Metabolomic Profile of Abdominal Aortic Aneurysm
Abstract
:1. Introduction
2. Results
3. Discussion
4. Materials and Methods
4.1. Patient Cohort
4.2. Sample Preparation
4.3. Metabolomics Measurement
4.4. Statistical Analysis
Supplementary Materials
Author Contributions
Funding
Institutional Review Board Statement
Informed Consent Statement
Data Availability Statement
Conflicts of Interest
References
- Wanhainen, A.; Verzini, F.; Van Herzeele, I.; Allaire, E.; Bown, M.; Cohnert, T. European Society for Vascular Surgery (ESVS) 2019 Clinical Practice Guidelines on the Management of Abdominal Aorto-iliac Artery Aneurysms. Eur. J. Vasc. Endovasc. Surg. 2019, 57, 8–93. [Google Scholar] [CrossRef] [Green Version]
- Oliver-Williams, C.; Sweeting, M.; Jacomelli, J.; Summers, L.; Stevenson, A.; Lees, T.; Earnshaw, J.J. Safety of Men With Small and Medium Abdominal Aortic Aneurysms Under Surveillance in the NAAASP. Circulation 2019, 139, 1371–1380. [Google Scholar] [CrossRef]
- Laine, M.T.; Laukontaus, S.J.; Sund, R.; Aho, P.S.; Kantonen, I.; Albäck, A.; Venermo, M. A population-based study of abdominal aortic aneurysm treatment in Finland 2000 to 2014. Circulation 2017, 136, 1726–1734. [Google Scholar] [CrossRef]
- Aboyans, V.; Ricco, J.B.; Bartelink, M.E.L.; Björck, M.; Brodmann, M.; Cohnert, T.; Collet, J.P.; Czerny, M.; De Carlo, M.; Debus, S.; et al. 2017 ESC Guidelines on the Diagnosis and Treatment of Peripheral Arterial Diseases, in collaboration with the European Society for Vascular Surgery (ESVS). Eur. J. Vasc. Endovasc. Surg. 2018, 55, 305–368. [Google Scholar] [CrossRef] [Green Version]
- Risum, Ø.; Sandven, I.; Sundhagen, J.O.; Abdelnoor, M. Effect of statins on total mortality in abdominal aortic aneurysm repair: A systematic review and meta-analysis. Eur. J. Vasc. Endovasc. Surg. 2021, 61, 114–120. [Google Scholar] [CrossRef]
- Lederle, F.A.; Wilson, S.E.; Johnson, G.R.; Reinke, D.B.; Littooy, F.N.; Acher, C.W.; Ballard, D.J.; Messina, L.M.; Gordon, I.L.; Chute, E.P.; et al. Immediate Repair Compared with Surveillance of Small Abdominal Aortic Aneurysms. N. Engl. J. Med. 2002, 346, 1437–1444. [Google Scholar] [CrossRef] [PubMed]
- Wanhainen, A.; Hultgren, R.; Linné, A.; Holst, J.; Gottsäter, A.; Langenskiöld, M.; Smidfelt, K.; Björck, M.; Svensjö, S.; Lyttkens, L.; et al. Outcome of the Swedish Nationwide Abdominal Aortic Aneurysm Screening Program. Circulation 2016, 134, 1141–1148. [Google Scholar] [CrossRef] [PubMed]
