The Evolution of Leaf Function during Development Is Reflected in Profound Changes in the Metabolic Composition of the Vacuole
Abstract
:1. Introduction
2. Results
2.1. Leaf Growth and Changes in Cellular and Subcellular Volumes
2.2. The Young Leaf Contains More Polyphenols and Phosphorylated Compounds but Less Amino Acids and Organic Acids
2.3. Non-Aqueous Fractionation and Subcellular Distribution of Metabolites
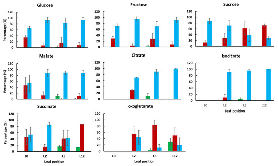
2.4. Subcellular Concentrations of Sugars and Organic Acids Change According to Leaf Developmental Stage
3. Discussion
3.1. Non-Aqueous Fractionation Efficiency Depends on Leaf Developmental Stage
3.2. Composition and Storage Capacity of the Vacuole Change throughout Leaf Development
4. Materials and Methods
4.1. Plants Culture and Leaf Harvesting
4.2. Non-Aqueous Fractionation
4.3. Enzyme Activities
4.4. Metabolite Measurements
4.5. Cell and Subcellular Volumes
4.6. Data Analysis
5. Conclusions
Supplementary Materials
Author Contributions
Funding
Institutional Review Board Statement
Informed Consent Statement
Data Availability Statement
Conflicts of Interest
References
- Lemoine, R.; La Camera, S.; Atanassova, R.; Dédaldéchamp, F.; Allario, T.; Pourtau, N.; Bonnemain, J.L.; Laloi, M.; Coutos-Thévenot, P.; Maurousset, L.; et al. Source-to-sink transport of sugar and regulation by environmental factors. Front. Plant Sci. 2013, 4, 272. [Google Scholar] [CrossRef] [Green Version]
- Bell, C.J.; Incoll, L.D. The redistribution of assimilate in field-grown winter wheat. J. Exp. Bot. 1990, 41, 949–960. [Google Scholar] [CrossRef]
- Masclaux, Â.; Valadier, Á.; Brugie, N.; Morot-Gaudry, Ë.; Hirel, B. Characterization of the sink/source transition in tobacco (Nicotiana tabacum L.) shoots in relation to nitrogen management and leaf senescence. Planta 2000, 211, 510–518. [Google Scholar] [CrossRef]
- Jeong, M.L.; Jiang, H.; Chen, H.-S.; Tsai, C.-J.; Harding, S. A Metabolic profiling of the sink-to-source transition in developing leaves of quaking aspen. Plant Physiol. 2004, 136, 3364–3375. [Google Scholar] [CrossRef] [PubMed] [Green Version]
- Czedik-Eysenberg, A.; Arrivault, S.; Lohse, M.A.; Feil, R.; Krohn, N.; Encke, B.; Nunes-Nesi, A.; Fernie, A.R.; Lunn, J.E.; Sulpice, R.; et al. The interplay between carbon availability and growth in different zones of the growing maize leaf. Plant Physiol. 2016, 172, 943–967. [Google Scholar] [CrossRef] [PubMed] [Green Version]
- Ho, L.C.; Shaw, A.F. Net Accumulation of Minerals and Water and the Carbon Budget in an Expanding Leaf of Tomato. Ann. Bot. 2017, 43, 45–54. [Google Scholar] [CrossRef]
- Takahashi, S.; Ishimaru, K.; Yazaki, J.; Fujii, F.; Shimbo, K.; Yamamoto, K.; Sakata, K.; Sasaki, T.; Kishimoto, N.; Kikuchi, S. Microarray Analysis of Sink-Source Transition in Rice Leaf Sheaths. Breed. Sci. 2005, 55, 153–162. [Google Scholar] [CrossRef] [Green Version]
- Lockhart, J.A. An analysis of irreversible plant cell elongation. J. Theor. Biol. 1965, 8, 264–275. [Google Scholar] [CrossRef]
- Ortega, J.K.E. Augmented Growth Equation for Cell Wall Expansion. Plant Physiol. 1985, 79, 318–320. [Google Scholar] [CrossRef]
- Shimada, T.; Takagi, J.; Ichino, T.; Shirakawa, M.; Hara-Nishimura, I. Plant Vacuoles. Annu. Rev. Plant Biol. 2018, 69, 123–145. [Google Scholar] [CrossRef]
