Emersion and Relative Humidity Modulate Stress Response and Recovery Dynamics in Juvenile Mussels (Perna canaliculus)
Abstract
1. Introduction
2. Results
2.1. Emersion Conditions
2.2. Water Content
2.3. Mortality Estimates: Observations and Staining
2.4. Oxidative Damage
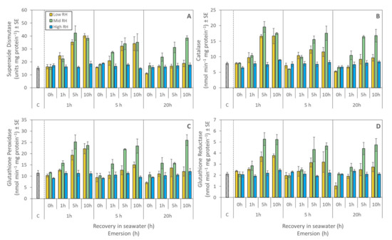
2.5. Enzymatic Antioxidants
3. Discussion
4. Materials and Methods
4.1. Experimental Design
4.2. Water Content and Mortality Estimates
4.3. Oxidative Damage
4.3.1. Macromolecule Extraction
4.3.2. Enzymatic Antioxidants
4.4. Statistical Analyses
Supplementary Materials
Author Contributions
Funding
Institutional Review Board Statement
Informed Consent Statement
Data Availability Statement
Acknowledgments
Conflicts of Interest
References
- Tomanek, L.; Helmuth, B. Physiological ecology of rocky intertidal organisms: A synergy of concepts. Integr. Comp. Biol. 2002, 42, 771–775. [Google Scholar] [CrossRef] [PubMed]
- Helmuth, B.S.; Hofmann, G.E. Microhabitats, thermal heterogeneity, and patterns of physiological stress in the rocky intertidal zone. Biol. Bull. 2001, 201, 374–384. [Google Scholar] [CrossRef] [PubMed]
- Nicastro, K.R.; Zardi, G.I.; McQuaid, C.D.; Stephens, L.; Radloff, S.; Blatch, G.L. The role of gaping behaviour in habitat partitioning between coexisting intertidal mussels. BMC Ecol. 2010, 10, 17. [Google Scholar] [CrossRef] [PubMed]
- Nicastro, K.R.; Zardi, G.I.; McQuaid, C.D.; Pearson, G.A.; Serrão, E.A. Love thy neighbour: Group properties of gaping behaviour in mussel aggregations. PLoS ONE 2012, 7, e47382. [Google Scholar] [CrossRef] [PubMed]
- Chandurvelan, R.; Marsden, I.D.; Gaw, S.; Glover, C.N. Field-to-laboratory transport protocol impacts subsequent physiological biomarker response in the marine mussel, Perna canaliculus. Comp. Biochem. Physiol. Part A 2013, 164, 84–90. [Google Scholar] [CrossRef]
- Zamora, L.N.; Ragg, N.L.C.; Hilton, Z.; Webb, S.C.; King, N.; Adams, S. Emersion survival manipulation in Greenshell™ mussels (Perna canaliculus): Implications for the extension of live mussels’ shelf-life. Aquaculture 2019, 500, 597–606. [Google Scholar] [CrossRef]
- Dowd, W.W.; Somero, G.N. Behavior and survival of Mytilus congeners following episodes of elevated body temperature in air and seawater. J. Exp. Biol. 2013, 216, 502–514. [Google Scholar] [CrossRef]
- Sukhotin, A.A.; Pörtner, H.O. Habitat as a factor involved in the physiological response to environmental anaerobiosis of White Sea Mytilus edulis. Mar. Ecol. Prog. Ser. 1999, 184, 149–160. [Google Scholar] [CrossRef][Green Version]
- Fernández-Reiriz, M.J.; Irisarri, J.; Labarta, U. Flexibility of physiological traits underlying inter-individual growth differences in intertidal and subtidal mussels Mytilus galloprovincialis. PLoS ONE 2016, 11, e0148245. [Google Scholar] [CrossRef] [PubMed]
- Connor, K.M.; Gracey, A.Y. High-resolution analysis of metabolic cycles in the intertidal mussel Mytilus californianus. Am. J. Physiol. Regul. Integr. Comp. Physiol. 2012, 302, R103–R111. [Google Scholar] [CrossRef] [PubMed]