- Golledge, J. Abdominal aortic aneurysm: Update on pathogenesis and medical treatments. Nat. Rev. Cardiol. 2019, 16, 225–242. [Google Scholar] [CrossRef] [PubMed]
- Vega de Céniga, M.; Esteban, M.; Quintana, J.M.; Barba, A.; Estallo, L.; de la Fuente, N.; Viviens, B.; Martin-Ventura, J.L. Search for serum biomarkers associated with abdominal aortic aneurysm growth-a pilot study. Eur. J. Vasc. Endovasc. Surg. 2009, 37, 297–299. [Google Scholar] [CrossRef] [Green Version]
- Gürtelschmid, M.; Björck, M.; Wanhainen, A. Comparison of three ultrasound methods of measuring the diameter of the abdominal aorta. Br. J. Surg. 2014, 101, 633–636. [Google Scholar] [CrossRef]
- Wanhainen, A.; Mani, K.; Golledge, J. Surrogate Markers of Abdominal Aortic Aneurysm Progression. Arter. Thromb. Vasc. Biol. 2016, 36, 236–244. [Google Scholar] [CrossRef] [PubMed] [Green Version]
- Moris, D.; Mantonakis, E.; Avgerinos, E.; Makris, M.; Bakoyiannis, C.; Pikoulis, E.; Georgopoulos, S. Novel Biomarkers of Abdominal Aortic Aneurysm Disease: Identifying Gaps and Dispelling Misperceptions. BioMed Res. Int. 2014, 2014, 1–13. [Google Scholar] [CrossRef] [PubMed]
- Kuivaniemi, H.; Ryer, E.J.; Elmore, J.R.; Tromp, G. Understanding the pathogenesis of abdominal aortic aneurysms. Expert Rev. Cardiovasc. Ther. 2015, 13, 975–987. [Google Scholar] [CrossRef] [PubMed] [Green Version]
- Stather, P.W.; Sidloff, D.A.; Dattani, N.; Gokani, V.J.; Choke, E.; Sayers, R.D.; Bown, M. Meta-analysis and meta-regression analysis of biomarkers for abdominal aortic aneurysm. BJS 2014, 101, 1358–1372. [Google Scholar] [CrossRef]
- Ciborowski, M.; Barbas, C. Metabolites secreted by human atherothrombotic aneurysm. Methods Mol. Biol. 2013, 1000, 103–113. [Google Scholar] [PubMed]
- Rupérez, F.J.; Ramos-Mozo, P.; Teul, J.; Martinez-Pinna, R.; Garcia, A.; Malet-Martino, M.; Camafeita, E.; Lopez, J.A.; Pastor-Vargas, C.; Egido, J.; et al. Metabolomic study of plasma of patients with abdominal aortic aneurysm. Anal. Bioanal. Chem. 2012, 403, 1651–1660. [Google Scholar] [CrossRef]
- Ciborowski, M.; Teul, J.; Martín-Ventura, J.L.; Egido, J.; Barbas, C. Metabolomics with LC-QTOF-MS Permits the Prediction of Disease Stage in Aortic Abdominal Aneurysm Based on Plasma Metabolic Fingerprint. PLoS ONE 2012, 7, e31982. [Google Scholar] [CrossRef] [Green Version]
