Beneficial Metabolic Effect of a Nutraceuticals Combination (Monacolin K, Yeasted Red Rice, Polyphenolic Extract of Annurca Apple and Berberine) on Acquired Hypercholesterolemia: A Prospective Analysis
Abstract
1. Introduction
2. Results
3. Discussion
4. Materials and Methods
4.1. Study Design, Study Participants
4.2. Statistical Analysis
5. Conclusions
Author Contributions
Funding
Institutional Review Board Statement
Informed Consent Statement
Data Availability Statement
Acknowledgments
Conflicts of Interest
References
- Epstein, F.H.; Wei, J.Y. Age and the Cardiovascular System. N. Engl. J. Med. 1992, 327, 1735–1739. [Google Scholar] [CrossRef]
- Virani, S.S.; Alonso, A.; Benjamin, E.J.; Bittencourt, M.S.; Callaway, C.W.; Carson, A.P.; Chamberlain, A.M.; Chang, A.R.; Cheng, S.; Delling, F.N.; et al. Heart Disease and Stroke Statistics—2020 Update: A Report From the American Heart Association. Circulation 2020, 141, e139–e596. [Google Scholar] [CrossRef] [PubMed]
- Chait, A.; Brunzell, J.D. Acquired Hyperlipidemia (Secondary Dyslipoproteinemias). Endocrinol. Metab. Clin. N. Am. 1990, 19, 259–278. [Google Scholar] [CrossRef]
- Bhatnagar, D.; Soran, H.; Durrington, P.N. Hypercholesterolaemia and its management. BMJ 2008, 337, a993. [Google Scholar] [CrossRef] [PubMed]
- Mach, F.; Baigent, C.; Catapano, A.L.; Koskinas, K.C.; Casula, M.; Badimon, L.; Chapman, M.J.; De Backer, G.G.; Delgado, V.; Ference, B.A.; et al. 2019 ESC/EAS guidelines for the management of dyslipidaemias: Lipid modification to reduce cardiovascular risk. Atherosclerosis 2019, 290, 140–205. [Google Scholar] [CrossRef]
- Banach, M.; Patti, A.M.; Giglio, R.V.; Cicero, A.F.; Atanasov, A.G.; Bajraktari, G.; Bruckert, E.; Descamps, O.; Djuric, D.M.; Ezhov, M.; et al. The Role of Nutraceuticals in Statin Intolerant Patients. J. Am. Coll. Cardiol. 2018, 72, 96–118. [Google Scholar] [CrossRef]
- Zeitouni, M.; Sabouret, P.; Kerneis, M.; Silvain, J.; Collet, J.-P.; Bruckert, E.; Montalescot, G. 2019 ESC/EAS Guidelines for management of dyslipidaemia: Strengths and limitations. Eur. Heart J. Cardiovasc. Pharmacother. 2020. [Google Scholar] [CrossRef]
- De Luca, M.; Iacono, O.; Lucci, R.; Guardasole, V.; Bosso, G.; Cittadini, A.; Oliviero, U. Atorvastatin-linked rhabdomyolysis caused by the simultaneous intake of amoxicillin clavulanic acid. J. Basic Clin. Physiol. Pharmacol. 2020. [Google Scholar] [CrossRef]