- Hochachka, P.W.; Somero, G.N. Biochemical Adaptation: Mechanism and Process in Physiological Evolution; Oxford University Press: New York, NY, USA, 2002; p. 478. [Google Scholar]
- Storey, K.B.; Storey, J.B. Oxygen limitation and metabolic rate depression. In Functional Metabolism: Regulation and Adaptation; Storey, K.B., Ed.; John Wiley & Sons: Hoboken, NJ, USA, 2005; pp. 415–442. [Google Scholar]
- Fields, P.A.; Eurich, C.; Gao, W.L.; Cela, B. Changes in protein expression in the salt marsh mussel Geukensia demissa: Evidence for a shift from anaerobic to aerobic metabolism during prolonged aerial exposure. J. Exp. Biol. 2014, 217, 1601–1612. [Google Scholar] [CrossRef] [PubMed]
- Halliwell, B. Reactive species and antioxidants. Redox biology is a fundamental theme of aerobic life. Plant Physiol. 2006, 141, 312–322. [Google Scholar] [CrossRef] [PubMed]
- Berg, J.M.; Tymoczko, J.L.; Gatto, G.J.; Stryer, L. Biochemistry, 9th ed.; W.H. Freeman and Company: New York, NY, USA, 2019. [Google Scholar]
- Lewis, C.; Santos, E.M. Physiological impacts of chemical pollutants in marine animals. In Stressors in the Marine Environment; Solan, M., Whiteley, N.M., Eds.; Oxford University Press: Oxford, UK, 2016; pp. 73–92. [Google Scholar]
- Lesser, M.P. Oxidative stress in marine environments: Biochemistry and physiological ecology. Annu. Rev. Physiol. 2006, 68, 253–278. [Google Scholar] [CrossRef]
- Jimenez, A.G.; Alves, S.; Dallmer, J.; Njoo, E.; Roa, S.; Dowd, W.W. Acclimation to elevated emersion temperature has no effect on susceptibility to acute, heat-induced lipid peroxidation in an intertidal mussel (Mytilus californianus). Mar. Biol. 2016, 163, 55. [Google Scholar] [CrossRef]
- Shick, J.M.; Gnaiger, E.; Widdows, J.; Bayne, B.L.; Zwaan, A.D. Activity and metabolism in the mussel Mytilus edulis L. during intertidal hypoxia and aerobic recovery. Physiol. Zool. 1986, 59, 627–642. [Google Scholar] [CrossRef]
- Rivera-Ingraham, G.A.; Rocchetta, I.; Meyer, S.; Abele, D. Oxygen radical formation in anoxic transgression and anoxia-reoxygenation: Foe or phantom? Experiments with a hypoxia tolerant bivalve. Mar. Environ. Res. 2013, 92, 110–119. [Google Scholar] [CrossRef]
- Almeida, E.A.; Bainy, A.C.D.; Dafre, A.L.; Gomes, O.F.; Medeiros, M.H.G.; Di Mascio, P. Oxidative stress in digestive gland and gill of the brown mussel (Perna perna) exposed to air and re-submersed. J. Exp. Mar. Biol. Ecol. 2005, 318, 21–30. [Google Scholar] [CrossRef]
- Giannetto, A.; Maisano, M.; Cappello, T.; Oliva, S.; Parrino, V.; Natalotto, A.; De Marco, G.; Fasulo, S. Effects of oxygen availability on oxidative stress biomarkers in the mediterranean mussel Mytilus galloprovincialis. Mar. Biotechnol. 2017, 19, 614–626. [Google Scholar] [CrossRef]
- Falfushynska, H.; Piontkivska, H.; Sokolova, I.M. Effects of intermittent hypoxia on cell survival and inflammatory responses in the intertidal marine bivalves Mytilus edulis and Crassostrea gigas. J. Exp. Biol. 2020, 223, jeb217026. [Google Scholar] [CrossRef]