- Ciborowski, M.; Martín-Ventura, J.L.; Meilhac, O.; Michel, J.-B.; Rupérez, F.J.; Tuñon, J.; Egido, J.; Barbas, C. Metabolites Secreted by Human Atherothrombotic Aneurysms Revealed through a Metabolomic Approach. J. Proteome Res. 2011, 10, 1374–1382. [Google Scholar] [CrossRef]
- Qureshi, M.I.; Greco, M.; Vorkas, P.A.; Holmes, E.; Davies, A.H. Application of Metabolic Profiling to Abdominal Aortic Aneurysm Research. J. Proteome Res. 2017, 16, 2325–2332. [Google Scholar] [CrossRef]
- Doppler, C.; Arnhard, K.; Dumfarth, J.; Heinz, K.; Messner, B.; Stern, C.; Koal, T.; Klavins, K.; Danzl, K.; Pitterl, F.; et al. Metabolomic profiling of ascending thoracic aortic aneurysms and dissections—Implications for pathophysiology and biomarker discovery. PLoS ONE 2017, 12, e0176727. [Google Scholar]
- Floegel, A.; Kühn, T.; Sookthai, D.; Johnson, T.; Prehn, C.; Rolle-Kampczyk, U.; Otto, W.; Weikert, C.; Illig, T.; Von Bergen, M.; et al. Serum metabolites and risk of myocardial infarction and ischemic stroke: A targeted metabolomic approach in two German prospective cohorts. Eur. J. Epidemiol. 2018, 33, 55–66. [Google Scholar] [CrossRef] [Green Version]
- Bowden, J.A.; Heckert, A.; Ulmer, C.Z.; Jones, C.M.; Koelmel, J.P.; Abdullah, L.; Ahonen, L.; Alnouti, Y.; Armando, A.M.; Asara, J.M.; et al. Harmonizing lipidomics: NIST interlaboratory comparison exercise for lipidomics using SRM 1950–Metabolites in Frozen Human Plasma. J. Lipid Res. 2017, 58, 2275–2288. [Google Scholar] [CrossRef] [PubMed] [Green Version]
- Zhou, X.; Wang, R.; Zhang, T.; Liu, F.; Zhang, W.; Wang, G.; Gu, G.; Han, Q.; Xu, D.; Yao, C.; et al. Identification of lyso-phosphatidylcholines and sphingolipids as potential biomarkers for acute aortic dissection via serum metabolomics. Eur. J. Vasc. Endovasc. Surg. 2019, 57, 434–441. [Google Scholar] [CrossRef] [Green Version]
- Bienias, K.; Fiedorowicz, A.; Sadowska, A.; Prokopiuk, S.; Car, H. Regulation of sphingomyelin metabolism. Pharmacol. Rep. 2016, 68, 570–581. [Google Scholar] [CrossRef]
- Edsfeldt, A.; Duner, P.; Stahlman, M.; Mollet, I.G.; Asciutto, G.; Grufman, H.; Nitulescu, M.; Persson, A.F.; Fisher, R.M.; Melander, O.; et al. Sphingo-lipids contribute to human atherosclerotic plaque inflam-mation. Arterioscler. Thromb. Vasc. Biol. 2016, 36, 1132–1140. [Google Scholar] [CrossRef] [PubMed] [Green Version]
