The Effect of Training on Erythrocyte Energy Status and Plasma Purine Metabolites in Athletes
Abstract
1. Introduction
2. Results
2.1. Somatic and Exercise Characteristics
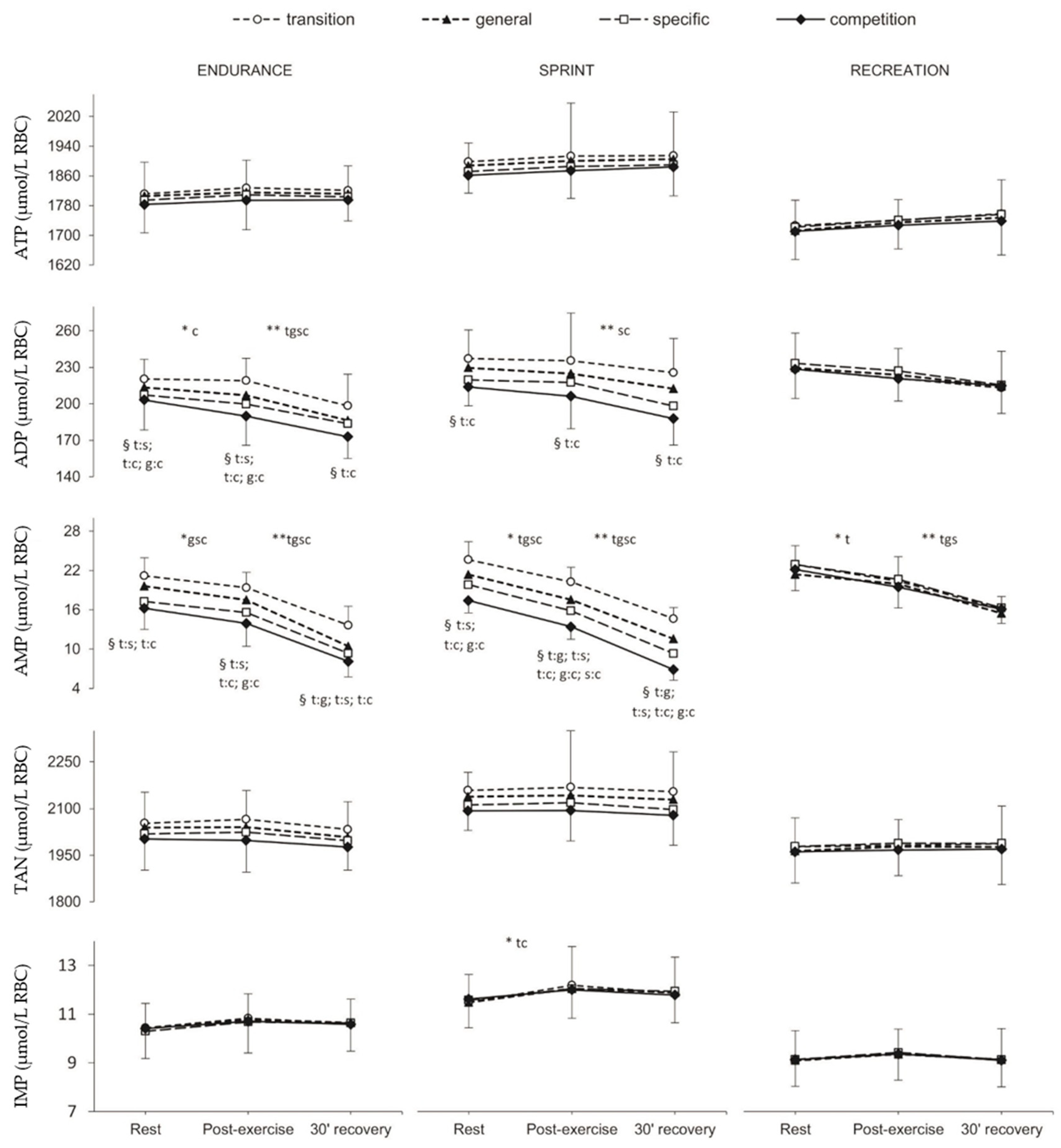
2.2. Erythrocyte Adenine Nucleotides
2.3. Erythrocyte Energy Status
2.4. Erythrocyte HGPRT Activity
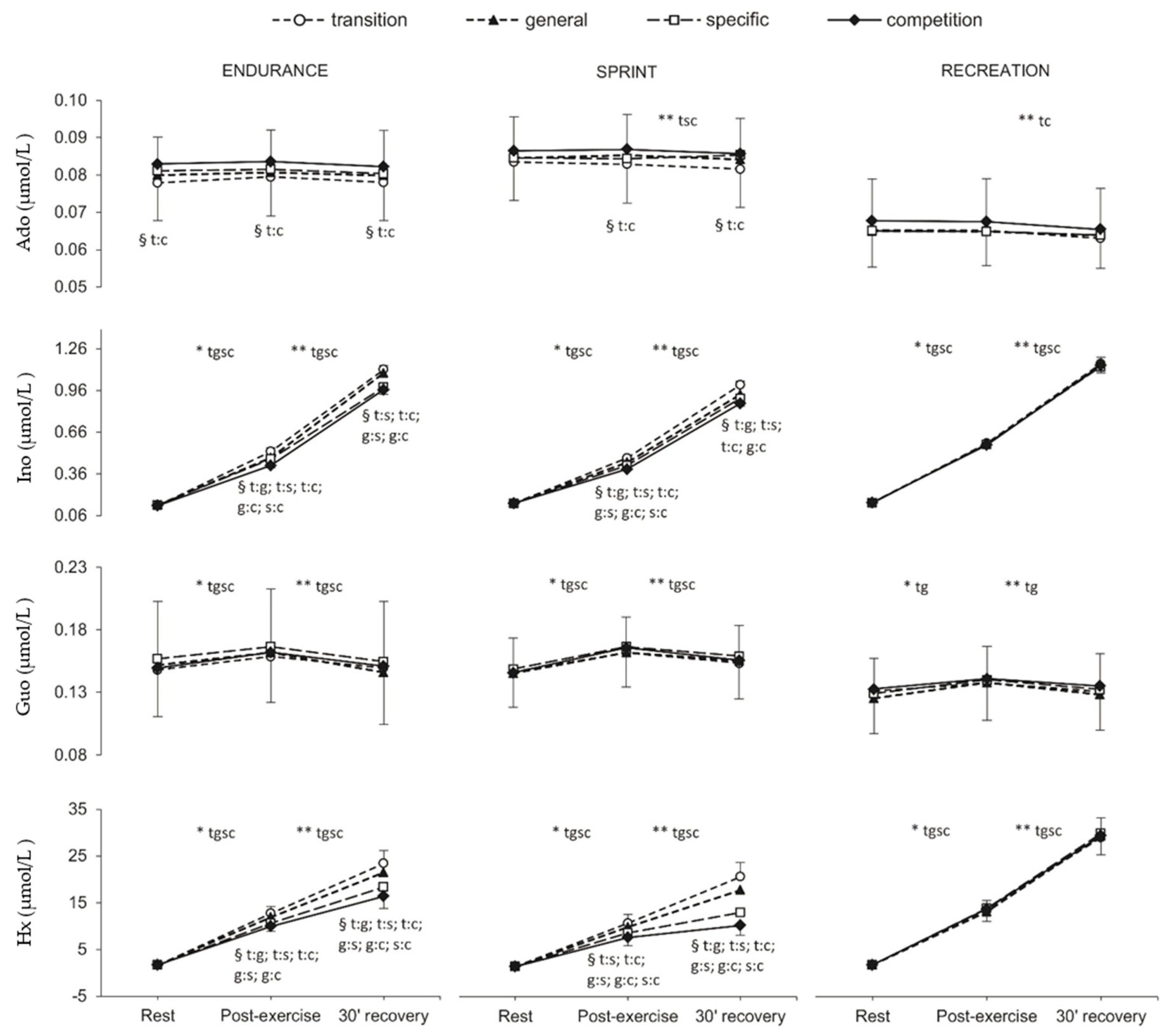
2.5. Plasma Purine Nucleotide
2.6. Erythrocyte Guanine Nucleotides
3. Discussion
3.1. Erythrocyte Energy Status
3.1.1. Adenylate and Energy Status
3.1.2. Erythrocyte Guanine Nucleotides
3.2. Erythrocyte HGPRT Activity
3.3. Plasma Purine Derivatives
4. Materials and Methods
4.1. Subjects
4.2. Study Design
4.3. Somatic and Physiological Variables
4.4. Blood Sampling
4.5. Hematocrit, Hemoglobin, and Lactate
4.6. Erythrocyte Isolation
4.7. Chromatographic Procedure and Instrumentations
4.8. Erythrocyte Purine Nucleotides
4.9. Erythrocyte HGPRT Activity
4.10. Plasma Guanosine, Inosine, Adenosine, and Hypoxanthine
4.11. Statistical Analysis
5. Conclusions
Supplementary Materials
Author Contributions
Funding
Acknowledgments
Conflicts of Interest
References
- Kuhn, V.; Diederich, L.; Stevenson Keller IV, T.C.; Kramer, C.M.; Lückstädt, W.; Panknin, C.; Suvorava, T.; Isakson, B.E.; Kelm, M.; Cortese-Krott, M.M. Red Blood Cell Function and Dysfunction: Redox Regulation, Nitric Oxide Metabolism, Anemia. Antioxid. Redox. Signal. 2017, 26, 718–742. [Google Scholar] [CrossRef] [PubMed]
- Mairbäurl, H. Red blood cells in sports: Effects of exercise and training on oxygen supply by red blood cells. Front. Physiol. 2013, 4, 332–345. [Google Scholar] [CrossRef] [PubMed]
- Dudzinska, W.; Suska, M.; Lubkowska, A.; Jakubowska, K.; Olszewska, M.; Safranow, K.; Chlubek, D. Comparison of human erythrocyte purine nucleotide metabolism and blood purine and pyrimidine degradation product concentrations before and after acute exercise in trained and sedentary subjects. J. Physiol. Sci. 2018, 68, 293–305. [Google Scholar] [CrossRef] [PubMed]