- Calderwood, J.; O’Connor, N.E.; Sigwart, J.D.; Roberts, D. Determining optimal duration of seed translocation periods for benthic mussel (Mytilus edulis) cultivation using physiological and behavioural measures of stress. Aquaculture 2014, 434, 288–295. [Google Scholar] [CrossRef]
- Jenewein, B.T.; Gosselin, L.A. Ontogenetic shift in stress tolerance thresholds of Mytilus trossulus: Effects of desiccation and heat on juvenile mortality. Mar. Ecol. Prog. Ser. 2013, 481, 147–159. [Google Scholar] [CrossRef]
- Alfaro, A.; Jeffs, A. Small-scale mussel settlement patterns within morphologically distinct substrata at Ninety Mile Beach, northern New Zealand. Malacologia 2002, 44, 1–15. [Google Scholar]
- Bayne, B.L. Primary and secondary settlement in Mytilus edulis L. (Mollusca). J. Anim. Ecol. 1964, 33, 513–523. [Google Scholar] [CrossRef]
- South, P.M.; Quirino, M.N.; LaDiega, C.; Delorme, N.J. Emersion and relative humidity control resettlement success of juvenile marine mussels. Aquaculture 2020, 529, 735675. [Google Scholar] [CrossRef]
- Jeffs, A.G.; Delorme, N.J.; Stanley, J.; Zamora, L.N.; Sim-Smith, C. Composition of beachcast material containing green-lipped mussel (Perna canaliculus) seed harvested for aquaculture in New Zealand. Aquaculture 2018, 488, 30–38. [Google Scholar] [CrossRef]
- Stenton-Dozey, J.M.E.; Heath, P.; Ren, J.S.; Zamora, L.N. New Zealand aquaculture industry: Research, opportunities and constraints for integrative multitrophic farming. N. Z. J. Mar. Freshw. Res. 2020, 55, 1–21. [Google Scholar] [CrossRef]
- South, P.M.; Floerl, O.; Jeffs, A.G. The role of biofouling development in the loss of seed mussels in aquaculture. Biofouling 2019, 35, 259–272. [Google Scholar] [CrossRef]
- Delorme, N.J.; Biessy, L.; South, P.M.; Zamora, L.N.; Ragg, N.L.C.; Burritt, D.J. Stress-on-stress responses of a marine mussel (Perna canaliculus): Food limitation reduces the ability to cope with heat stress in juveniles. Mar. Ecol. Prog. Ser. 2020, 644, 105–117. [Google Scholar] [CrossRef]
- Delorme, N.J.; Ragg, N.L.C.; Buritt, D.J. Stress and health in New Zealand’s number one aquaculture export—The Greenshell™ mussel. World Aquac. 2019, 50, 46–49. [Google Scholar]
- Delorme, N.J.; Venter, L.; Rolton, A.; Ericson, J.A. Integrating animal health and stress assessment tools using the green-lipped mussel Perna canaliculus as a case study. J. Shellfish Res. 2021, 40, 93–112. [Google Scholar] [CrossRef]
- Menge, B.A.; Daley, B.A.; Sanford, E.; Dahlhoff, E.P.; Lubchenco, J. Mussel zonation in New Zealand: An integrative eco-physiological approach. Mar. Ecol. Prog. Ser. 2007, 345, 129–140. [Google Scholar] [CrossRef]
- Alfaro, A.C.; McArdle, B.; Jeffs, A.G. Temporal patterns of arrival of beachcast green-lipped mussel (Perna canaliculus) spat harvested for aquaculture in New Zealand and its relationship with hydrodynamic and meteorological conditions. Aquaculture 2010, 302, 208–218. [Google Scholar] [CrossRef]
- Dunphy, B.J.; Ruggiero, K.; Zamora, L.N.; Ragg, N.L.C. Metabolomic analysis of heat-hardening in adult green-lipped mussel (Perna canaliculus): A key role for succinic acid and the GABAergic synapse pathway. J. Therm. Biol. 2018, 74, 37–46. [Google Scholar] [CrossRef] [PubMed]
