Urinary Elimination of Ecdysterone and Its Metabolites Following a Single-Dose Administration in Humans
Abstract
1. Introduction
2. Results
2.1. Validation of the Analytical Methodology
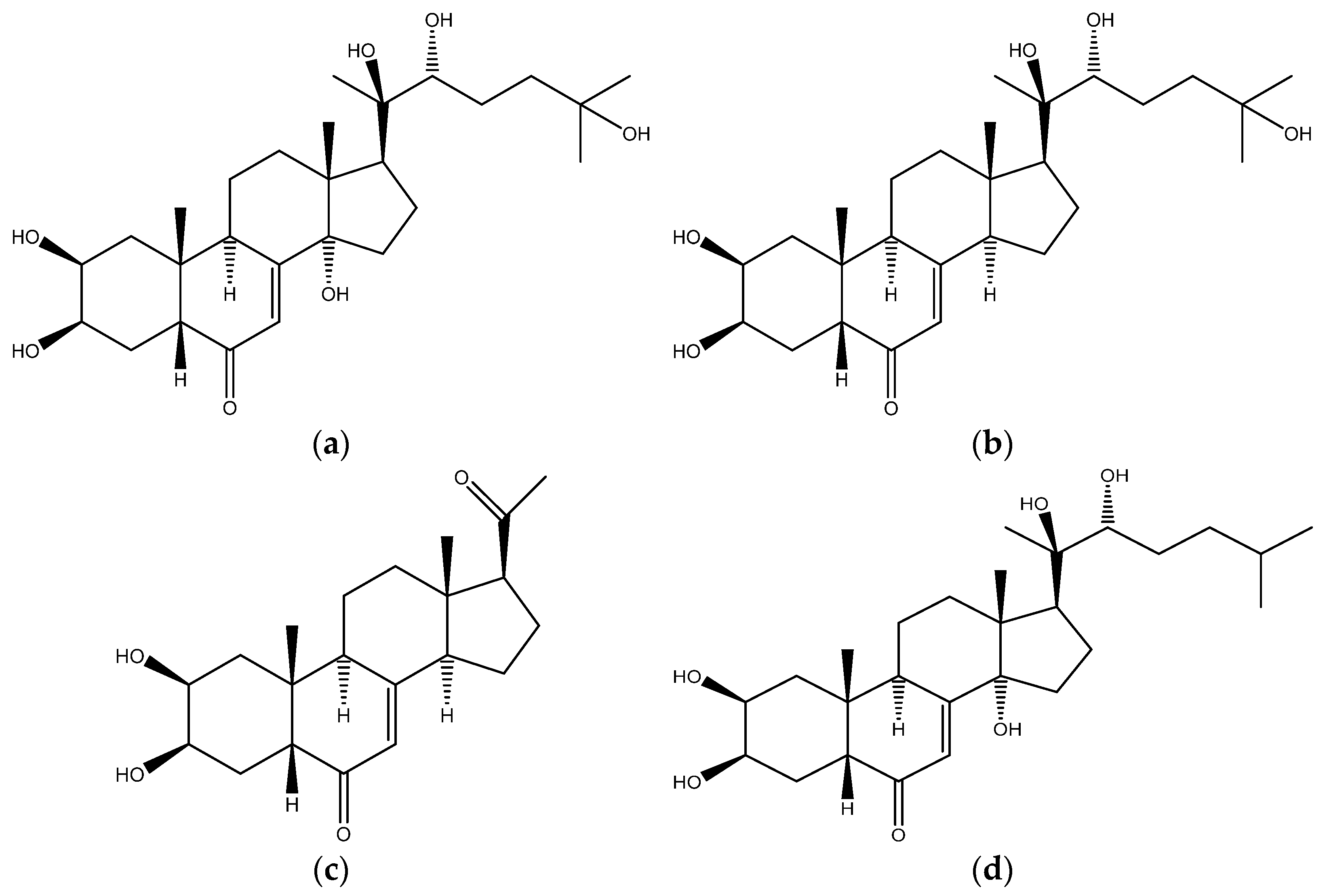
2.1.1. Selectivity
2.1.2. Linearity of the Calibration Curves, LOD, and LOQ
2.1.3. Accuracy and Precision
2.1.4. Matrix Effect
2.1.5. Stability
2.1.6. Carry Over
2.2. Post-Administration Urine Analysis and Evaluation of the Urinary Excretion Profiles of Ecdysterone and Its Metabolites
2.3. Evaluation of Urinary Pharmacokinetic Parameters—Cumulative Amount and Half-Life
3. Discussion
4. Materials and Methods
4.1. Chemicals and Reagents
4.2. Oral Administration of Ecdysterone and Urine Collection
4.3. Standard Solutions and Quality Control Samples
4.4. Sample Preparation
4.5. Urine Analysis
4.5.1. Chromatographic Conditions
4.5.2. Mass Spectrometric Parameters
4.6. Evaluation of Excretion Profile and Pharmacokinetic Parameters in Urine
5. Conclusions
Supplementary Materials
Author Contributions
Funding
Institutional Review Board Statement
Informed Consent Statement
Data Availability Statement
Acknowledgments
Conflicts of Interest
References
- Chermnykh, N.S.; Shimanovskii, N.L.; Shutko, G.V.; Syrov, V.N. The action of methandrostenolone and ecdysterone on the physical endurance of animals and on protein metabolism in the skeletal muscles. Farmakol. Toksikol. 1988, 51, 57–60. [Google Scholar]
- Syrov, V.N. Mechanism of the anabolic action of phytoecdisteroids in mammals. Nauchnye Dokl. Vyss. Shkoly Biol. Nauk. 1984, 16–20. [Google Scholar]
- Otaka, T.; Okui, S.; Uchiyama, M. Stimulation of protein synthesis in mouse liver by ecdysterone. Chem. Pharm. Bull. 1969, 17, 75–81. [Google Scholar] [CrossRef]
- Slama, K.; Lafont, R. Insect hormones-ecdysteroids: Their presence and actions in vertebrates. Eur. J. Entomol. 1995, 92, 355–377. [Google Scholar]
- Dinan, L. The Karlson Lecture. Phytoecdysteroids: What use are they? Arch. Insect Biochem. Physiol. 2009, 72, 126–141. [Google Scholar] [CrossRef]
- Dinan, L. Phytoecdysteroids: Biological aspects. Phytochemistry 2001, 57, 325–339. [Google Scholar] [CrossRef]
- Dinan, L.; Lafont, R. Effects and applications of arthropod steroid hormones (ecdysteroids) in mammals. J. Endocrinol. 2006, 191, 1–8. [Google Scholar] [CrossRef]