- Kinoshita, A.; Tsukada, K.; Soga, T.; Hishiki, T.; Ueno, Y.; Nakayama, Y.; Tomita, M.; Suematsu, M. Roles of Hemoglobin Allostery in Hypoxia-induced Metabolic Alterations in Erythrocytes. J. Biol. Chem. 2007, 282, 10731–10741. [Google Scholar] [CrossRef] [PubMed]
- Cipryan, L.; Tschakert, G.; Hofmann, P. Acute and Post-Exercise Physiological Responses to High-Intensity Interval Training in Endurance and Sprint Athletes. J. Sports Sci. Med. 2017, 16, 219–229. [Google Scholar]
- Sentürk, U.K.; Gündüz, F.; Kuru, O.; Koçer, G.; Ozkaya, Y.G.; Yesilkaya, A.; Bor-Küçükatay, M.; Uyüklü, M.; Yalçin, O.; Baskurt, O.K. Exercise-induced oxidative stress leads hemolysis in sedentary but not trained humans. J. Appl. Physiol. 2005, 99, 1434–1441. [Google Scholar] [CrossRef]
- Ataullakhanov, F.I.; Vitvitsky, M. What determines the intracellular ATP concentration. Biosci. Rep. 2002, 22, 501–511. [Google Scholar] [CrossRef]
- De la Fuente, I.M.; Cortés, J.M.; Valero, E.; Desroches, M.; Rodrigues, S.; Malaina, I.; Martínez, L. On the dynamics of the adenylate energy system: Homeorhesis vs homeostasis. PLoS ONE 2014, 9, e108676. [Google Scholar] [CrossRef]
- Dudzinska, W.; Lubkowska, A.; Dolegowska, B.; Safranow, K.; Jakubowska, K. Adenine, guanine and pyridine nucleotides in blood during physical exercise and restitution in healthy subjects. Eur. J. Appl. Physiol. 2010, 110, 1155–1162. [Google Scholar] [CrossRef]
- Yamamoto, T.; Moriwaki, Y.; Takahashi, S.; Ishizashi, H.; Higashino, K. Effect of muscular exercise by bicycle ergometer on erythrocyte purine nucleotides. Horm. Metab. Res. 1994, 26, 504–508. [Google Scholar] [CrossRef]
- Yeung, P.K.F.; Dauphinee, J.; Gouzoules, T.; Simonson, K.; Schindler, C. Exercise improves hemodynamic profiles and increases red blood cell concentrations of purine nucleotides in a rodent model. Ther. Adv. Cardiovasc. Dis. 2010, 4161, 341–347. [Google Scholar] [CrossRef] [PubMed]
- Bompa, T.; Buzzichelli, C. Periodization Training for Sports; Human Kinetics: Champaign, IL, USA, 2015. [Google Scholar]