- Tan, X.; Li, K.; Wang, Z.; Zhu, K.; Tan, X.; Cao, J. A review of plant vacuoles: Formation, located proteins, and functions. Plants 2019, 8, 327. [Google Scholar] [CrossRef] [Green Version]
- Farré, E.M.; Tiessen, A.; Roessner, U.; Geigenberger, P.; Trethewey, R.N.; Willmitzer, L. Analysis of the compartmentation of glycolytic intermediates, nucleotides, sugars, organic acids, amino acids, and sugar alcohols in potato tubers using a nonaqueous fractionation method. Plant Physiol. 2001, 127, 685–700. [Google Scholar] [CrossRef]
- Zhang, J.; Martinoia, E.; Lee, Y. Vacuolar transporters for cadmium and arsenic in plants and their applications in phytoremediation and crop development. Plant Cell Physiol. 2018, 59, 1317–1325. [Google Scholar] [CrossRef] [PubMed]
- Winter, H.; Robinson, D.G.; Heldt, H.W. Subcellular volume and metabolic concentrations in barley leaves. Planta 1993, 191, 180–190. [Google Scholar] [CrossRef]
- Beauvoit, B.P.; Colombie, S.; Monier, A.; Andrieu, M.-H.; Biais, B.; Benard, C.; Cheniclet, C.; Dieuaide-Noubhani, M.; Nazaret, C.; Mazat, J.-P.; et al. Model-Assisted Analysis of Sugar Metabolism throughout Tomato Fruit Development Reveals Enzyme and Carrier Properties in Relation to Vacuole Expansion. Plant Cell 2014, 26, 3224–3242. [Google Scholar] [CrossRef] [PubMed] [Green Version]
- Tohge, T.; Ramos, M.S.; Nunes-Nesi, A.; Mutwil, M.; Giavalisco, P.; Steinhauser, D.; Schellenberg, M.; Willmitzer, L.; Persson, S.; Martinoia, E.; et al. Toward the storage metabolome: Profiling the barley vacuole. Plant Physiol. 2011, 157, 1469–1482. [Google Scholar] [CrossRef] [Green Version]
- Soboll, S.; Akerboom, T.P.; Schwenke, W.D.; Haase, R.; Sies, H. Mitochondrial and cytosolic ATP/ADP ratios in isolated hepatocytes. A comparison of the digitonin method and the non-aqueous fractionation procedure. Biochem. J. 1980, 192, 951–954. [Google Scholar] [CrossRef] [PubMed]
- Krueger, S.; Giavalisco, P.; Krall, L.; Steinhauser, M.C.; Büssis, D.; Usadel, B.; Flügge, U.I.; Fernie, A.R.; Willmitzer, L.; Steinhauser, D. A topological map of the compartmentalized Arabidopsis thaliana leaf metabolome. PLoS ONE 2011, 6, e17806. [Google Scholar]
- Gerhardt, R.; Heldt, H.W. Measurement of Subcellular Metabolite Levels in Leaves by Fractionation of Freeze-Stopped Material in Nonaqueous Media. Plant Physiol. 1984, 75, 542–547. [Google Scholar] [CrossRef] [Green Version]
- Winter, H.; Robinson, D.G.; Heldt, H.W. Subcellular volumes and metabolite concentrations in spinach leaves. Planta 1994, 193, 530–535. [Google Scholar] [CrossRef]
- Benkeblia, N.; Shinano, T.; Osaki, M. Metabolite profiling and assessment of metabolome compartmentation of soybean leaves using non-aqueous fractionation and GC-MS analysis. Metabolomics 2007, 3, 297–305. [Google Scholar] [CrossRef]
- Yamada, K.; Norikoshi, R.; Suzuki, K.; Imanishi, H.; Ichimura, K. Determination of subcellular concentrations of soluble carbohydrates in rose petals during opening by nonaqueous fractionation method combined with infiltration-centrifugation method. Planta 2009, 230, 1115–1127. [Google Scholar] [CrossRef] [PubMed]
- Tiessen, A.; Nerlich, A.; Faix, B.; Hümmer, C.; Fox, S.; Trafford, K.; Weber, H.; Weschke, W.; Geigenberger, P. Subcellular analysis of starch metabolism in developing barley seeds using a non-aqueous fractionation method. J. Exp. Bot. 2012, 63, 2071–2087. [Google Scholar] [CrossRef] [PubMed] [Green Version]