- Parr, M.K.; Zhao, P.; Haupt, O.; Ngueu, S.T.; Hengevoss, J.; Fritzemeier, K.H.; Piechotta, M.; Schlorer, N.; Muhn, P.; Zheng, W.Y.; et al. Estrogen receptor beta is involved in skeletal muscle hypertrophy induced by the phytoecdysteroid ecdysterone. Mol. Nutr. Food Res. 2014, 58, 1861–1872. [Google Scholar] [CrossRef]
- Tchoukouegno Ngueu, S. Bioactivity of Plants Secondary Metabolites: Estrogenic, Cytotoxic and Anabolic Effects on Estrogen Target Organs of an Extract of Erythrina Excelsa and Ecdysterone. Ph.D. Thesis, German Sport University, Cologne, Germany, 2013. [Google Scholar]
- Kumpun, S.; Girault, J.P.; Dinan, L.; Blais, C.; Maria, A.; Dauphin-Villemant, C.; Yingyongnarongkul, B.; Suksamrarn, A.; Lafont, R. The metabolism of 20-hydroxyecdysone in mice: Relevance to pharmacological effects and gene switch applications of ecdysteroids. J. Steroid Biochem. Mol. Biol. 2011, 126, 1–9. [Google Scholar] [CrossRef] [PubMed]
- Wilborn, C.D.; Taylor, L.W.; Campbell, B.I.; Kerksick, C.; Rasmussen, C.J.; Greenwood, M.; Kreider, R.B. Effects of methoxyisoflavone, ecdysterone, and sulfo-polysaccharide supplementation on training adaptations in resistance-trained males. J. Int. Soc. Sports Nutr. 2006, 3, 19–27. [Google Scholar] [CrossRef] [PubMed]
- Gorelick-Feldman, J.; Maclean, D.; Ilic, N.; Poulev, A.; Lila, M.A.; Cheng, D.; Raskin, I. Phytoecdysteroids increase protein synthesis in skeletal muscle cells. J. Agric. Food Chem. 2008, 56, 3532–3537. [Google Scholar] [CrossRef]
- Lafont, R.; Dinan, L. Practical uses for ecdysteroids in mammals including humans: An update. J. Insect Sci. 2003, 3, 7. [Google Scholar] [CrossRef]
- Courtheyn, D.; Le Bizec, B.; Brambilla, G.; De Brabander, H.F.; Cobbaert, E.; Van de Wiele, M.; Vercammen, J.; De Wasch, K. Recent developments in the use and abuse of growth promoters. Anal. Chim. Acta 2002, 473, 71–82. [Google Scholar] [CrossRef]
- Toth, N.; Szabo, A.; Kacsala, P.; Heger, J.; Zador, E. 20-Hydroxyecdysone increases fiber size in a muscle-specific fashion in rat. Phytomedicine 2008, 15, 691–698. [Google Scholar] [CrossRef]
- Bathori, M.; Toth, N.; Hunyadi, A.; Marki, A.; Zador, E. Phytoecdysteroids and anabolic-androgenic steroids--structure and effects on humans. Curr. Med. Chem. 2008, 15, 75–91. [Google Scholar] [CrossRef]
- Slama, K.; Kodkoua, M. Insect hormones and bioanalogues: Their effect on respiratory metabolism in Dermestes vulpinus L. (Coleoptera). Biol. Bull. 1975, 148, 320–332. [Google Scholar] [CrossRef]