- Zieliński, J.; Kusy, K. Training-induced changes in purine metabolism in high-level sprinters vs triathletes. J. Appl. Physiol. 2012, 112, 542–551. [Google Scholar] [CrossRef] [PubMed]
- Zieliński, J.; Kusy, K.; Rychlewski, T. Effect of training load structure on purine metabolism in middle-distance runners. Med. Sci. Sports Exerc. 2011, 43, 1798–1807. [Google Scholar] [CrossRef] [PubMed]
- Zieliński, J.; Kusy, K.; Słomińska, E. Alterations in purine metabolism in middle-aged elite, amateur, and recreational runners across a 1-year training cycle. Eur. J. Appl. Physiol. 2013, 113, 763–773. [Google Scholar] [CrossRef] [PubMed]
- Zieliński, J.; Kusy, K. Pathways of purine metabolism: Effects of exercise and training in competitive athletes. TSS 2015, 3, 103–112. [Google Scholar]
- Zieliński, J.; Kusy, K. Hypoxanthine: A universal metabolic indicator of the training status in competitive sport. Exerc. Sport Sci. Rev. 2015, 43, 214–221. [Google Scholar] [CrossRef] [PubMed]
- Azeredo, F.A.M.; Feussner, G.K.; Lust, W.D.; Passonneau, J.V. An enzymatic method for the measurement of GTP and GDP in biological samples. Anal. Biochem. 1979, 95, 512–519. [Google Scholar] [CrossRef]
- Hellsten-Westing, Y.; Balsom, P.D.; Norman, B.; Sjödin, B. The effect of high-intensity training on purine metabolism in man. Acta Physiol. Scand. 1993, 149, 405–412. [Google Scholar] [CrossRef]
- Stathis, C.G.; Zhao, S.; Carey, M.F.; Snow, R.J. Purine loss after repeated sprint bouts in humans. J. Appl. Physiol. 1999, 87, 2037–2042. [Google Scholar] [CrossRef]
- Kistner, S.; Rist, M.J.; Krüger, R.; Döring, M.; Schlechtweg, S.; Bub, A. High-Intensity Interval Training Decreases Resting Urinary Hypoxanthine Concentration in Young Active Men-A Metabolomic Approach. Metabolites 2019, 9, 137. [Google Scholar] [CrossRef]
- Smolenski, R.T.; Montero, C.; Duley, J.A.; Simmonds, H.A. Effects of adenosine analogues on ATP concentrations in human erythrocytes. Further evidence for a route independent of adenosine kinase. Biochem. Pharmacol. 1991, 42, 1767–1773. [Google Scholar] [CrossRef]
