Structural Identification of Zotarolimus (ABT-578) Metabolites Generated by Human Liver Microsomes Using Ion-Trap and High-Resolution Time-of-Flight Mass Spectrometry in Combination with the Analysis of Fragmentation Patterns
Abstract
:1. Introduction
2. Materials and Methods
2.1. Enzymes, Reagents, and Chemicals
2.2. Incubation of Zotarolimus with Pooled Human Liver Microsomes for the Generartion of Metabolites
2.3. Isolation of Zotarolimus Metabolites
2.4. Instrumentation
2.5. HPLC and Mass Spectrometry Conditions
2.6. Identification of Zotarolimus Metabolite Structures
2.7. Data Analysis
3. Results
3.1. HPLC-MS of Zotarolimus
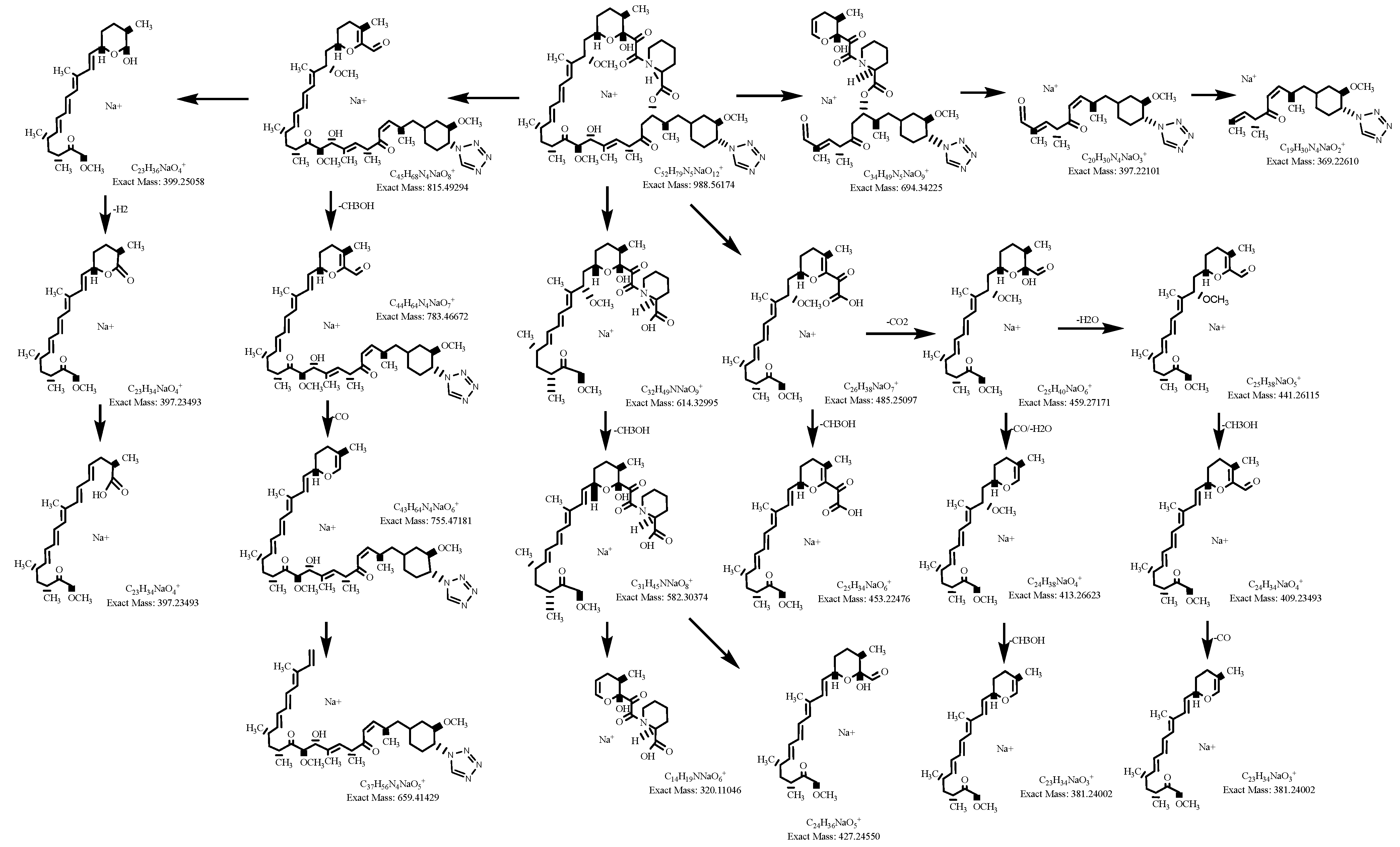
3.2. Intentification of Zotarolimus Fragments and Their Relationships
3.3. Metabolism of Zotarolimus by Human Liver Microsomes
3.4. Identification of the Structures of Zotarolimus Metabolites Generated by Human Liver Microsomes
3.4.1. Demethylated Zotarolimus Metabolites
3.4.2. 16-O-Desmethyl Zotarolimus
3.4.3. 27-O-Desmethyl Zotarolimus
3.4.4. 39-O-Desmethyl Zotarolimus
3.4.5. Hydroxylated Zotarolimus Metabolites
3.4.6. 45 and 46-Hydroxy Zotarolimus
3.4.7. 25-Hydroxy Zotarolimus
4. Discussion
5. Conclusions
Supplementary Materials
Author Contributions
Funding
Institutional Review Board Statement
Informed Consent Statement
Data Availability Statement
Conflicts of Interest
References
- Klawitter, J.; Nashan, B.; Christians, U. Everolimus and sirolimus in transplantation-related but different. Expert Opin. Drug Saf. 2015, 14, 1055–1070. [Google Scholar] [CrossRef] [PubMed]