- Pirro, M.; Vetrani, C.; Bianchi, C.; Mannarino, M.; Bernini, F.; Rivellese, A. Joint position statement on “Nutraceuticals for the treatment of hypercholesterolemia” of the Italian Society of Diabetology (SID) and of the Italian Society for the Study of Arteriosclerosis (SISA). Nutr. Metab. Cardiovasc. Dis. 2017, 27, 2–17. [Google Scholar] [CrossRef]
- Li, C.; Zhu, Y.; Wang, Y.; Zhu, J.-S.; Chang, J.; Kritchevsky, D. Monascus purpureus-fermented rice (red yeast rice): A natural food product that lowers blood cholesterol in animal models of hypercholesterolemia. Nutr. Res. 1998, 18, 71–81. [Google Scholar] [CrossRef]
- Wang, J.-J.; Pan, T.-M. Effect of Red Mold Rice Supplements on Serum and Egg Yolk Cholesterol Levels of Laying Hens. J. Agric. Food Chem. 2003, 51, 4824–4829. [Google Scholar] [CrossRef] [PubMed]
- Wang, J.-J.; Pan, T.-M.; Shieh, M.-J.; Hsu, C.-C. Effect of red mold rice supplements on serum and meat cholesterol levels of broilers chicken. Appl. Microbiol. Biotechnol. 2005, 71, 812–818. [Google Scholar] [CrossRef] [PubMed]
- Cameron, J.; Ranheim, T.; Kulseth, M.A.; Leren, T.P.; Berge, K.E. Berberine decreases PCSK9 expression in HepG2 cells. Atherosclerosis 2008, 201, 266–273. [Google Scholar] [CrossRef]
- Kong, W.; Wei, J.; Abidi, P.; Lin, M.; Inaba, S.; Li, C.; Wang, Y.; Wang, Z.; Si, S.; Pan, H.; et al. Berberine is a novel cholesterol-lowering drug working through a unique mechanism distinct from statins. Nat. Med. 2004, 10, 1344–1351. [Google Scholar] [CrossRef]
- Doggrell, S.A. Berberine—A novel approach to cholesterol lowering. Expert Opin. Investig. Drugs 2005, 14, 683–685. [Google Scholar] [CrossRef]
- Brusq, J.-M.; Ancellin, N.; Grondin, P.; Guillard, R.; Martin, S.; Saintillan, Y.; Issandou, M. Inhibition of lipid synthesis through activation of AMP kinase: An additional mechanism for the hypolipidemic effects of berberine. J. Lipid Res. 2006, 47, 1281–1288. [Google Scholar] [CrossRef]
- Cicero, A.F.; Ertek, S. Metabolic and cardiovascular effects of berberine: From preclinical evidences to clinical trial results. Clin. Lipidol. 2009, 4, 553–563. [Google Scholar] [CrossRef]