- Toghill, B.J.; Saratzis, A.; Bown, M.J. Abdominal aortic aneurysm-an independent disease to atherosclerosis? Cardiovasc. Pathol. 2017, 27, 71–75. [Google Scholar] [CrossRef] [PubMed]
- Hou, Y.; Guo, W.; Fan, T.; Li, B.; Ge, W.; Gao, R.; Wang, J. Advanced Research of Abdominal Aortic Aneurysms on Metabolism. Front. Cardiovasc. Med. 2021, 8, 630269. [Google Scholar] [CrossRef]
- Wanhainen, A.; Bergqvist, D.; Boman, K.; Nilsson, T.K.; Rutegård, J.; Björck, M. Risk factors associated with abdominal aortic aneurysm: A population-based study with historical and current data. J. Vasc. Surg. 2005, 41, 390–396. [Google Scholar] [CrossRef] [PubMed] [Green Version]
- Kotani, K.; Sahebkar, A.; Serban, M.-C.; Ursoniu, S.; Mikhailidis, D.P.; Mariscalco, G.; Jones, S.R.; Martin, S.; Blaha, M.J.; Toth, P.P.; et al. Lipoprotein(a) Levels in Patients With Abdominal Aortic Aneurysm. Angiology 2016, 68, 99–108. [Google Scholar] [CrossRef]
- Lindholt, J.S.; Kristensen, K.L.; Burillo, E.; Martinez-Lopez, D.; Calvo, C.; Ros, E.; Martín-Ventura, J.L.; Sala-Vila, A. Arachidonic Acid, but Not Omega-3 Index, Relates to the Prevalence and Progression of Abdominal Aortic Aneurysm in a Population-Based Study of Danish Men. J. Am. Hear. Assoc. 2018, 7, e007790. [Google Scholar] [CrossRef] [Green Version]
- Klarin, D.; Global Lipids Genetics Consortium; Damrauer, S.; Cho, K.; Sun, Y.V.; Teslovich, T.M.; Honerlaw, J.; Gagnon, D.R.; Duvall, S.L.; Li, J.; et al. Genetics of blood lipids among ~300,000 multi-ethnic participants of the Million Veteran Program. Nat. Genet. 2018, 50, 1514–1523. [Google Scholar] [CrossRef] [PubMed]
- Ganna, A.; Salihovic, S.; Sundström, J.; Broeckling, C.D.; Hedman, A.K.; Magnusson, P.K.; Pedersen, N.L.; Larsson, A.; Siegbahn, A.; Zilmer, M.; et al. Large-scale metabolomic profiling identifies novel biomarkers for incident coronary heart disease. PLoS Genet. 2014, 10, e1004801. [Google Scholar] [CrossRef] [PubMed]
- Rozenberg, O.; Shih, D.M.; Aviram, M. Human serum paraoxonase 1 decreases macrophage cholesterol biosynthesis: Possible role for its phospholipase-A2-like activity and lysophosphatidylcholine formation. Arterioscler. Thromb. Vasc. Biol. 2003, 23, 461–467. [Google Scholar] [CrossRef] [Green Version]