- Powell, J.A.; Ragg, N.L.C.; Dunphy, B.J. Phenotypic biomarkers in selectively-bred families of the Greenshell™ mussel (Perna canaliculus): Anaerobic enzyme and shell gape behaviour as biomarkers of prolonged emersion tolerance. Aquaculture 2017, 479, 601–608. [Google Scholar] [CrossRef]
- Webb, S.C.; Heasman, K.G. Evaluation of fast green uptake as a simple fitness test for spat of Perna canaliculus (Gmelin, 1791). Aquaculture 2006, 252, 305–316. [Google Scholar] [CrossRef]
- Nguyen, T.V.; Ragg, N.L.C.; Alfaro, A.C.; Zamora, L.N. Physiological stress associated with mechanical harvesting and transport of cultured mussels (Perna canaliculus): A metabolomics approach. Aquaculture 2020, 529, 735657. [Google Scholar] [CrossRef]
- Marsden, I.D.; Weatherhead, M.A. Effects of aerial exposure on oxygen consumption by the New Zealand mussel Perna canaliculus (Gmelin, 1791) from an intertidal habitat. J. Exp. Mar. Biol. Ecol. 1998, 230, 15–29. [Google Scholar] [CrossRef]
- Hermes-Lima, M.; Moreira, D.C.; Rivera-Ingraham, G.A.; Giraud-Billoud, M.; Genaro-Mattos, T.C.; Campos, É.G. Preparation for oxidative stress under hypoxia and metabolic depression: Revisiting the proposal two decades later. Free Radic. Biol. Med. 2015, 89, 1122–1143. [Google Scholar] [CrossRef]
- Freire, C.A.; Welker, A.F.; Storey, J.M.; Storey, K.B.; Hermes-Lima, M. Oxidative stress in estuarine and intertidal environments (temperate and tropical). In Oxidative Stress in Aquatic Ecosystems; Abele, D., Vázquez-Medina, J.P., Zenteno-Savín, T., Eds.; Wiley-Blackwell: Chichester, UK, 2012; pp. 41–57. [Google Scholar]
- Moreira, D.C.; Venancio, L.P.R.; Sabino, M.A.C.T.; Hermes-Lima, M. How widespread is preparation for oxidative stress in the animal kingdom? Comp. Biochem. Physiol. Part A 2016, 200, 64–78. [Google Scholar] [CrossRef]
- Philipp, E.E.R.; Lipinski, S.; Rast, J.; Rosenstiel, P. Immune defense of marine invertebrates: The role of reactive oxygen and nitrogen species. In Oxidative Stress in Aquatic Ecosystems; Abele, D., Vázquez-Medina, J.P., Zenteno-Savín, T., Eds.; Wiley-Blackwell: Chichester, UK; Malden, MA, USA, 2012; pp. 236–246. [Google Scholar]
- Cubillos, V.; Chaparro, O.; Segura, C.; Montory, J.; Cruces, E.; Burritt, D. Isolation-hypoxia and re-oxygenation of the pallial cavity of female Crepipatella dilatata during estuarine salinity changes requires increased glyoxylase activity and antioxidant metabolism to avoid oxidative damage to female tissues and developing embryos. Mar. Environ. Res. 2016, 119, 59–71. [Google Scholar]
- Ivanina, A.V.; Sokolova, I.M. Effects of intermittent hypoxia on oxidative stress and protein degradation in molluscan mitochondria. J. Exp. Biol. 2016, 219, 3794–3802. [Google Scholar] [CrossRef] [PubMed]
- Nogueira, L.; Mello, D.F.; Trevisan, R.; Garcia, D.; da Silva Acosta, D.; Dafre, A.L.; de Almeida, E.A. Hypoxia effects on oxidative stress and immunocompetence biomarkers in the mussel Perna perna (Mytilidae, Bivalvia). Mar. Environ. Res. 2017, 126, 109–115. [Google Scholar] [CrossRef]
