Synthesis, Biological Evaluation, Molecular Docking and ADME Studies of Novel Pyrrole-Based Schiff Bases as Dual Acting MAO/AChE Inhibitors
Abstract
1. Introduction
2. Results
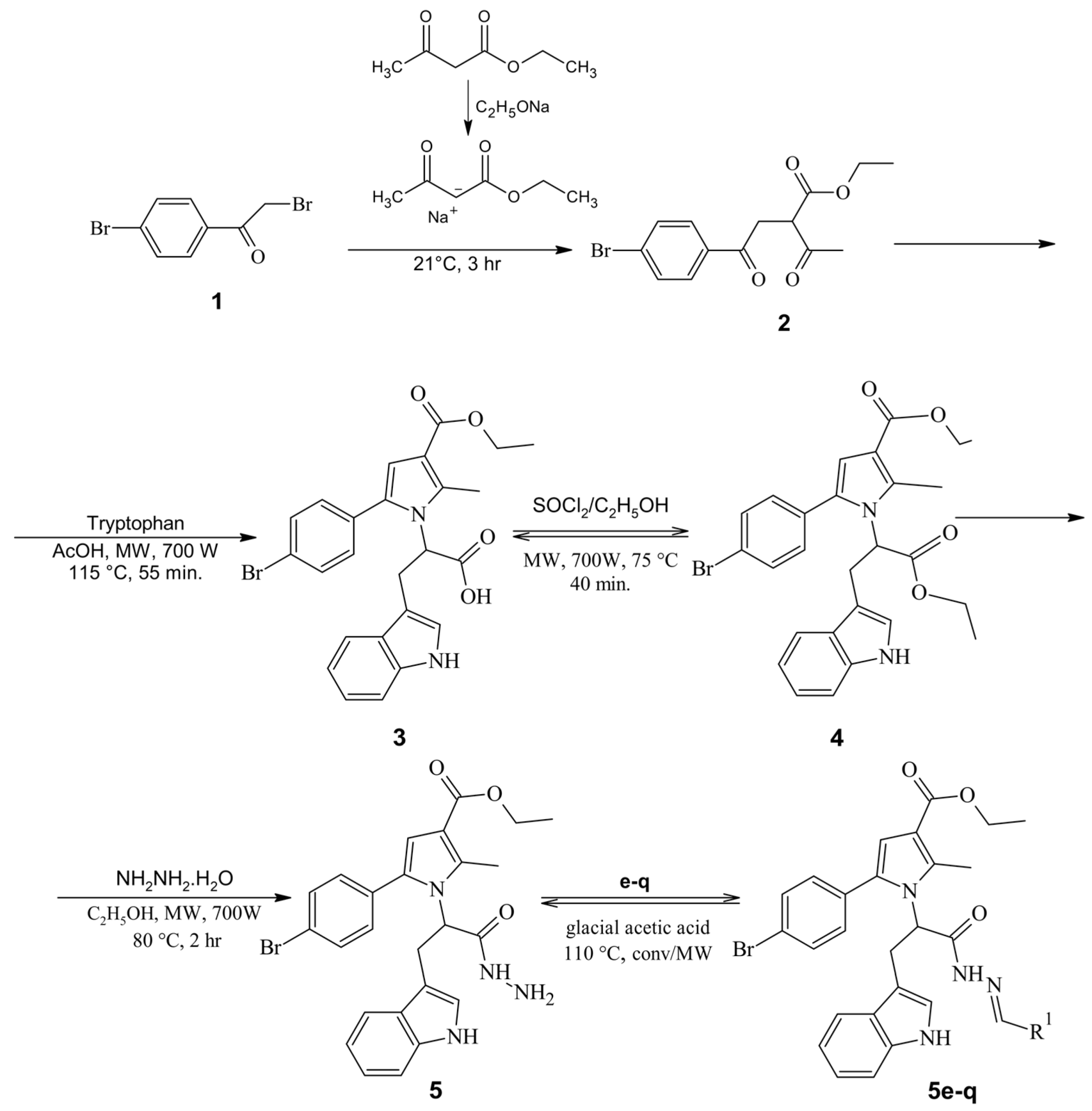
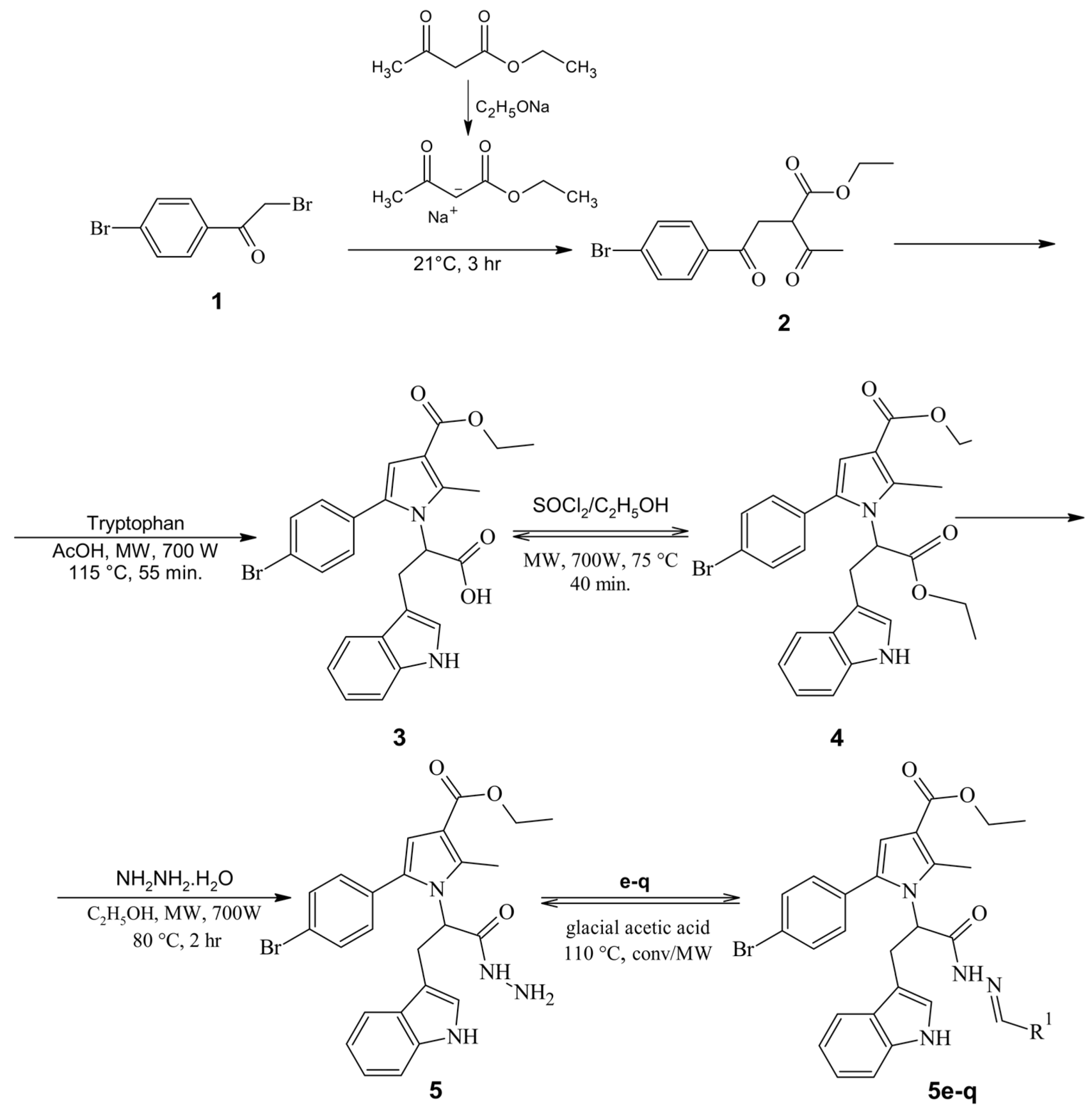
2.1. Chemistry
2.2. In Vitro Assays
2.2.1. Acetylcholinesterase (AChE) Assay
2.2.2. Monoamine oxidase Type B (MAO-B) and Monoamine oxidase Type A (MAO-A) Assays
2.3. Molecular Docking
2.4. Pharmacokinetic Study
2.4.1. ADME Properties Evaluation
2.4.2. BBB PAMPA Permeability Assay
3. Discussion
3.1. Chemistry
3.2. In Vitro Assays
3.3. Molecular Docking Studies
3.4. Pharmacokinetic Study
4. Materials and Methods
4.1. Chemistry
4.1.1. General Experimental Information
4.1.2. General Procedure for the Synthesis of the Target Schiff Bases (5e–q)
4.2. In Vitro Assays
4.2.1. In Vitro MAO-B Activity
4.2.2. In Vitro AChE Activity
4.3. Molecular Docking
4.4. Pharmacokinetic Study
4.4.1. In Silico ADME Simulations
4.4.2. PAMPA-BBB Assay
5. Conclusions
Supplementary Materials
Author Contributions
Funding
Institutional Review Board Statement
Data Availability Statement
Acknowledgments
Conflicts of Interest
References
- Huang, L.K.; Chao, S.P.; Hu, C.J. Clinical trials of new drugs for Alzheimer disease. J. Biomed. Sci. 2020, 27, 18. [Google Scholar] [CrossRef] [PubMed]