- Zimmermann, H.; Zebisch, M.; Sträter, N. Cellular function and molecular structure of ecto-nucleotidases. Purinergic Signal 2012, 8, 437–502. [Google Scholar] [CrossRef] [PubMed]
- Langfort, J.; Czarnowski, D.; Pilis, W.; Wojcik, B.; Gorski, J. Effect of various types of exercise training on 5’-nucleotidase and adenosine deaminase activities in rat heart: Influence of a single bout of endurance exercise. Biochem. Mol. Med. 1996, 59, 28–32. [Google Scholar] [CrossRef] [PubMed]
- Roque, F.R.; Soci, U.P.; De Angelis, K.; Coelho, M.A.; Furstenau, C.R.; Vassallo, D.V.; Irigoyen, M.C.; Oliveira, E.M. Moderate exercise training promotes adaptations in coronary blood flow and adenosine production in normotensive rats. Clinics 2011, 66, 2105–2111. [Google Scholar] [CrossRef] [PubMed]
- Adair, T.H. Growth regulation of the vascular system: An emerging role for adenosine. Am. J. Physiol. 2005, 289, 283–296. [Google Scholar] [CrossRef] [PubMed]
- Auchampach, J.A. Adenosine receptors and angiogenesis. Circ. Res. 2007, 101, 1075–1077. [Google Scholar] [CrossRef] [PubMed]
- Simpson, R.E.; Phillis, J.W. Adenosine in exercise adaptation. Br. J. Sp. Med. 1992, 26, 54–58. [Google Scholar] [CrossRef]
- Kerksick, C.M.; Wilborn, C.D.; Smith-Ryan, A.; Kleiner, S.M.; Jager, R.; Colloins, R.; Cooke, M.; Davis, J.N.; Galvan, E.; Greenwood, M.; et al. ISSN exercise & sport nutrition review: Research & recommendations. J. Int. Soc. Sports Nutr. 2018, 15, 38. [Google Scholar] [CrossRef]
- Ciekot-Sołtysiak, M.; Kusy, K.; Podgórski, T.; Zieliński, J. Training-induced annual changes in red blood cell profile in highly-trained endurance and speed-power athletes. J. Sports Med. Phys. Fitness 2018, 58, 1859–1866. [Google Scholar] [CrossRef]
- Edvardsen, E.; Hem, E.; Anderssen, S.A. End Criteria for Reaching Maximal Oxygen Uptake Must Be Strict and Adjusted to Sex and Age: A Cross-Sectional Study. PLoS ONE 2014, 9, e85276. [Google Scholar] [CrossRef]