- Slama, K.; Koudela, K.; Tenora, J.; Mathova, A. Insect hormones in vertebrates: Anabolic effects of 20-hydroxyecdysone in Japanese quail. Experientia 1996, 52, 702–706. [Google Scholar] [CrossRef]
- Okui, S.; Otaka, T.; Uchiyama, M.; Takemoto, T.; Hikino, H. Stimulation of protein synthesis in mouse liver by insect-moulting steroids. Chem. Pharm. Bull. 1968, 16, 384–387. [Google Scholar] [CrossRef][Green Version]
- Arking, R.; Shaaya, E. Effect of ecdysone on protein synthesis in the larval fat body of Calliphora. J. Insect Physiol. 1969, 15, 287–296. [Google Scholar] [CrossRef]
- Burdette, W.; Coda, R. Effect of ecdysone on the incorporation of 14C-Leucine into hepatic protein in vitro. Proc. Soc. Exp. Biol. Med. 1963, 112, 216–217. [Google Scholar] [CrossRef]
- McBride, J.M. Phytoecdysteroids: A Novel, Non-Androgenic Alternative for Muscle Health and Performance. J. Steroids Horm. Sci. 2013, s12, 10–12. [Google Scholar] [CrossRef]
- Haupt, O.; Tchoukouegno Ngueu, S.; Diel, P.; Parr, M. Anabolic effect of ecdysterone results in hypertrophy of C2C12 myotubes by an estrogen receptor mediated pathway. In Recent Advances in Dope Analysis; Sport und Buch Strauß: Cologne, Germany, 2012. [Google Scholar]
- Parr, M.; Wolber, G.; Naß, A.; Ambrosio, G.; Botrè, F.; Diel, P. ER-beta mediated action of dietary supplement ingredient edcysterone confirmed by docking experiments. Endocr. Rev. 2015, FRI-270. Available online: https://endo.confex.com/endo/2015endo/webprogram/Paper21233.html (accessed on 8 October 2020).
- Parr, M.; Haupt, O.; Ngueu, S.; Fritzemeier, K.; Muhn, P.; Diel, P. Estrogen receptor beta mediated anabolic effects—Insights from mechanistic studies on the phytoecdysteroid ecdysterone and selective ligands. Endocr. Rev. 2013, 5, SAT-340. [Google Scholar]
- Parr, M.K.; Müller-Schöll, A. Pharmacology of doping agents—Mechanisms promoting muscle hypertrophy. AIMS Mol. Sci. 2018, 5, 131–159. [Google Scholar] [CrossRef]
- Parr, M.K.; Botre, F.; Nass, A.; Hengevoss, J.; Diel, P.; Wolber, G. Ecdysteroids: A novel class of anabolic agents? Biol. Sport 2015, 32, 169–173. [Google Scholar] [CrossRef] [PubMed]
- World Anti-doping Agency. The 2020 Monitoring Program. Available online: https://www.wada-ama.org/sites/default/files/wada_2020_english_monitoring_program_.pdf (accessed on 1 December 2019).