- Burke, S.E.; Kuntz, R.E.; Schwartz, L.B. Zotarolimus (ABT-578) eluting stents. Adv. Drug Deliv. Rev. 2006, 58, 437–446. [Google Scholar] [CrossRef] [PubMed]
- Chen, Y.W.; Smith, M.L.; Sheets, M.; Ballaron, S.; Trevillyan, J.M.; Burke, S.E.; Rosenberg, T.; Henry, C.; Wagner, R.; Bauch, J.; et al. Zotarolimus, a novel sirolimus analogue with potent anti-proliferative activity on coronary smooth muscle cells and reduced potential for systemic immunosuppression. J. Cardiovasc. Pharmacol. 2007, 49, 228–235. [Google Scholar] [CrossRef] [PubMed]
- Waseda, K.; Ako, J.; Yamasaki, M.; Koizumi, T.; Sakurai, R.; Hongo, Y.; Koo, B.K.; Ormiston, J.; Worthley, S.G.; Whitbourn, R.J.; et al. Impact of polymer formulations on neointimal proliferation after zotarolimus-eluting stent with different polymers: Insights from the RESOLUTE trial. Circ. Cardiovasc. Interv. 2011, 4, 248–255. [Google Scholar] [CrossRef]
- Serruys, P.W.; Silber, S.; Garg, S.; van Geuns, R.J.; Richardt, G.; Buszman, P.E.; Kelbæk, H.; van Boven, A.J.; Hofma, S.H.; Linke, A.; et al. Comparison of zotarolimus-eluting and everolimus-eluting coronary stents. N. Engl. J. Med. 2010, 363, 136–146. [Google Scholar] [CrossRef]
- United States Food and Drug Administration. Medical Devices. Recently Approved Devices. Available online: https://www.fda.gov/medical-devices/recently-approved-devices/resolute-onyx-zotarolimus-eluting-coronary-stent-system-p160043s034 (accessed on 20 February 2023).