- Smolenski, R.T.; Lachno, D.R.; Ledingham, S.J.M.; Yacoub, M.H. Determinationof16nucleotides, nucleosides and bases using high-performance liquid-chromatography and its application to the study of purine metabolism in hearts for transplantation. J. Chromatogr. 1990, 527, 414–420. [Google Scholar] [CrossRef]
- Zieliński, J.; Słominska, E.M.; Król-Zielińska, M.; Krasiński, Z.; Kusy, K. Purine metabolism in sprint- vs endurance-trained athletes aged 20–90 years. Sci. Rep. 2019, 19, 12075. [Google Scholar] [CrossRef] [PubMed]




| Training Phases | Endurance | Sprint | Recreation | ANOVA ** |
|---|---|---|---|---|
| Weight, kg | ||||
| transition | 74.2 ± 3.28 †c | 80.6 ± 4.80 gsc | 78.4 ± 3.50 gsc | 0.002 |
| general | 73.6 ± 3.07 †‡c | 79.1 ± 4.80 | 79.3 ± 3.44 | 0.002 |
| specific | 73.6 ± 3.11 †‡c | 79.6 ± 4.80 | 79.1 ± 3.18 | 0.001 |
| competition | 72.6 ± 3.78 †‡ | 79.2 ± 4.33 | 79.0 ± 3.00 | 0.000 |
| ANOVA * | 0.000 | 0.000 | 0.001 | |
| BMI, kg/m2 | ||||
| transition | 22.5 ± 1.46 †c | 24.5 ± 1.79 gsc | 23.2 ± 0.80 | 0.010 |
| general | 22.4 ± 1.33 †c | 24.0 ± 1.76 | 23.4 ± 0.77 | 0.025 |
| specific | 22.3 ± 1.35 †c | 24.2 ± 1.77 | 23.4 ± 0.76 | 0.014 |
| competition | 22.0 ± 1.51 † | 24.0 ± 1.80 | 23.6 ± 0.9 | 0.008 |
| ANOVA * | 0.000 | 0.000 | 0.067 | |
| Hb, g/dl | ||||
| transition | 16.1 ± 0.54 †‡ | 15.4 ± 0.48 | 15.1 ± 0.36 | 0.000 |
| general | 16.0 ± 0.93 ‡ | 15.5 ± 0.91 | 14.9 ± 0.30 | 0.005 |
| specific | 16.1 ± 0.68 ‡ | 15.5 ± 0.86 | 15.0 ± 0.43 | 0.005 |
| competition | 16.2 ± 0.92 †‡ | 15.3 ± 0.72 | 15.1 ± 0.34 | 0.002 |
| ANOVA * | 0.819 | 0.615 | 0.040 | |
| Hct, % | ||||
| transition | 47.1 ± 2.13 †‡ | 44.2 ± 0.92 gs | 43.3 ± 0.57 | 0.000 |
| general | 47.0 ± 2.07 †‡ | 43.9 ± 0.91 c | 43.2 ± 0.86 | 0.000 |
| specific | 47.0 ± 2.17 †‡ | 43.9 ± 0.91 | 43.6 ± 0.83 | 0.000 |
| competition | 47.2 ± 3.34 †‡ | 44.4 ± 0.93 | 43.5 ± 0.81 | 0.000 |
| ANOVA * | 0.982 | 0.000 | 0.438 | |
| LA rest, mmol/L | ||||
| transition | 1.01 ± 0.25 | 0.95 ± 0.18 | 1.00 ± 0.15 | 0.731 |
| general | 1.28 ± 0.32 | 1.08 ± 0.21 s | 1.01 ± 0.19 | 0.042 |
| specific | 1.18 ± 0.49 | 0.87 ± 0.20 c | 1.06 ± 0.12 | 0.081 |
| competition | 1.38 ± 0.49 | 1.07 ± 0.19 | 1.05 ± 0.09 | 0.031 |