- Leidreiter, K.; Kruse, A.; Heineke, D.; Robinson, D.G.; Heldt, H.-W. Subcellular Volumes and Metabolite Concentrations in Potato (Solanum tuberosum cv. Désirée) Leaves. Bot. Acta 1995, 108, 439–444. [Google Scholar] [CrossRef]
- Martins, M.C.M.; Hejazi, M.; Fettke, J.; Steup, M.; Feil, R.; Krause, U.; Arrivault, S.; Vosloh, D.; Figueroa, C.M.; Ivakov, A.; et al. Feedback inhibition of starch degradation in Arabidopsis leaves mediated by trehalose 6-phosphate. Plant Physiol. 2013, 163, 1142–1163. [Google Scholar] [CrossRef] [Green Version]
- Szecowka, M.; Heise, R.; Tohge, T.; Nunes-Nesi, A.; Vosloh, D.; Huege, J.; Feil, R.; Lunn, J.; Nikoloski, Z.; Stitt, M.; et al. Metabolic Fluxes in an Illuminated Arabidopsis Rosette. Plant Cell 2013, 25, 694–714. [Google Scholar] [CrossRef] [Green Version]
- Beshir, W.F.; Tohge, T.; Watanabe, M.; Hertog, M.L.A.T.M.; Hoefgen, R.; Fernie, A.R.; Nicolaï, B.M. Non-aqueous fractionation revealed changing subcellular metabolite distribution during apple fruit development. Hortic. Res. 2019, 6, 98. [Google Scholar] [CrossRef] [PubMed] [Green Version]
- Avila-Ospina, L.; Marmagne, A.; Talbotec, J.; Krupinska, K.; Masclaux-Daubresse, C. The identification of new cytosolic glutamine synthetase and asparagine synthetase genes in barley (Hordeum vulgare L.), and their expression during leaf senescence. J. Exp. Bot. 2015, 66, 2013–2026. [Google Scholar] [CrossRef] [PubMed] [Green Version]
- Dellero, Y.; Heuillet, M.; Marnet, N.; Bellvert, F.; Millard, P.; Bouchereau, A. Sink/Source Balance of Leaves Influences Amino Acid Pools and Their Associated Metabolic Fluxes in Winter Oilseed Rape (Brassica napus L.). Metabolites 2020, 10, 150. [Google Scholar] [CrossRef] [PubMed]
- Poucet, T.; González-Moro, M.B.; Cabasson, C.; Beauvoit, B.; Gibon, Y.; Dieuaide-Noubhani, M.; Marino, D. Ammonium supply induces differential metabolic adaptive responses in tomato according to leaf phenological stage. J. Exp. Bot. 2021, 72, 3185–3199. [Google Scholar] [CrossRef]
- Bénard, C.; Bernillon, S.; Biais, B.; Osorio, S.; Maucourt, M.; Ballias, P.; Deborde, C.; Colombié, S.; Cabasson, C.; Jacob, D.; et al. Metabolomic profiling in tomato reveals diel compositional changes in fruit affected by source-sink relationships. J. Exp. Bot. 2015, 66, 3391–3404. [Google Scholar] [CrossRef] [PubMed] [Green Version]
- Najla, S.; Vercambre, G.; Pagès, L.; Grasselly, D.; Gautier, H.; Génard, M. Tomato plant architecture as affected by salinity: Descriptive analysis and integration in a 3-D simulation model. Botany 2009, 87, 893–904. [Google Scholar] [CrossRef]
- Gemperlová, L.; Nováková, M.; Vaňková, R.; Eder, J.; Cvikrová, M. Diurnal changes in polyamine content, arginine and ornithine decarboxylase, and diamine oxidase in tobacco leaves. J. Exp. Bot. 2006, 57, 1413–1421. [Google Scholar] [CrossRef] [PubMed] [Green Version]
- Foyer, C.H.; Parry, M.; Noctor, G. Markers and signals associated with nitrogen assimilation in higher plants. J. Exp. Bot. 2003, 54, 585–593. [Google Scholar] [CrossRef] [PubMed]
- Kaiser, W.M.; Förster, J. Low CO(2) Prevents Nitrate Reduction in Leaves. Plant Physiol. 1989, 91, 970–974. [Google Scholar] [CrossRef] [PubMed] [Green Version]