- Mathew, B.; Parambi, D.G.T.; Mathew, G.E.; Uddin, M.S.; Inasu, S.T.; Kim, H.; Marathakam, A.; Unnikrishnan, M.K.; Carradori, S. Emerging therapeutic potentials of dual-acting MAO and AChE inhibitors in Alzheimer’s and Parkinson’s diseases. Arch. Pharm. 2019, 352, e1900177. [Google Scholar] [CrossRef] [PubMed]
- Tanzi, R.E. FDA Approval of Aduhelm paves a new path for Alzheimer’s disease. ACS Chem. Neurosci. 2021, 12, 2714–2715. [Google Scholar] [CrossRef] [PubMed]
- Karlawish, J.; Grill, J.D. The approval of Aduhelm risks eroding public trust in Alzheimer research and the FDA. Nat. Rev. Neurol. 2021, 17, 523–524. [Google Scholar] [CrossRef] [PubMed]
- Raina, P.; Santaguida, P.; Ismaila, A.; Patterson, C.; Cowan, D.; Levine, M.; Booker, L.; Oremus, M. Effectiveness of cholinesterase inhibitors and memantine for treating dementia: Evidence review for a clinical practice guideline. Ann. Intern. Med. 2008, 148, 379–397. [Google Scholar] [CrossRef] [PubMed]
- Sitaram, N.; Weingartner, H.; Caine, E.D.; Gillin, J.C. Choline: Selective enhancement of serial learning and encoding of low imagery words in man. Life Sci. 1978, 22, 1555–1560. [Google Scholar] [CrossRef] [PubMed]
- Rullo, M.; La Spada, G.; Miniero, D.V.; Gottinger, A.; Catto, M.; Delre, P.; Mastromarino, M.; Latronico, T.; Marchese, S.; Mangiatordi, G.F.; et al. Bioisosteric replacement based on 1,2,4-oxadiazoles in the discovery of 1H-indazole-bearing neuroprotective MAO B inhibitors. Eur. J. Med. Chem. 2023, 255, 115352. [Google Scholar] [CrossRef] [PubMed]