- Duan, Y.; Zhang, J.; Dong, H.; Wang, Y.; Liu, Q.; Li, H. Effect of desiccation and resubmersion on the oxidative stress response of the kuruma shrimp Marsupenaeus japonicus. Fish Shellfish. Immunol. 2016, 49, 91–99. [Google Scholar] [CrossRef] [PubMed]
- Hou, S.; Jin, Z.; Jiang, W.; Chi, L.; Xia, B.; Chen, J. Physiological and immunological responses of sea cucumber Apostichopus japonicus during desiccation and subsequent resubmersion. PeerJ 2019, 7, e7427. [Google Scholar] [CrossRef] [PubMed]
- Schvezov, N.; Lovrich, G.A.; Romero, M.C. Oxidatide stress during re-immersion of the king crab Lithodes santolla (Molina, 1782) (Decapoda: Anomura: Lithodidae) after air exposure. J. Crustacean Biol. 2017, 37, 195–203. [Google Scholar] [CrossRef]
- Heasman, K. Temperature and Humidity of Kaitaia Weed during Harvesting, Storage and Transport and Suggested Influences on Spat Viability. Prepared for Marine Farmers Association; Cawthron Report No. 2428; Cawthron Institute: Nelson, New Zealand, 2013; p. 18. [Google Scholar]
- South, P.M.; Delorme, N.J.; Skelton, B.M.; Floerl, O.; Jeffs, A.G. The loss of seed mussels in longline aquaculture. Rev. Aquac. 2021. [Google Scholar] [CrossRef]
- South, P.M.; Floerl, O.; Jeffs, A.G. Magnitude and timing of seed losses in mussel (Perna canaliculus) aquaculture. Aquaculture 2020, 515, 734528. [Google Scholar] [CrossRef]
- Hayden, B.J.; Woods, C.M.C. Effect of water velocity on growth and retention of cultured Greenshell™ mussel spat, Perna canaliculus (Gmelin, 1791). Aquac. Int. 2011, 19, 957–971. [Google Scholar] [CrossRef]
- Skelton, B.M.; Jeffs, A.G. The loss of spat following seeding onto coastal Greenshell™ mussel (Perna canaliculus) farms. Aquaculture 2021, 544, 737115. [Google Scholar] [CrossRef]
- Sorte, C.J.; Bernatchez, G.; Mislan, K.; Pandori, L.L.; Silbiger, N.J.; Wallingford, P.D. Thermal tolerance limits as indicators of current and future intertidal zonation patterns in a diverse mussel guild. Mar. Biol. 2019, 166, 1–13. [Google Scholar] [CrossRef]
- Dunphy, B.J.; Ragg, N.L.C.; Collings, M.G. Latitudinal comparison of thermotolerance and HSP70 production in F2 larvae of the greenshell mussel (Perna canaliculus). J. Exp. Biol. 2013, 216, 1202–1209. [Google Scholar] [CrossRef]
- Salinger, M.J.; Diamond, H.J.; Behrens, E.; Fernandez, D.; Fitzharris, B.B.; Herold, N.; Johnstone, P.; Kerckhoffs, H.; Mullan, A.B.; Parker, A.K. Unparalleled coupled ocean-atmosphere summer heatwaves in the New Zealand region: Drivers, mechanisms and impacts. Clim. Chang. 2020, 162, 485–506. [Google Scholar] [CrossRef]
- Fryer, H.J.L.; Davis, G.E.; Manthorpe, M.; Varon, S. Lowry protein assay using an automatic microtiter plate spectrophotometer. Anal. Biochem. 1986, 153, 262–266. [Google Scholar] [CrossRef]
- Reznick, A.Z.; Packer, L. Oxidative damage to proteins: Spectrophotometric method for carbonyl assay. Methods Enzymol. 1994, 233, 357–363. [Google Scholar]
- Mihaljevic, B.; Katusin-Razem, B.; Razem, D. The reevaluation of the ferric thiocyanate assay for lipid hydroperoxides with special considerations of the mechanistic aspects of the response. Free Radic. Biol. Med. 1996, 21, 53–63. [Google Scholar] [CrossRef]