- Zeng, X.-H.; Zeng, X.-J.; Li, Y.-Y. Efficacy and safety of berberine for congestive heart failure secondary to ischemic or idiopathic dilated cardiomyopathy. Am. J. Cardiol. 2003, 92, 173–176. [Google Scholar] [CrossRef]
- Hyson, D.A. A Comprehensive Review of Apples and Apple Components and Their Relationship to Human Health. Adv. Nutr. 2011, 2, 408–420. [Google Scholar] [CrossRef] [PubMed]
- Peng, C.; Wang, X.; Chen, J.; Jiao, R.; Wang, L.; Li, Y.M.; Zuo, Y.; Liu, Y.; Lei, L.; Ma, K.Y.; et al. Biology of Ageing and Role of Dietary Antioxidants. BioMed Res. Int. 2014, 2014, 831841. [Google Scholar] [CrossRef]
- Tenore, G.C.; Campiglia, P.; Ritieni, A.; Novellino, E. In vitro bioaccessibility, bioavailability and plasma protein interaction of polyphenols from Annurca apple (M. pumila Miller cv Annurca). Food Chem. 2013, 141, 3519–3524. [Google Scholar] [CrossRef] [PubMed]
- Tenore, G.C.; Campiglia, P.; Stiuso, P.; Ritieni, A.; Novellino, E. Nutraceutical potential of polyphenolic fractions from Annurca apple (M. pumila Miller cv Annurca). Food Chem. 2013, 140, 614–622. [Google Scholar] [CrossRef] [PubMed]
- Mannarino, M.R.; Ministrini, S.; Pirro, M. Nutraceuticals for the treatment of hypercholesterolemia. Eur. J. Intern. Med. 2014, 25, 592–599. [Google Scholar] [CrossRef] [PubMed]
- Lu, Z.; Kou, W.; Du, B.; Wu, Y.; Zhao, S.; Brusco, O.A.; Morgan, J.M.; Capuzzi, D.M. Effect of Xuezhikang, an Extract From Red Yeast Chinese Rice, on Coronary Events in a Chinese Population With Previous Myocardial Infarction. Am. J. Cardiol. 2008, 101, 1689–1693. [Google Scholar] [CrossRef]
- Dong, H.; Zhao, Y.; Zhao, L.; Lu, F. The Effects of Berberine on Blood Lipids: A Systemic Review and Meta-Analysis of Randomized Controlled Trials. Planta Med. 2013, 79, 437–446. [Google Scholar] [CrossRef] [PubMed]
- Tenore, G.C.; Caruso, D.; Buonomo, G.; D’Avino, M.; Campiglia, P.; Marinelli, L.; Novellino, E. A Healthy Balance of Plasma Cholesterol by a Novel Annurca Apple-Based Nutraceutical Formulation: Results of a Randomized Trial. J. Med. Food 2017, 20, 288–300. [Google Scholar] [CrossRef]
- Tenore, G.C.; Caruso, D.; Buonomo, G.; D’Urso, E.; D’Avino, M.; Campiglia, P.; Marinelli, L.; Novellino, E. Annurca (Malus pumila Miller cv. Annurca) apple as a functional food for the contribution to a healthy balance of plasma cholesterol levels: Results of a randomized clinical trial. J. Sci. Food Agric. 2017, 97, 2107–2115. [Google Scholar] [CrossRef]