- Wang-Sattler, R.; Yu, Z.; Herder, C.; Messias, A.; Floegel, A.; He, Y.; Heim, K.; Campillos, M.; Holzapfel, C.; Thorand, B.; et al. Novel biomarkers for pre-diabetes identified by metabolomics. Mol. Syst. Biol. 2012, 8, 615. [Google Scholar] [CrossRef]
- Golledge, J.; Mallat, Z.; Tedgui, A.; Norman, P.E. Serum secreted phospholipase A2 is associated with abdominal aortic aneurysm presence but not progression. Atherosclerosis 2011, 216, 458–460. [Google Scholar] [CrossRef]
- Devlin, T.M. Textbook of Biochemistry with Clinical Correlations, 7th ed.; John Wiley and Sons: Hoboken, NJ, USA, 2010. [Google Scholar]
- Gacko, M.; Ostapowicz, R.; Chrostek, L.; Worowska, A.; Kordecki, K. Activity of enzymes with different subcellular localization in the blood plasma of patients with aortic aneurysm. Med. Sci. Monit. 2005, 11, CR211–CR213. [Google Scholar]
- Pavlova, N.; Hui, S.; Ghergurovich, J.M.; Fan, J.; Intlekofer, A.; White, R.M.; Rabinowitz, J.D.; Thompson, C.B.; Zhang, J. As Extracellular Glutamine Levels Decline, Asparagine Becomes an Essential Amino Acid. Cell Metab. 2018, 27, 428–438.e5. [Google Scholar] [CrossRef] [PubMed] [Green Version]
- Wang, Q.; Holmes, M.V.; Smith, G.D.; Ala-Korpela, M. Genetic Support for a Causal Role of Insulin Resistance on Circulating Branched-Chain Amino Acids and Inflammation. Diabetes Care 2017, 40, 1779–1786. [Google Scholar] [CrossRef] [Green Version]
- HoleČek, M.; Sprongl, L.; Skopec, F.; Andrys, C.; Pecka, M. Leucine metabolism in TNF-α- and endotoxin-treated rats: Contribution of hepatic tissue. Am. J. Physiol. Metab. 1997, 273, E1052–E1058. [Google Scholar] [CrossRef]
- Wanhainen, A.; Mani, K.; Vorkapic, E.; De Basso, R.; Björck, M.; Länne, T.; Wågsäter, D. Screening of circulating microRNA biomarkers for prevalence of abdominal aortic aneurysm and aneurysm growth. Atherosclerosis 2017, 256, 82–88. [Google Scholar] [CrossRef] [PubMed] [Green Version]
- Siskos, A.P.; Jain, P.; Römisch-Margl, W.; Bennett, M.; Achaintre, D.; Asad, Y.; Marney, L.; Richardson, L.; Koulman, A.; Griffin, J.L.; et al. Interlaboratory Reproducibility of a Targeted Metabolomics Platform for Analysis of Human Serum and Plasma. Anal. Chem. 2017, 89, 656–665. [Google Scholar] [CrossRef] [PubMed]

| Controls (n = 79) | AAA (n = 79) | p-Value | |
|---|---|---|---|
| Baseline diameter, mm (95% CI) | 19 (18–19) | 42 (40–43) | <0.001 |
| Age, years | All 65 | 68 (67–69) | 0.01 |