- Bundhun, P.K.; Yanamala, C.M.; Huang, W.Q. Comparing Stent Thrombosis associated with Zotarolimus Eluting Stents versus Everolimus Eluting Stents at 1 year follow up: A systematic review and meta-analysis of 6 randomized controlled trials. BMC Cardiovasc. Disord. 2017, 17, 84. [Google Scholar] [CrossRef]
- Yeh, R.W.; Silber, S.; Chen, L.; Chen, S.; Hiremath, S.; Neumann, F.J.; Qiao, S.; Saito, S.; Xu, B.; Yang, Y.; et al. 5-Year Safety and Efficacy of Resolute Zotarolimus-Eluting Stent: The RESOLUTE Global Clinical Trial Program. JACC Cardiovasc. Interv. 2017, 10, 247–254. [Google Scholar] [CrossRef]
- Kirtane, A.J.; Yeung, A.C.; Ball, M.; Carr, J.; O’Shaughnessy, C.; Mauri, L.; Liu, M.; Leon, M.B. Long-term (5-year) clinical evaluation of the Resolute zotarolimus-eluting coronary stent: The RESOLUTE US clinical trial. Catheter. Cardiovasc. Interv. 2020, 95, 1067–1073. [Google Scholar] [CrossRef]
- Ploumen, E.H.; Pinxterhuis, T.H.; Buiten, R.A.; Zocca, P.; Danse, P.W.; Schotborgh, C.E.; Scholte, M.; Gin, R.M.T.J.; Somi, S.; van Houwelingen, K.G.; et al. Final 5-Year report of the randomized BIO-RESORT Trial comparing 3 contemporary drug-eluting stents in all-comers. J. Am. Heart Assoc. 2022, 11, e026041. [Google Scholar] [CrossRef]
- Medtronic. Resolute Onyx™ Zotarolimus-Eluting Coronary Stent System. Rapid Exchange and Over-the-Wire Delivery Systems. Instructions for Use; Medtronic Inc.: Minneapolis, MN, USA, 2020. Available online: https://www.accessdata.fda.gov/cdrh_docs/pdf16/P160043S034C.pdf (accessed on 20 February 2023).
- Kolachalama, V.B.; Pacetti, S.D.; Franses, J.W.; Stankus, J.J.; Zhao, H.Q.; Shazly, T.; Nikanorov, A.; Schwartz, L.B.; Tzafriri, A.R.; Edelman, E.R. Mechanisms of tissue uptake and retention in zotarolimus-coated balloon therapy. Circulation 2013, 127, 2047–2055. [Google Scholar] [CrossRef]
- Boernsen, K.O.; Egge-Jacobsen, W.; Inverardi, B.; Strom, T.; Streit, F.; Schiebel, H.M.; Benet, L.Z.; Christians, U. Assessment and validation of the MS/MS fragmentation patterns of the macrolide immunosuppressant everolimus. J. Mass Spectrom. 2007, 42, 793–802. [Google Scholar] [CrossRef] [PubMed]
- Meyer, M.R.; Maurer, H.H. Current applications of high-resolution mass spectrometry in drug metabolism studies. Anal. Bioanal. Chem. 2012, 403, 1221–1231. [Google Scholar] [CrossRef] [PubMed]
- Wen, B. Mass Spectrometry in Drug Metabolism Research: Principles and Common Practice. In Handbook of Drug Metabolism, 3rd ed.; Pearson, P.G., Wienkers, L.C., Eds.; CRC Press, Taylor and Francis Group: Boca Raton, FL, USA, 2019. [Google Scholar]
- Shokati, T.; Hartmann, M.; Davari, B.; Klawitter, J.; Klawitter, J. Temsirolimus metabolic pathways revisited. Xenobiotica 2020, 506, 40–653. [Google Scholar] [CrossRef] [PubMed]
- Strom, T.; Shokati, T.; Klawitter, J.; Klawitter, J.; Hoffman, K.; Schiebel, H.M.; Christians, U. Structural identification of SAR-943 metabolites generated by human liver microsomes in vitro using mass spectrometry in combination with analysis of fragmentation patterns. J. Mass Spectrom. 2011, 46, 615–624. [Google Scholar] [CrossRef] [PubMed]
- Strom, T.; Haschke, M.; Zhang, Y.L.; Bendrick-Peart, J.; Boyd, J.; Roberts, M.; Arabshahi, L.; Marbach, P.; Christians, U. Everolimus metabolite patterns in the blood of kidney transplant patients. Ther. Drug Monit. 2007, 29, 592–599. [Google Scholar] [CrossRef]