- Maral, J.; Puget, K.; Michelson, A.M. Comparative study of superoxide dismutase, catalase and glutathione peroxidase levels in erythrocytes of different animals. Biochem. Biophys. Res. Commun. 1977, 77, 1525–1535. [Google Scholar] [CrossRef]
- Janssens, B.J.; Childress, J.J.; Baguet, F.; Rees, J.F. Reduced enzymatic antioxidative defense in deep-sea fish. J. Exp. Biol. 2000, 203, 3717–3725. [Google Scholar] [CrossRef] [PubMed]
- Paglia, D.E.; Valentine, W.N. Studies on the quantitative and qualitative characterization of erythrocyte glutathione peroxidase. J. Lab. Clin. Med. 1967, 70, 158–169. [Google Scholar]
- Cribb, A.E.; Leeder, J.S.; Spielberg, S.P. Use of a microplate reader in an assay of glutathione reductase using 5,5′-dithiobis(2-nitrobenzoic acid). Anal. Biochem. 1989, 183, 195–196. [Google Scholar] [CrossRef]
- Quinn, G.P.; Keough, M.J. Experimental Design and Data Analysis for Biologists; Cambridge University Press: Cambridge, UK, 2002. [Google Scholar]
- Underwood, A.J. Experiments in Ecology: Their Logical Design and Interpretation Using Analysis of Variance; Cambridge University Press: Cambridge, UK, 1996. [Google Scholar]






| Water Content | df | MS | F | p |
| Relative Humidity (RH) | 2 | 0.565 | 32.785 | <0.001 |
| Emersion time (E) | 2 | 0.276 | 16.023 | <0.001 |
| RH × E | 4 | 0.077 | 4.515 | 0.011 |
| Residual | 18 | 0.017 | ||
| Estimated Mortality | df | MS | F | p |
| Relative Humidity (RH) | 2 | 4.436 | 422.941 | <0.001 |
| Emersion time (E) | 2 | 7.987 | 761.58 | <0.001 |
| RH × E | 6 | 1.663 | 158.529 | <0.001 |
| Residual (between-effects) | 36 | 0.01 | ||
| Recovery time (R) | 2 | 0.776 | 159.186 | <0.001 |
| RH × R | 4 | 1.662 | 30.832 | <0.001 |
| R × E | 4 | 0.15 | 35.811 | <0.001 |
| RH × R × E | 8 | 0.061 | 12.422 | <0.001 |
| Residual (within-effects) | 72 | 0.005 | ||
| Staining | df | MS | F | p |
| Relative Humidity (RH) | 2 | 2.142 | 246.423 | <0.001 |
| Emersion time (E) | 2 | 1.454 | 167.251 | <0.001 |
| RH × E | 4 | 0.209 | 24.026 | <0.001 |
| Residual | 36 | 0.009 |
| Protein Carbonyls (PCs) | df | MS | F | p |
| Relative Humidity (RH) | 2 | 1.8−2 | 86.5 | <0.001 |
| Emersion time (E) | 2 | 1.4−2 | 68.2 | <0.001 |
| Recovery time (R) | 3 | 3.4−3 | 16.6 | <0.001 |
| RH × E | 4 | 1.9−3 | 9.2 | <0.001 |
| RH × R | 6 | 1.8−4 | 0.8 | 0.541 |
| E × R | 6 | 3.5−4 | 1.7 | 0.137 |
| RH × E × R | 12 | 7.3−4 | 3.5 | <0.001 |
| Residual | 72 | 2.1−4 | ||
| Lipid Hydroperoxides (LPs) | df | MS | F | p |
| Relative Humidity (RH) | 2 | 2026.9 | 87.2 | <0.001 |
| Emersion time (E) | 2 | 2281 | 98.1 | <0.001 |
| Recovery time (R) | 3 | 1371.2 | 59 | <0.001 |
| RH × E | 4 | 521.8 | 22.4 | <0.001 |
| RH × R | 6 | 151.4 | 6.5 | <0.001 |
| E × R | 6 | 175 | 7.5 | <0.001 |
| RH × E × R | 12 | 62.4 | 2.7 | 0.005 |
| Residual | 72 | 23.3 | ||
| DNA Damage (8-OHdG) | df | MS | F | p |
| Relative Humidity (RH) | 2 | 4206.1 | 125.8 | <0.001 |
| Emersion time (E) | 2 | 6239.2 | 186.6 | <0.001 |
| Recovery time (R) | 3 | 1055.1 | 31.6 | <0.001 |