| Male gender | All men | All men | - |
| Comorbidities, | |||
| Hypertension, % (95% CI) | 32.9% (22.7–44.4) | 67.5% (56.1–77.6) | <0.001 |
| CAD, % (95% CI) | 13.9% (7.2–23.6) | 50.0% (38.6–61.4) | <0.001 |
| CVD, % (95% CI) | 3.8% (0.8–10.7) | 18.8% (10.2–27.3) | 0.04 |
| Diabetes mellitus, % (95% CI) | 6.3% (2.1–14.2) | 15.0% (8.0–24.7) | 0.07 |
| Renal insufficiency, % (95% CI) | 0% | 10.0% (4.4–18.8) | 0.06 |
| Smoking, | |||
| Never smoked, % | 41.80% | 16.50% | |
| Stopped smoking, % | 55.70% | 65.80% | <0.001 |
| Active smoking, % | 2.50% | 17.70% | |
| Medication, | |||
| ASA, % (95% CI) | 24.1% (15.1–35.0) | 58.2% (46.6–69.2) | <0.001 |
| Statins, % (95% CI) | 22.8% (14.1–33.6) | 51.9% (40.3–63.3) | <0.001 |
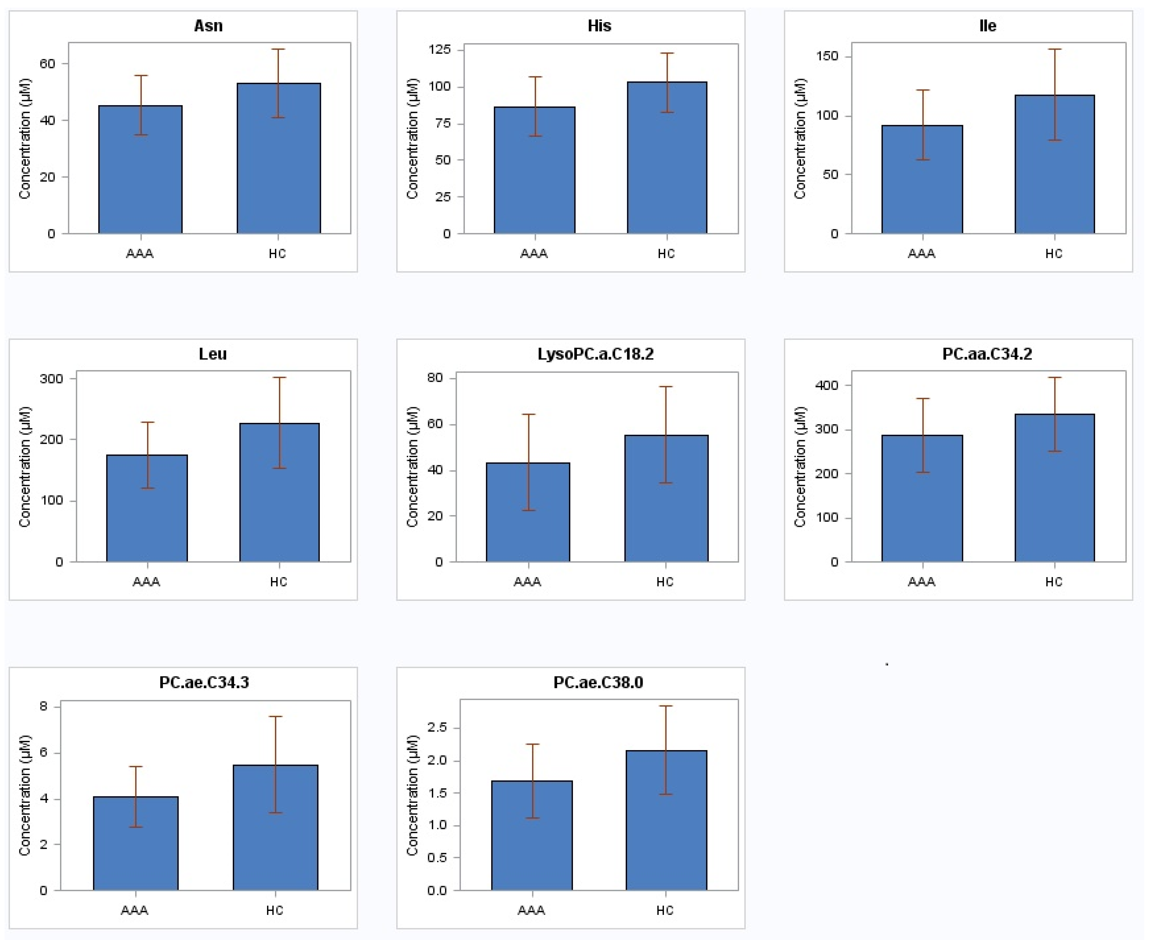
| Metabolites Amino Acids | Controls (n = 79) | All AAA (n = 79) | p-Value ** | p-Value *** |
|---|---|---|---|---|
| His | 103.0 ± 20.3 | 86.4 ± 20.1 | 0.018 | <0.001 |
| Asn | 53.2 ± 12.2 | 45.5 ± 10.5 | 0.018 | <0.001 |
| Ile | 118.0 ± 38.9 | 92.3 ± 29.5 | 0.043 | 0.001 |
| Leu | 227.7 ± 75.1 | 175.1 ± 55.0 | 0.043 | 0.001 |
| Phosphatidylcholines | ||||
| PC.ae.C34.3 | 5.5 ± 2.1 | 4.1 ± 1.3 | 0.018 | <0.001 |
| PC.ae.C38.0 | 2.2 ± 0.7 | 1.7 ± 0.6 | 0.046 | 0.002 |
| LysoPC.a.C18.2 | 55.5 ± 21.1 | 43.3 ± 20.8 | 0.046 | 0.002 |
| PC.aa.C34.2 | 334.7 ± 84.0 | 286.8 ± 82.8 | 0.047 | 0.002 |
| His | Asn | Ile | Leu | PC.ae. C34.3 | PC.ae. C38.0 | LysoPC.a. C18.2 | PC.aa. C34.2 | |
|---|---|---|---|---|---|---|---|---|
| His | 1.0 | 0.61 <0.001 | 0.51 <0.001 | 0.56 <0.001 | 0.52 <0.001 | 0.44 <0.001 | 0.58 <0.001 | 0.61 <0.001 |
| Asn | 0.61 <0.001 | 1.0 | 0.51 <0.001 | 0.54 <0.001 | 0.27 0.015 | 0.23 0.039 | 0.42 <0.001 | 0.23 0.044 |
| Ile | 0.51 <0.001 | 0.51 <0.001 | 1.0 | 0.94 <0.001 | 0.31 0.006 | 0.23 0.043 | 0.47 <0.001 | 0.42 <0.001 |
| Leu | 0.56 <0.001 | 0.54 <0.001 | 0.94 <0.001 | 1.0 | 0.28 0.011 | 0.26 0.021 | 0.39 <0.001 | 0.39 <0.001 |
| PC.ae. C34.3 | 0.52 <0.001 | 0.27 0.015 | 0.31 0.006 | 0.28 0.011 | 1.0 | 0.53 <0.001 | 0.63 <0.001 | 0.77 <0.001 |
| PC.ae. C38.0 | 0.44 <0.001 | 0.23 0.039 | 0.23 0.043 | 0.26 0.021 | 0.53 <0.001 | 1.0 | 0.44 <0.001 | 0.58 <0.001 |
| LysoPC.a. C18.2 | 0.58 <0.001 | 0.42 <0.001 | 0.47 <0.001 | 0.39 <0.001 | 0.63 <0.001 | 0.44 <0.001 | 1.0 | 0.66 <0.001 |
| PC.aa. C34.2 | 0.61 <0.001 | 0.23 0.044 | 0.42 <0.001 | 0.39 <0.001 | 0.77 <0.001 | 0.58 <0.001 | 0.66 <0.001 | 1.0 |