- Streit, F.; Christians, U.; Schiebel, H.M.; Meyer, A.; Sewing, K.F. Structural identification of four metabolites of the macrolide immunosuppressant sirolimus after in vitro metabolism by electrospray-MS/MS. Drug Metab. Dispos. 1996, 24, 1272–1278. [Google Scholar]
- Morris, R.E. Rapamycins: Antifungal, antitumor, antiproliferative, and immunosuppressive macrolides. Transpl. Rev. 1992, 6, 39–87. [Google Scholar] [CrossRef]
- Lhoëst, G.J.J.; Gougnard, T.Y.R.; Verbeeck, R.K.; Maton, N.; Dehoux, J.P.; Wallemacq, P.; Schüler, W.; Latinne, D. Isolation from pig liver microsomes, identification by tandem mass spectrometry and in vitro immunosuppressive activity of an SDZ-RAD 17,18,19,20,21,22-tris-epoxide. J. Mass Spectrom. 2000, 35, 454–460. [Google Scholar] [CrossRef]
- Hallensleben, K.; Raida, M.; Habermehl, G. Identification of a new metabolite of macrolide immunosuppressants, like sirolimus and SDZ-RAD, using high-performance liquid chromatography and electrospray tandem mass spectrometry. J. Am. Soc. Mass Spectrom. 2000, 11, 516–525. [Google Scholar] [CrossRef]
- Jacobsen, W.; Serkova, N.; Hausen, B.; Morris, R.E.; Benet, L.Z.; Christians, U. Comparison of the in vitro metabolism of the immunosuppressants sirolimus and RAD. Transpl. Proc. 2001, 33, 514–515. [Google Scholar] [CrossRef]
- Vidal, C.; Kirchner, G.I.; Sewing, K.F. Structural elucidation by electrospray mass spectrometry: An approach to the in vitro metabolism of the macrolide immunosuppressant SDZ RAD. J. Am. Soc. Mass Spectrom. 1998, 9, 1267–1274. [Google Scholar] [CrossRef] [PubMed]
- Filler, G.; Bendrick-Peart, J.; Strom, T.; Zhang, Y.L.; Johnson, G.; Christians, U. Characterization of sirolimus metabolites in pediatric solid organ transplant recipients. Pediatr. Transplant. 2009, 13, 44–53. [Google Scholar] [CrossRef] [PubMed]
- Ostojic, M.C.; Perisic, Z.; Sagic, D.; Jung, R.; Zhang, Y.L.; Bendrick-Peart, J.; Betts, R.; Christians, U.; Stealth PK Investigators. The pharmacokinetics of Biolimus A9 after elution from the BioMatrix II stent in patients with coronary artery disease: The Stealth PK Study. Eur. J. Clin. Pharmacol. 2011, 67, 389–398. [Google Scholar] [CrossRef] [PubMed]
- Demola, P.; Meucci, F.; Stolcova, M.; Mario, C.D.; Mattesini, A. The DESolve® novolimus bioresorbable scaffold. Future Cardiol. 2021, 17, 945–951. [Google Scholar] [CrossRef] [PubMed]








| Fragment No. | Theoretical Mass | Measured Mass | Δppm |
|---|---|---|---|
| 1 | 320.11046 | 320.11010 | 1.1 |
| 2 | 369.22610 | 369.22591 | 0.5 |
| 3 | 381.24002 | 381.23933 | 1.8 |
| 4 | 397.23493 | 397.23385 | 2.7 |
| 5 | 409.23493 | 409.23420 | 1.8 |
| 6 | 427.24550 | 427.24491 | 1.4 |
| 7 | 441.26115 | 441.26030 | 1.9 |
| 8 | 453.22476 | 453.22390 | 1.9 |
| 9 | 582.30374 | 582.30270 | 1.8 |
| 10 | 614.32995 | 614.32890 | 1.7 |
| 11 | 659.41429 | 659.41310 | 1.8 |
| 12 | 694.34225 | 694.34140 (low intensity) | 1.2 |
| 13 | 783.46672 | 783.46540 (low intensity) | 1.7 |
| 14 | 815.49294 | 815.49190 (low intensity) | 1.3 |
| 15 | 988.56174 | 988.56003 | 1.7 |
| Desmethyl Metabolites | Exact Mass | |
|---|---|---|
| 1 | 16-O-Desmethyl Zotarolimus | 974.54609 |
| 2 | 27-O-Desmethyl Zotarolimus | |