- Isenmann, E.; Ambrosio, G.; Joseph, J.F.; Mazzarino, M.; de la Torre, X.; Zimmer, P.; Kazlauskas, R.; Goebel, C.; Botre, F.; Diel, P.; et al. Ecdysteroids as non-conventional anabolic agent: Performance enhancement by ecdysterone supplementation in humans. Arch. Toxicol. 2019, 93, 1807–1816. [Google Scholar] [CrossRef]
- Lafont, R.; Beydon, P.; Blais, C.; Garcia, M.; Lachaise, F.; Riera, F.; Somme, G.; Girault, J. Ecdysteroid metabolism: A comparative study. In Ecdysone; Elsevier: Amsterdam, The Netherlands, 1986; pp. 11–16. [Google Scholar]
- Ramazanov, N.S.; Saatov, Z.; Syrov, B.N. Study of ecdysterone metabolites isolated from rat urine. Chem. Nat. Compd. 1996, 32, 545–549. [Google Scholar] [CrossRef]
- Tsitsimpikou, C.; Tsamis, G.D.; Siskos, P.A.; Spyridaki, M.H.; Georgakopoulos, C.G. Study of excretion of ecdysterone in human urine. Rapid Commun. Mass Spectrom. 2001, 15, 1796–1801. [Google Scholar] [CrossRef]
- Brandt, F. Pharmakokinetik und Metabolismus des 20-Hyroxyecdysons im Menschen. Ph.D. Thesis, Philipps-Universität Marburg, Marburg, Germany, 2003. [Google Scholar] [CrossRef]
- Parr, M.K.; Ambrosio, G.; Wuest, B.; Mazzarino, M.; de la Torre, X.; Sibilia, F.; Joseph, J.F.; Diel, P.; Botrè, F. Targeting the administration of ecdysterone in doping control samples. Forensic. Toxicol. 2019, 38, 172–184. [Google Scholar] [CrossRef]
- Ambrosio, G.; Joseph, J.F.; Wuest, B.; Mazzarino, M.; de la Torre, X.; Diel, P.; Botre, F.; Parr, M.K. Detection and quantitation of ecdysterone in human serum by liquid chromatography coupled to tandem mass spectrometry. Steroids 2020, 157, 108603. [Google Scholar] [CrossRef]
- European Medicines Agency. Guideline on Bioanalytical Method Validation; EMA: Amsterdam, The Netherlands, 2011. [Google Scholar]
- International Council for Harmonisation of Technical Requirements for Pharmaceuticals for Human Use. Draft Version. M10: Bioanalytical Method Validation; ICH: Geneva, Switzerland, 2019. [Google Scholar]
- International Conference on Harmonization of Technical Requirements fo Registration of Pharmaceuticals for Human Use. Validation of Analytical Procedurs: Text and Methodology Q2(R1); ICH: Geneva, Switzerland, 2005. [Google Scholar]
- Keizer, R.J.; Jansen, R.S.; Rosing, H.; Thijssen, B.; Beijnen, J.H.; Schellens, J.H.; Huitema, A.D. Incorporation of concentration data below the limit of quantification in population pharmacokinetic analyses. Pharmacol. Res. Perspect. 2015, 3, e00131. [Google Scholar] [CrossRef] [PubMed]
- Dorababunn, M. Pharmacokinetic Modeling of Data with Below Quantification Limit. J. Bioequiv. Bioavailab. 2012, 4, 2–3. [Google Scholar] [CrossRef]
- Hecht, M.; Veigure, R.; Couchman, L.; CI, S.B.; Standing, J.F.; Takkis, K.; Evard, H.; Johnston, A.; Herodes, K.; Leito, I.; et al. Utilization of data below the analytical limit of quantitation in pharmacokinetic analysis and modeling: Promoting interdisciplinary debate. Bioanalysis 2018, 10, 1229–1248. [Google Scholar] [CrossRef]