| RH × E | 4 | 2001.9 | 59.9 | <0.001 |
| RH × R | 6 | 277.5 | 8.3 | <0.001 |
| E × R | 6 | 80.1 | 2.4 | 0.036 |
| RH × E × R | 12 | 198.6 | 5.9 | <0.001 |
| Residual | 72 | 33.5 |
| Superoxide Dismutase (SOD) | df | MS | F | p |
| Relative Humidity (RH) | 2 | 1260.5 | 62.2 | <0.001 |
| Emersion time (E) | 2 | 262.4 | 12.9 | <0.001 |
| Recovery time (R) | 3 | 873.7 | 43.1 | <0.001 |
| RH × E | 4 | 161.5 | 8 | <0.001 |
| RH × R | 6 | 232.8 | 11.5 | <0.001 |
| E × R | 6 | 36.2 | 1.8 | 0.115 |
| RH × E × R | 12 | 31.7 | 1.6 | 0.123 |
| Residual | 72 | 20.3 | ||
| Catalase (CAT) | df | MS | F | p |
| Relative Humidity (RH) | 2 | 243.5 | 72.7 | <0.001 |
| Emersion time (E) | 2 | 41 | 12.2 | <0.001 |
| Recovery time (R) | 3 | 223.8 | 66.8 | <0.001 |
| RH × E | 4 | 21.6 | 6.4 | <0.001 |
| RH × R | 6 | 49.6 | 14.8 | <0.001 |
| E × R | 6 | 4.5 | 1.4 | 0.248 |
| RH × E × R | 12 | 3.2 | 1 | 0.487 |
| Residual | 72 | 3.4 | ||
| Glutathione Peroxidase (GPx) | df | MS | F | p |
| Relative Humidity (RH) | 2 | 521 | 66.4 | <0.001 |
| Emersion time (E) | 2 | 61.6 | 7.9 | <0.001 |
| Recovery time (R) | 3 | 308.2 | 39.3 | <0.001 |
| RH × E | 4 | 21.9 | 2.8 | 0.033 |
| RH × R | 6 | 62.2 | 8 | <0.001 |
| E × R | 6 | 10.7 | 1.4 | 0.239 |
| RH F E × R | 12 | 13.1 | 1.7 | 0.092 |
| Residual | 72 | 7.8 | ||
| Glutathione Reductase (GR) | df | MS | F | p |
| Relative Humidity (RH) | 2 | 18.9 | 42.5 | <0.001 |
| Emersion time (E) | 2 | 2 | 4.5 | 0.015 |
| Recovery time (R) | 3 | 13.2 | 29.8 | <0.001 |
| RH × E | 4 | 1 | 2.3 | 0.067 |
| RH × R | 6 | 4.4 | 9.8 | <0.001 |
| E × R | 6 | 0.2 | 0.5 | 0.811 |
| RH × E × R | 12 | 0.1 | 0.1 | 1 |
| Residual | 72 | 0.5 |
Publisher’s Note: MDPI stays neutral with regard to jurisdictional claims in published maps and institutional affiliations. |
© 2021 by the authors. Licensee MDPI, Basel, Switzerland. This article is an open access article distributed under the terms and conditions of the Creative Commons Attribution (CC BY) license (https://creativecommons.org/licenses/by/4.0/).
Share and Cite
Delorme, N.J.; Burritt, D.J.; Ragg, N.L.C.; South, P.M. Emersion and Relative Humidity Modulate Stress Response and Recovery Dynamics in Juvenile Mussels (Perna canaliculus). Metabolites 2021, 11, 580. https://doi.org/10.3390/metabo11090580
Delorme NJ, Burritt DJ, Ragg NLC, South PM. Emersion and Relative Humidity Modulate Stress Response and Recovery Dynamics in Juvenile Mussels (Perna canaliculus). Metabolites. 2021; 11(9):580. https://doi.org/10.3390/metabo11090580
Chicago/Turabian StyleDelorme, Natalí J., David J. Burritt, Norman L. C. Ragg, and Paul M. South. 2021. "Emersion and Relative Humidity Modulate Stress Response and Recovery Dynamics in Juvenile Mussels (Perna canaliculus)" Metabolites 11, no. 9: 580. https://doi.org/10.3390/metabo11090580
APA StyleDelorme, N. J., Burritt, D. J., Ragg, N. L. C., & South, P. M. (2021). Emersion and Relative Humidity Modulate Stress Response and Recovery Dynamics in Juvenile Mussels (Perna canaliculus). Metabolites, 11(9), 580. https://doi.org/10.3390/metabo11090580