| 3 | 39-O-Desmethyl Zotarolimus | |
| Di-Desmethyl Metabolites | ||
| 4 | 16, 39-O-Didesmethyl Zotarolimus | 960.53044 |
| 5 | 27, 39-O-Didesmethyl Zotarolimus | |
| 6 | 16, 27-O-Didesmethyl Zotarolimus | |
| Hydroxy Metabolites | ||
| 7 | 45 and 46-Hydroxy Zotarolimus | 1004.55666 |
| 8 | 24-Hydroxy Zotarolimus | |
| 9 | 11-Hydroxy Zotarolimus | |
| 10 | 12-HydroxyZotarolimus | |
| 11 | 25-Hydroxy Zotarolimus | |
| 12 | 3/4/5/6 Hydroxy-piperidine Zotarolimus | |
| 13 | 23-Hydroxy Zotarolimus | |
| 14 | 14-Hydroxy Zotarolimus | |
| 15 | 49-Hydroxy Zotarolimus | |
| Hydroxy, Desmethyl Metabolites | ||
| 16 | 23/24-hydroxy, 16-O-desmethyl Zotarolimus | 990.54101 |
| 17 | 23/24-hydroxy, 39-O-desmethyl Zotarolimus | |
| 18 | 25-hydroxy, 39-O-desmethyl Zotarolimus | |
| 19 | 11-hydroxy, 39-O-desmethyl Zotarolimus | |
| 20 | Hydroxy-piperidine, 39-O-desmethyl Zotarolimus | |
| 21 | 45/46-hydroxy, 27-O-desmethyl Zotarolimus | |
| Di-Hydroxy Metabolites | ||
| 22 | 11,24-Dihydroxy Zotarolimus | 1020.55157 |
| 23 | 12,24-Dihydroxy Zotarolimus | |
| 24 | 11,47/48-Dihydroxy Zotarolimus |
Disclaimer/Publisher’s Note: The statements, opinions and data contained in all publications are solely those of the individual author(s) and contributor(s) and not of MDPI and/or the editor(s). MDPI and/or the editor(s) disclaim responsibility for any injury to people or property resulting from any ideas, methods, instructions or products referred to in the content. |
© 2023 by the authors. Licensee MDPI, Basel, Switzerland. This article is an open access article distributed under the terms and conditions of the Creative Commons Attribution (CC BY) license (https://creativecommons.org/licenses/by/4.0/).
Share and Cite
Shokati, T.; Drake, S.H.; Zhao, W.; Klawitter, J.; Klawitter, J.; Christians, U. Structural Identification of Zotarolimus (ABT-578) Metabolites Generated by Human Liver Microsomes Using Ion-Trap and High-Resolution Time-of-Flight Mass Spectrometry in Combination with the Analysis of Fragmentation Patterns. Metabolites 2023, 13, 1093. https://doi.org/10.3390/metabo13101093
Shokati T, Drake SH, Zhao W, Klawitter J, Klawitter J, Christians U. Structural Identification of Zotarolimus (ABT-578) Metabolites Generated by Human Liver Microsomes Using Ion-Trap and High-Resolution Time-of-Flight Mass Spectrometry in Combination with the Analysis of Fragmentation Patterns. Metabolites. 2023; 13(10):1093. https://doi.org/10.3390/metabo13101093
Chicago/Turabian StyleShokati, Touraj, Seth H. Drake, Wanzhu Zhao, Jost Klawitter, Jelena Klawitter, and Uwe Christians. 2023. "Structural Identification of Zotarolimus (ABT-578) Metabolites Generated by Human Liver Microsomes Using Ion-Trap and High-Resolution Time-of-Flight Mass Spectrometry in Combination with the Analysis of Fragmentation Patterns" Metabolites 13, no. 10: 1093. https://doi.org/10.3390/metabo13101093
APA StyleShokati, T., Drake, S. H., Zhao, W., Klawitter, J., Klawitter, J., & Christians, U. (2023). Structural Identification of Zotarolimus (ABT-578) Metabolites Generated by Human Liver Microsomes Using Ion-Trap and High-Resolution Time-of-Flight Mass Spectrometry in Combination with the Analysis of Fragmentation Patterns. Metabolites, 13(10), 1093. https://doi.org/10.3390/metabo13101093