| ANOVA * | 0.171 | 0.001 | 0.649 | |
| LA max, mmol/L | ||||
| transition | 10.01 ± 0.93 | 10.02 ± 0.93 | 10.31 ± 0.88 | 0.677 |
| general | 10.73 ± 1.16 | 10.21 ± 1.09 | 10.13 ± 1.22 | 0.436 |
| specific | 10.25 ± 0.90 | 10.68 ± 0.60 | 10.18 ± 1.03 | 0.347 |
| competition | 10.40 ± 1.17 | 10.13 ± 0.74 | 10.22 ± 1.11 | 0.819 |
| ANOVA * | 0.119 | 0.249 | 0.855 | |
| VO2max, mL·kg−1·min−1 | ||||
| transition | 65.5 ± 5.34 †‡sc | 52.6 ± 3.89 gs | 48.1 ± 3.24 | 0.000 |
| general | 67.4 ± 6.09 †‡ | 55.5 ± 3.59 ‡ | 47.4 ± 2.94 | 0.000 |
| specific | 68.9 ± 6.15 †‡ | 56.3 ± 3.24 ‡ | 47.7 ± 2.87 | 0.000 |
| competition | 68.7 ± 6.67 †‡ | 54.7 ± 2.56 ‡ | 47.9 ± 2.88 | 0.000 |
| ANOVA * | 0.000 | 0.001 | 0.195 |
© 2019 by the authors. Licensee MDPI, Basel, Switzerland. This article is an open access article distributed under the terms and conditions of the Creative Commons Attribution (CC BY) license (http://creativecommons.org/licenses/by/4.0/).
Share and Cite
Pospieszna, B.; Kusy, K.; Słomińska, E.M.; Dudzinska, W.; Ciekot-Sołtysiak, M.; Zieliński, J. The Effect of Training on Erythrocyte Energy Status and Plasma Purine Metabolites in Athletes. Metabolites 2020, 10, 5. https://doi.org/10.3390/metabo10010005
Pospieszna B, Kusy K, Słomińska EM, Dudzinska W, Ciekot-Sołtysiak M, Zieliński J. The Effect of Training on Erythrocyte Energy Status and Plasma Purine Metabolites in Athletes. Metabolites. 2020; 10(1):5. https://doi.org/10.3390/metabo10010005
Chicago/Turabian StylePospieszna, Barbara, Krzysztof Kusy, Ewa Maria Słomińska, Wioleta Dudzinska, Monika Ciekot-Sołtysiak, and Jacek Zieliński. 2020. "The Effect of Training on Erythrocyte Energy Status and Plasma Purine Metabolites in Athletes" Metabolites 10, no. 1: 5. https://doi.org/10.3390/metabo10010005
APA StylePospieszna, B., Kusy, K., Słomińska, E. M., Dudzinska, W., Ciekot-Sołtysiak, M., & Zieliński, J. (2020). The Effect of Training on Erythrocyte Energy Status and Plasma Purine Metabolites in Athletes. Metabolites, 10(1), 5. https://doi.org/10.3390/metabo10010005