| His | Asn | Ile | Leu | PC.ae. C34.3 | PC.ae. C38.0 | LysoPC.a. C18.2 | PC.aa. C34.2 | |
|---|---|---|---|---|---|---|---|---|
| His | 1.0 | 0.71 <0.001 | 0.58 <0.001 | 0.59 <0.001 | 0.47 <0.001 | 0.38 <0.001 | 0.41 <0.001 | 0.50 <0.001 |
| Asn | 0.71 <0.001 | 1.0 | 0.41 <0.001 | 0.37 <0.001 | 0.45 <0.001 | 0.29 0.008 | 0.33 0.003 | 0.32 0.004 |
| Ile | 0.58 <0.001 | 0.41 <0.001 | 1.0 | 0.97 <0.001 | 0.25 0.03 | 0.30 0.008 | 0.19 0.09 | 0.46 <0.001 |
| Leu | 0.59 <0.001 | 0.37 <0.001 | 0.97 <0.001 | 1.0 | 0.22 0.05 | 0.28 0.01 | 0.14 0.23 | 0.44 <0.001 |
| PC.ae. C34.3 | 0.47 <0.001 | 0.45 <0.001 | 0.25 0.03 | 0.21 0.05 | 1.0 | 0.51 <0.001 | 0.65 <0.001 | 0.67 <0.001 |
| PC.ae. C38.0 | 0.38 <0.001 | 0.29 0.008 | 0.30 0.008 | 0.28 0.014 | 0.51 <0.001 | 1.0 | 0.40 <0.001 | 0.57 <0.001 |
| LysoPC.a. C18.2 | 0.41 <0.001 | 0.33 0.003 | 0.19 0.09 | 0.14 0.23 | 0.65 <0.001 | 0.40 <0.001 | 1.0 | 0.57 <0.001 |
| PC.aa. C34.2 | 0.50 <0.001 | 0.32 0.004 | 0.46 <0.001 | 0.44 <0.001 | 0.67 <0.001 | 0.57 <0.001 | 0.57 <0.001 | 1.0 |
Publisher’s Note: MDPI stays neutral with regard to jurisdictional claims in published maps and institutional affiliations. |
© 2021 by the authors. Licensee MDPI, Basel, Switzerland. This article is an open access article distributed under the terms and conditions of the Creative Commons Attribution (CC BY) license (https://creativecommons.org/licenses/by/4.0/).
Share and Cite
Lieberg, J.; Wanhainen, A.; Ottas, A.; Vähi, M.; Zilmer, M.; Soomets, U.; Björck, M.; Kals, J. Metabolomic Profile of Abdominal Aortic Aneurysm. Metabolites 2021, 11, 555. https://doi.org/10.3390/metabo11080555
Lieberg J, Wanhainen A, Ottas A, Vähi M, Zilmer M, Soomets U, Björck M, Kals J. Metabolomic Profile of Abdominal Aortic Aneurysm. Metabolites. 2021; 11(8):555. https://doi.org/10.3390/metabo11080555
Chicago/Turabian StyleLieberg, Jüri, Anders Wanhainen, Aigar Ottas, Mare Vähi, Mihkel Zilmer, Ursel Soomets, Martin Björck, and Jaak Kals. 2021. "Metabolomic Profile of Abdominal Aortic Aneurysm" Metabolites 11, no. 8: 555. https://doi.org/10.3390/metabo11080555
APA StyleLieberg, J., Wanhainen, A., Ottas, A., Vähi, M., Zilmer, M., Soomets, U., Björck, M., & Kals, J. (2021). Metabolomic Profile of Abdominal Aortic Aneurysm. Metabolites, 11(8), 555. https://doi.org/10.3390/metabo11080555