- Senn, S.; Holford, N.; Hockey, H. The ghosts of departed quantities: Approaches to dealing with observations below the limit of quantitation. Stat. Med. 2012, 31, 4280–4295. [Google Scholar] [CrossRef] [PubMed]
- Destrez, B.; Pinel, G.; Bichon, E.; Monteau, F.; Lafont, R.; Le Bizec, B. Detection of 20-hydroxyecdysone in calf urine by comparative liquid chromatography/high-resolution mass spectrometry and liquid chromatography/tandem mass spectrometry measurements: Application to the control of the potential misuse of ecdysteroids in cattle. Rapid Commun. Mass Spectrom. 2008, 22, 4073–4080. [Google Scholar] [CrossRef] [PubMed]
- Destrez, B.; Pinel, G.; Monteau, F.; Lafont, R.; Le Bizec, B. Detection and identification of 20-hydroxyecdysone metabolites in calf urine by liquid chromatography-high resolution or tandem mass spectrometry measurements and establishment of their kinetics of elimination after 20-hydroxyecdysone administration. Anal. Chim. Acta 2009, 637, 178–184. [Google Scholar] [CrossRef] [PubMed]
- Shargel, L.; Wu-Pong, S.; Yu, A.B. Applied Biopharmaceutics & Pharmacokinetics, 5th ed.; Mcgraw-Hill: New York, NY, USA, 2004. [Google Scholar]






| Analyte | Calibration Model | Weighted | Calibration Range (ng/mL) | R2 | LOD (ng/mL) | LOQ (ng/mL) |
|---|---|---|---|---|---|---|
| Ecdysterone | Quadratic | 1/x | 1–5000 | 0.997 | 0.24 | 1 |
| 14-deoxy- ecdysterone | Quadratic | 1/x | 1–1000 | 0.998 | 0.34 | 1 |
| Compound | QC | Concentration (ng/mL) | Intraday (n = 15) | Intermediate Precision (n = 15) | ||
|---|---|---|---|---|---|---|
| Mean Concentration (ng/mL) ± SD | RE (%) | CV (%) | CV (%) | |||
| Ecdysterone | LQC | 1 | 0.92 ± 0.11 | −7.6 | 12.2 | 9.9 |
| 1° MQC | 250 | 248 ± 9.9 | −0.7 | 4.0 | 2.7 | |
| 2° MQC | 2500 | 2470 ± 70 | −1.4 | 2.8 | 3.9 | |
| HQC | 5000 | 4770 ± 160 | −4.7 | 3.4 | 3.3 | |
| 14-deoxy- ecdysterone | LQC | 1 | 1.0 ± 0.1 | −3.4 | 12.3 | 11.8 |
| 1° MQC | 50 | 49.7 ± 1.2 | −0.7 | 2.4 | 3.3 | |
| 2° MQC | 500 | 507 ± 14 | 1.4 | 2.7 | 3.8 | |
| HQC | 1000 | 949 ± 32 | −5.1 | 3.4 | 4.5 | |
| Compound | Level | Concentration (ng/mL) | Matrix Effect % (Mean ± SD) * | CV% |
|---|---|---|---|---|
| Ecdysterone | LQC | 1 | 85 ± 7 | 8.0 |
| HQC | 5000 | 94 ± 4 | 4.7 | |
| 14-deoxy-ecdysterone | LQC | 1 | 79 ± 16 | 20 |
| HQC | 1000 | 90 ± 7 | 7.5 |
| Ecdysterone | 14-deoxy-ecdysterone | ||||
|---|---|---|---|---|---|
| LQC * | HQC * | LQC * | HQC * | ||
| Bench-top | Time/Cycle | Stability% | Stability% | Stability% | Stability% |
| 0 h | 100 | 100 | 100 | 100 | |
| 4 h | 100 | 101 | 103 | 101 | |
| 8 h | 104 | 98 | 101 | 100 | |
| 24 h | 100 | 100 | 97 | 101 | |
| Long term | 0 | 100 | 100 | 100 | 100 |
| 2 weeks | 94 | 87 | 91 | 87 | |
| Freeze-Thaw | 0 | 100 | 100 | 100 | 100 |
| 3 cycles | 111 | 103 | 110 | 103 | |
| Compound | Excretion Profile Parameters | |||
|---|---|---|---|---|
| Cmax (µg/mL) | Tmax (h) | ERmax (mg/h) | Midpoint Timemax (h) | |
| Ecdysterone mean ± SD | 12.1 ± 9.2 | 4.6 ± 1.8 | 1.7 ± 1.4 | 2.1 ± 1.3 |
| 14-deoxy-ecdysterone mean ± SD | 1.4 ± 1.6 | 19.7 ± 8.9 | 0.1 ± 0.1 | 17.5 ± 7.0 |