- Karlson, B.W.; Wiklund, O.; Palmer, M.K.; Nicholls, S.J.; Lundman, P.; Barter, P.J. Variability of low-density lipoprotein cholesterol response with different doses of atorvastatin, rosuvastatin, and simvastatin: Results from VOYAGER. Eur. Heart J. Cardiovasc. Pharmacother. 2016, 2, 212–217. [Google Scholar] [CrossRef]
- Stancu, C.; Sima, A. Statins: Mechanism of action and effects. J. Cell. Mol. Med. 2001, 5, 378–387. [Google Scholar] [CrossRef]
- Grundy, S.M.; Stone, N.J.; Bailey, A.L.; Beam, C.; Birtcher, K.K.; Blumenthal, R.S.; Braun, L.T.; De Ferranti, S.; Faiella-Tommasino, J.; Forman, D.E.; et al. 2018 AHA/ACC/AACVPR/AAPA/ABC/ACPM/ADA/AGS/APhA/ASPC/NLA/PCNA Guideline on the Management of Blood Cholesterol: A Report of the American College of Cardiology/American Heart Association Task Force on Clinical Practice Guidelines. Circulation 2019, 139, E1082–E1143. [Google Scholar] [CrossRef]
- Thijssen, D.H.J.; Bruno, R.M.; Van Mil, A.C.C.M.; Holder, S.M.; Faita, F.; Greyling, A.; Zock, P.L.; Taddei, S.; Deanfield, J.E.; Luscher, T.; et al. Expert consensus and evidence-based recommendations for the assessment of flow-mediated dilation in humans. Eur. Heart J. 2019, 40, 2534–2547. [Google Scholar] [CrossRef] [PubMed]



| ANOVA | t-Test | |||||
|---|---|---|---|---|---|---|
| T0 | T1 | T2 | F | p-Value | p-Value | |
| Sex (m/f) | 52/35 | |||||
| Age (yrs) | 58.3 ± 12.1 | |||||
| Height (cm) | 167.6 ± 8.5 | |||||
| Weight (kg) | 78.5 ± 15.9 | 76.3 ± 14.9 | <0.001 | |||
| BMI (kg/m2) | 27.8 ± 4.4 | 27.0 ± 4.2 | <0.001 | |||
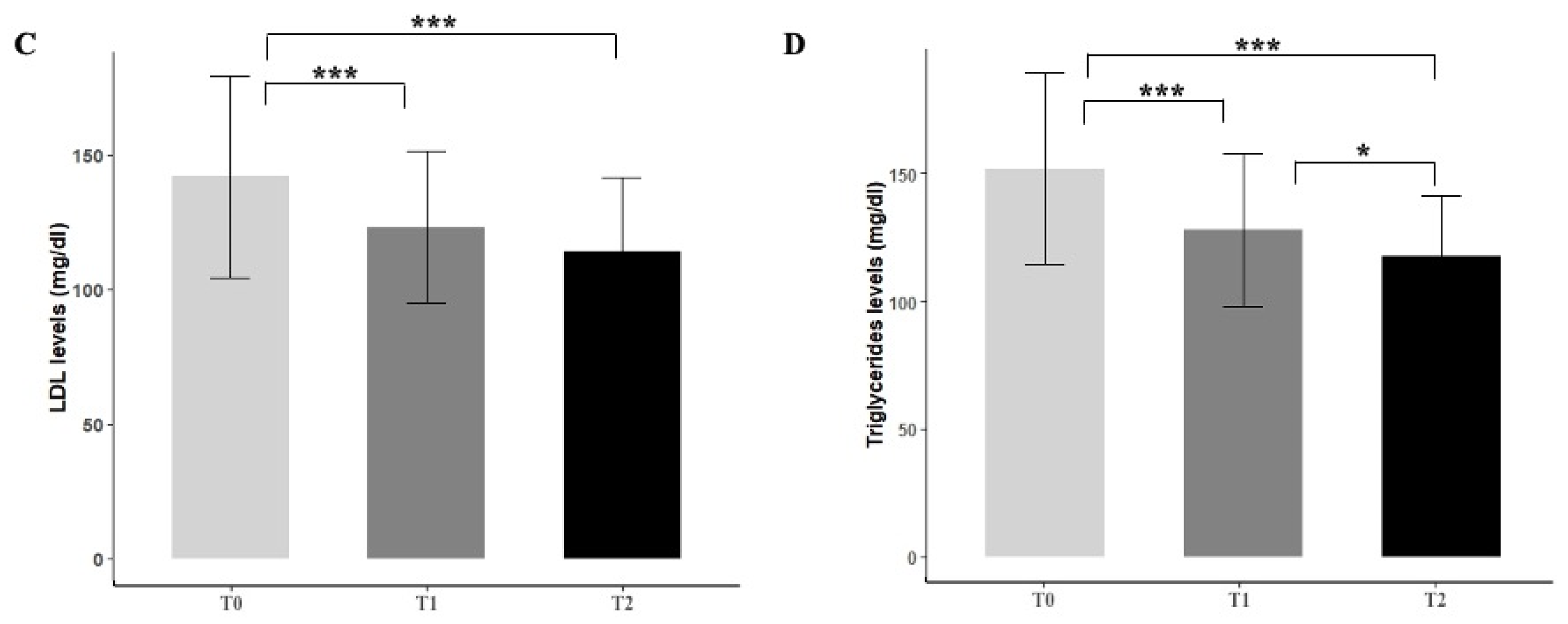
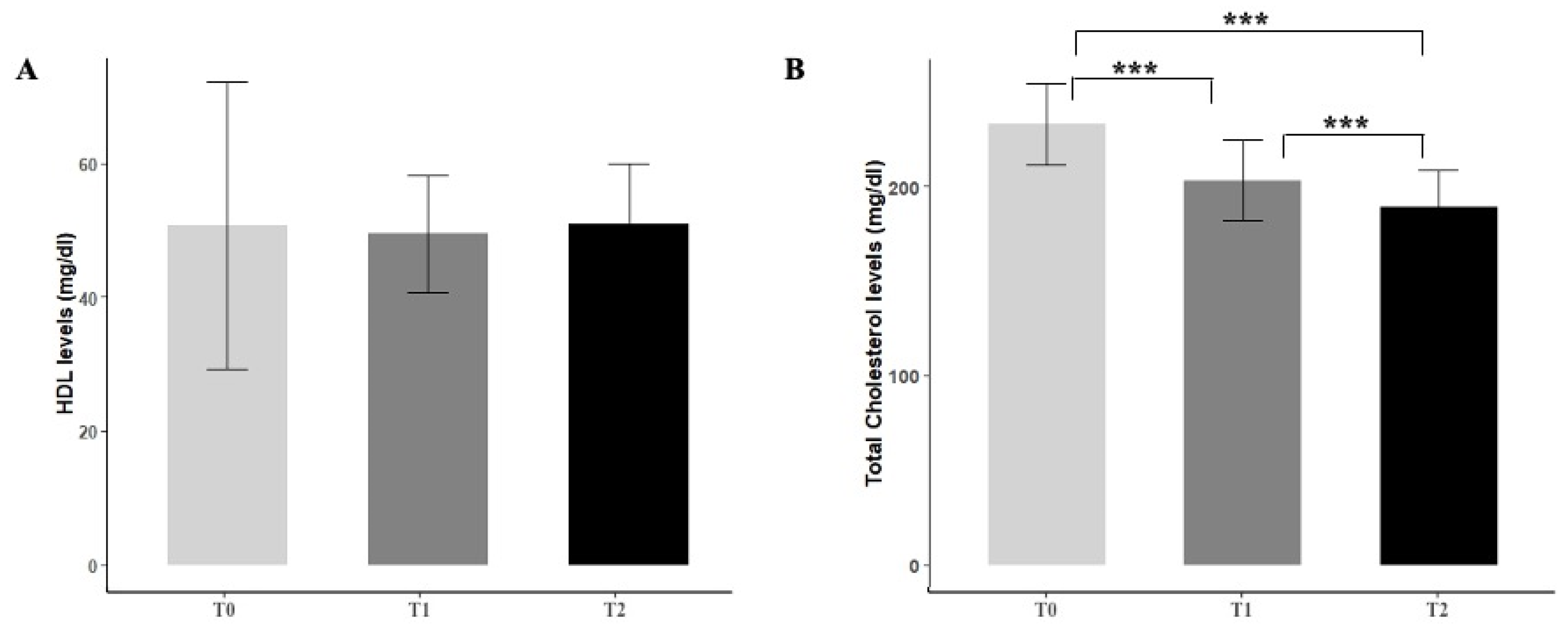
| Total cholesterol (mg/dL) | 232.8 ± 21.3 | 203.2 ± 21.2 | 189 ± 19.4 | 91.99 | <0.001 | |
| HDL (mg/dL) | 50.6 ± 21.4 | 49.4 ± 8.7 | 50.8 ± 9.1 | 0.2 | 0.8 | |
| LDL (mg/dL) | 141.8 ± 37.3 | 123.1 ± 28.1 | 114 ± 27.5 | 15.83 | <0.001 | |
| Triglycerides (mg/dL) | 151.9 ± 37.3 | 128 ± 29.9 | 117.5 ± 23.9 | 25.1 | <0.001 | |
| Triglycerides/HDL | 3.3 ± 1.13 | 2.7 ± 0.9 | 2.4 ± 0.8 | 16.6 | <0.001 | |
| Total cholesterol/HDL | 5.0 ± 1.3 | 4.2 ± 0.9 | 3.9 ± 1.2 | 20.4 | <0.001 | |
| LDL/HDL | 3.1 ± 1.1 | 2.6 ± 0.8 | 2.3 ± 0.9 | 12.01 | <0.001 | |
