szczepaniak, L.S.; Dobbins, R.L.; Metzger, G.J.; Sartoni-D’Ambrosia, G.; Arbique, D.; Vongpatanasin, W.; Unger, R.; Victor, R.G. Myocardial triglycerides and systolic function in humans: In vivo evaluation by localized proton spectroscopy and cardiac imaging. Magn. Reson. Med. 2003, 49, 417–423. [Google Scholar] [CrossRef]
- Rubler, S.; Dlugash, J.; Yuceoglu, Y.Z.; Kumral, T.; Branwood, A.W.; Grishman, A. New type of cardiomyopathy associated with diabetic glomerulosclerosis. Am. J. Cardiol. 1972, 30, 595–602. [Google Scholar] [CrossRef]



| Plant Sample | Concentration (mgRE/mg FFMTSE) |
|---|---|
| Flavonoid-rich fraction of M. tenuifolia | 0.078 ± 0.001 |
Disclaimer/Publisher’s Note: The statements, opinions and data contained in all publications are solely those of the individual author(s) and contributor(s) and not of MDPI and/or the editor(s). MDPI and/or the editor(s) disclaim responsibility for any injury to people or property resulting from any ideas, methods, instructions or products referred to in the content. |
© 2023 by the authors. Licensee MDPI, Basel, Switzerland. This article is an open access article distributed under the terms and conditions of the Creative Commons Attribution (CC BY) license (https://creativecommons.org/licenses/by/4.0/).
Share and Cite
Nzekwe, S.; Morakinyo, A.; Ntwasa, M.; Oguntibeju, O.; Oyedapo, O.; Ayeleso, A. Influence of Flavonoid-Rich Fraction of Monodora tenuifolia Seed Extract on Blood Biochemical Parameters in Streptozotocin-Induced Diabetes Mellitus in Male Wistar Rats. Metabolites 2023, 13, 292. https://doi.org/10.3390/metabo13020292
Nzekwe S, Morakinyo A, Ntwasa M, Oguntibeju O, Oyedapo O, Ayeleso A. Influence of Flavonoid-Rich Fraction of Monodora tenuifolia Seed Extract on Blood Biochemical Parameters in Streptozotocin-Induced Diabetes Mellitus in Male Wistar Rats. Metabolites. 2023; 13(2):292. https://doi.org/10.3390/metabo13020292
Chicago/Turabian StyleNzekwe, Samuel, Adetoun Morakinyo, Monde Ntwasa, Oluwafemi Oguntibeju, Oluboade Oyedapo, and Ademola Ayeleso. 2023. "Influence of Flavonoid-Rich Fraction of Monodora tenuifolia Seed Extract on Blood Biochemical Parameters in Streptozotocin-Induced Diabetes Mellitus in Male Wistar Rats" Metabolites 13, no. 2: 292. https://doi.org/10.3390/metabo13020292
APA StyleNzekwe, S., Morakinyo, A., Ntwasa, M., Oguntibeju, O., Oyedapo, O., & Ayeleso, A. (2023). Influence of Flavonoid-Rich Fraction of Monodora tenuifolia Seed Extract on Blood Biochemical Parameters in Streptozotocin-Induced Diabetes Mellitus in Male Wistar Rats. Metabolites, 13(2), 292. https://doi.org/10.3390/metabo13020292