| 14-deoxy-poststerone mean ± SD | 0.8 ± 0.7 * | 30.1 ± 7.2 * | 0.1 ± 0.1 * | 27.8 ± 3.7 * |
| Compound | Cumulative Du (mg) | Half Life (h) | |
|---|---|---|---|
| Rate of Excretion | Sigma-Minus | ||
| Ecdysterone mean ± SD | 8.8 ± 6.6 | 3.4 ± 1.0 | 3.0 ± 1.0 |
| 14-deoxy-ecdysterone mean ± SD | 1.1 ± 0.9 | 3.1 ± 1.3 | 2.2 ± 0.9 |
| 14-deoxy-poststerone mean ± SD | 0.7 ± 1.1 ** | 9.7 ± 9.5 * | 4.4 ± 1.0 * |
| Analytes | Retention Time (min) | Precursor Ion (m/z) | Product Ion (m/z) | Collision Energy | Polarity |
|---|---|---|---|---|---|
| Ecdysterone | |||||
| quantifier | 2.99 | 481.3 | 445.3 | 13 | positive |
| qualifier | 481.3 | 427.3 | 13 | positive | |
| qualifier | 481.3 | 371.2 | 9 | positive | |
| qualifier | 481.3 | 80.9 | 57 | positive | |
| 14-deoxy-ecdysterone | |||||
| quantifier | 3.52 | 465.3 | 303.2 | 21 | positive |
| qualifier | 465.3 | 80.9 | 53 | positive | |
| qualifier | 465.3 | 285.2 | 25 | positive | |
| qualifier | 465.3 | 267.2 | 29 | positive | |
| qualifier | 465.3 | 104.9 | 73 | positive | |
| qualifier | 465.3 | 90.9 | 89 | positive | |
| 14-deoxy-poststerone | |||||
| quantifier | 4.07 | 347.2 | 329.1 | 16 | positive |
| qualifier | 347.2 | 173.0 | 28 | positive | |
| qualifier | 347.2 | 90.9 | 68 | positive | |
| qualifier | 347.2 | 105.0 | 56 | positive | |
| Ponasterone | |||||
| quantifier | 4.81 | 465.3 | 447.3 | 9 | positive |
| qualifier | 465.3 | 90.9 | 89 | positive | |
| qualifier | 465.3 | 80.9 | 37 | positive | |
Publisher’s Note: MDPI stays neutral with regard to jurisdictional claims in published maps and institutional affiliations. |
© 2021 by the authors. Licensee MDPI, Basel, Switzerland. This article is an open access article distributed under the terms and conditions of the Creative Commons Attribution (CC BY) license (https://creativecommons.org/licenses/by/4.0/).
Share and Cite
Ambrosio, G.; Yuliandra, T.; Wuest, B.; Mazzarino, M.; de la Torre, X.; Botrè, F.; Diel, P.; Isenmann, E.; Parr, M.K. Urinary Elimination of Ecdysterone and Its Metabolites Following a Single-Dose Administration in Humans. Metabolites 2021, 11, 366. https://doi.org/10.3390/metabo11060366
Ambrosio G, Yuliandra T, Wuest B, Mazzarino M, de la Torre X, Botrè F, Diel P, Isenmann E, Parr MK. Urinary Elimination of Ecdysterone and Its Metabolites Following a Single-Dose Administration in Humans. Metabolites. 2021; 11(6):366. https://doi.org/10.3390/metabo11060366
Chicago/Turabian StyleAmbrosio, Gabriella, Tasha Yuliandra, Bernhard Wuest, Monica Mazzarino, Xavier de la Torre, Francesco Botrè, Patrick Diel, Eduard Isenmann, and Maria Kristina Parr. 2021. "Urinary Elimination of Ecdysterone and Its Metabolites Following a Single-Dose Administration in Humans" Metabolites 11, no. 6: 366. https://doi.org/10.3390/metabo11060366
APA StyleAmbrosio, G., Yuliandra, T., Wuest, B., Mazzarino, M., de la Torre, X., Botrè, F., Diel, P., Isenmann, E., & Parr, M. K. (2021). Urinary Elimination of Ecdysterone and Its Metabolites Following a Single-Dose Administration in Humans. Metabolites, 11(6), 366. https://doi.org/10.3390/metabo11060366