| Glycaemia (mg/dL) | 108.3 ± 21.3 | 98.4 ± 18.6 | <0.001 | |||
| Publisher’s Note: MDPI stays neutral with regard to jurisdictional claims in published maps and institutional affiliations. | 
© 2021 by the authors. Licensee MDPI, Basel, Switzerland. This article is an open access article distributed under the terms and conditions of the Creative Commons Attribution (CC BY) license (https://creativecommons.org/licenses/by/4.0/).
Share and Cite
D’Assante, R.; De Luca, M.; Ferraro, S.; Ferraro, A.; Ruvolo, A.; Natale, F.; Sotgiu, P.; Petitto, M.; Rizzo, R.; De Maria, U.; et al. Beneficial Metabolic Effect of a Nutraceuticals Combination (Monacolin K, Yeasted Red Rice, Polyphenolic Extract of Annurca Apple and Berberine) on Acquired Hypercholesterolemia: A Prospective Analysis. Metabolites 2021, 11, 223. https://doi.org/10.3390/metabo11040223
D’Assante R, De Luca M, Ferraro S, Ferraro A, Ruvolo A, Natale F, Sotgiu P, Petitto M, Rizzo R, De Maria U, et al. Beneficial Metabolic Effect of a Nutraceuticals Combination (Monacolin K, Yeasted Red Rice, Polyphenolic Extract of Annurca Apple and Berberine) on Acquired Hypercholesterolemia: A Prospective Analysis. Metabolites. 2021; 11(4):223. https://doi.org/10.3390/metabo11040223
Chicago/Turabian StyleD’Assante, Roberta, Mariarosaria De Luca, Sergio Ferraro, Andrea Ferraro, Antonio Ruvolo, Francesco Natale, Pietro Sotgiu, Maurizio Petitto, Romolo Rizzo, Umberto De Maria, and et al. 2021. "Beneficial Metabolic Effect of a Nutraceuticals Combination (Monacolin K, Yeasted Red Rice, Polyphenolic Extract of Annurca Apple and Berberine) on Acquired Hypercholesterolemia: A Prospective Analysis" Metabolites 11, no. 4: 223. https://doi.org/10.3390/metabo11040223
APA StyleD’Assante, R., De Luca, M., Ferraro, S., Ferraro, A., Ruvolo, A., Natale, F., Sotgiu, P., Petitto, M., Rizzo, R., De Maria, U., Liguori, L., Gentile, G., Ragucci, P., Donadio, V., Valente, V., & Cittadini, A. (2021). Beneficial Metabolic Effect of a Nutraceuticals Combination (Monacolin K, Yeasted Red Rice, Polyphenolic Extract of Annurca Apple and Berberine) on Acquired Hypercholesterolemia: A Prospective Analysis. Metabolites, 11(4), 223. https://doi.org/10.3390/metabo11040223
 
         
                                                



 
       