- Baldazzi, V.; Pinet, A.; Vercambre, G.; Bénard, C.; Biais, B.; Génard, M. In-silico analysis of water and carbon relations under stress conditions. A multi-scale perspective centered on fruit. Front. Plant Sci. 2013, 4, 495. [Google Scholar] [CrossRef] [Green Version]
- Gibon, Y.; Pyl, E.T.; Sulpice, R.; Lunn, J.E.; HÖhne, M.; GÜnther, M.; Stitt, M. Adjustment of growth, starch turnover, protein content and central metabolism to a decrease of the carbon supply when Arabidopsis is grown in very short photoperiods. Plant Cell Environ. 2009, 32, 859–874. [Google Scholar] [CrossRef]
- Saslowsky, D.; Winkel-Shirley, B. Localization of flavonoid enzymes in Arabidopsis roots. Plant J. 2001, 27, 37–48. [Google Scholar] [CrossRef]
- Jørgensen, K.; Rasmussen, A.V.; Morant, M.; Nielsen, A.H.; Bjarnholt, N.; Zagrobelny, M.; Bak, S.; Møller, B.L. Metabolon formation and metabolic channeling in the biosynthesis of plant natural products. Curr. Opin. Plant Biol. 2005, 8, 280–291. [Google Scholar] [CrossRef] [PubMed]
- Moglia, A.; Lanteri, S.; Comino, C.; Hill, L.; Knevitt, D.; Cagliero, C.; Rubiolo, P.; Bornemann, S.; Martin, C. Dual catalytic activity of hydroxycinnamoyl-coenzyme a quinate transferase from tomato allows it to moonlight in the synthesis of both mono- and dicaffeoylquinic acids. Plant Physiol. 2014, 166, 1777–1787. [Google Scholar] [CrossRef]
- Sun, Y.; Li, H.; Huang, J.R. Arabidopsis TT19 functions as a carrier to transport anthocyanin from the cytosol to tonoplasts. Mol. Plant 2012, 5, 387–400. [Google Scholar] [CrossRef]
- Kulich, I.; Žárský, V. Autophagy-related direct membrane import from ER/Cytoplasm into the vacuole or apoplast: A hidden gateway also for secondary metabolites and phytohormones? Int. J. Mol. Sci. 2014, 15, 7462. [Google Scholar] [CrossRef] [PubMed] [Green Version]
- Agati, G.; Azzarello, E.; Pollastri, S.; Tattini, M. Flavonoids as antioxidants in plants: Location and functional significance. Plant Sci. 2012, 196, 67–76. [Google Scholar] [CrossRef]
- Martinoia, E.; Mimura, T.; Hara-Nishimura, I.; Shiratake, K. The multifaceted roles of plant vacuoles. Plant Cell Physiol. 2018, 59, 1285–1287. [Google Scholar] [CrossRef]
- Royer, M.; Larbat, R.; Le Bot, J.; Adamowicz, S.; Robin, C. Is the C:N ratio a reliable indicator of C allocation to primary and defence-related metabolisms in tomato? Phytochemistry 2013, 88, 25–33. [Google Scholar] [CrossRef] [PubMed]
- Biais, B.; Benard, C.; Beauvoit, B.; Colombie, S.; Prodhomme, D.; Menard, G.; Bernillon, S.; Gehl, B.; Gautier, H.; Ballias, P.; et al. Remarkable Reproducibility of Enzyme Activity Profiles in Tomato Fruits Grown under Contrasting Environments Provides a Roadmap for Studies of Fruit Metabolism. Plant Physiol. 2014, 164, 1204–1221. [Google Scholar] [CrossRef] [PubMed] [Green Version]
- Echevarria, C.; Pacquit, V.; Bakrim, N.; Osuna, L.; Delgado, B.; Arriodupont, M.; Vidal, J. The Effect of pH on the Covalent and Metabolic Control of C4 Phosphoenolpyruvate Carboxylase from Sorghum Leaf. Arch. Biochem. Biophys. 1994, 315, 425–430. [Google Scholar] [CrossRef] [PubMed]
- Oury, V.; Caldeira, C.F.; Prodhomme, D.; Pichon, J.P.; Gibon, Y.; Tardieu, F.; Turc, O. Is change in ovary carbon status a cause or a consequence of maize ovary abortion in water deficit during flowering? Plant Physiol. 2016, 171, 997–1008. [Google Scholar] [CrossRef] [Green Version]
- Beccari, T.; Appolloni, M.G.; Costanzi, E.; Stinchi, S.; Stirling, J.L.; Della Fazia, M.A.; Servillo, G.; Viola, M.P.; Orlacchio, A. Lysosomal α-mannosidases of mouse tissues: Characteristics of the isoenzymes, and cloning and expression of a full-length cDNA. Biochem. J. 1997, 49, 45–49. [Google Scholar] [CrossRef] [PubMed] [Green Version]
- Cross, J.M.; Von Korff, M.; Altmann, T.; Bartzetko, L.; Sulpice, R.; Gibon, Y.; Palacios, N.; Stitt, M. Variation of enzyme activities and metabolite levels in 24 arabidopsis accessions growing in carbon-limited conditions. Plant Physiol. 2006, 142, 1574–1588. [Google Scholar] [CrossRef] [PubMed] [Green Version]
- Cocuron, J.C.; Anderson, B.; Boyd, A.; Alonso, A.P. Targeted metabolomics of physaria fendleri, an industrial crop producing hydroxy fatty acids. Plant Cell Physiol. 2014, 55, 620–633. [Google Scholar] [CrossRef] [PubMed] [Green Version]
- Larbat, R.; Le Bot, J.; Bourgaud, F.; Robin, C.; Adamowicz, S. Organ-specific responses of tomato growth and phenolic metabolism to nitrate limitation. Plant Biol. 2012, 14, 760–769. [Google Scholar] [CrossRef] [PubMed]
- Riens, B.; Lohaus, G.; Heineke, D.; Heldt, H.W. Amino Acid and Sucrose Content Determined in the Cytosolic, Chloroplastic, and Vacuolar Compartments and in the Phloem Sap of Spinach Leaves. Plant Physiol. 1991, 97, 227–233. [Google Scholar] [CrossRef] [PubMed] [Green Version]






Publisher’s Note: MDPI stays neutral with regard to jurisdictional claims in published maps and institutional affiliations. |
© 2021 by the authors. Licensee MDPI, Basel, Switzerland. This article is an open access article distributed under the terms and conditions of the Creative Commons Attribution (CC BY) license (https://creativecommons.org/licenses/by/4.0/).
Share and Cite
Destailleur, A.; Poucet, T.; Cabasson, C.; Alonso, A.P.; Cocuron, J.-C.; Larbat, R.; Vercambre, G.; Colombié, S.; Petriacq, P.; Andrieu, M.H.; et al. The Evolution of Leaf Function during Development Is Reflected in Profound Changes in the Metabolic Composition of the Vacuole. Metabolites 2021, 11, 848. https://doi.org/10.3390/metabo11120848
Destailleur A, Poucet T, Cabasson C, Alonso AP, Cocuron J-C, Larbat R, Vercambre G, Colombié S, Petriacq P, Andrieu MH, et al. The Evolution of Leaf Function during Development Is Reflected in Profound Changes in the Metabolic Composition of the Vacuole. Metabolites. 2021; 11(12):848. https://doi.org/10.3390/metabo11120848
Chicago/Turabian StyleDestailleur, Alice, Théo Poucet, Cécile Cabasson, Ana Paula Alonso, Jean-Christophe Cocuron, Romain Larbat, Gilles Vercambre, Sophie Colombié, Pierre Petriacq, Marie Hélène Andrieu, and et al. 2021. "The Evolution of Leaf Function during Development Is Reflected in Profound Changes in the Metabolic Composition of the Vacuole" Metabolites 11, no. 12: 848. https://doi.org/10.3390/metabo11120848
APA StyleDestailleur, A., Poucet, T., Cabasson, C., Alonso, A. P., Cocuron, J.-C., Larbat, R., Vercambre, G., Colombié, S., Petriacq, P., Andrieu, M. H., Beauvoit, B., Gibon, Y., & Dieuaide-Noubhani, M. (2021). The Evolution of Leaf Function during Development Is Reflected in Profound Changes in the Metabolic Composition of the Vacuole. Metabolites, 11(12), 848. https://doi.org/10.3390/metabo11120848