- Zhang, C.; Lv, Y.; Bai, R.; Xie, Y. Structural exploration of multifunctional monoamine oxidase B inhibitors as potential drug candidates against Alzheimer’s disease. Bioorg. Chem. 2021, 114, 105070. [Google Scholar] [CrossRef] [PubMed]
- Da Prada, M.; Zürcher, G.; Wüthrich, I.; Haefely, W.E. On tyramine, food, beverages and the reversible MAO inhibitor moclobemide. J. Neural. Transm. Suppl. 1988, 26, 31–56. [Google Scholar]
- Raka, S.C.; Ahamed, R.; Rahman, A.; Momen, A.R. In silico discovery of noteworthy multi-targeted acetylcholinesterase inhibitors for the treatment of Alzheimer’s disease. Adv. Tradit. Med. 2020, 20, 351–366. [Google Scholar] [CrossRef]
- Mateev, E.; Georgieva, M.; Zlatkov, A. Pyrrole as an Important Scaffold of Anticancer Drugs: Recent Advances. J. Pharm. Pharm. Sci. 2022, 25, 24–40. [Google Scholar] [CrossRef]
- La Regina, G.; Silvestri, R.; Artico, M.; Lavecchia, A.; Novellino, E.; Befani, O.; Turini, P.; Agostinelli, E. New pyrrole inhibitors of monoamine oxidase: Synthesis, biological evaluation, and structural determinants of MAO-A and MAO-B selectivity. J. Med. Chem. 2007, 50, 922–931. [Google Scholar] [CrossRef] [PubMed]
- Gümüş, M.; Babacan, Ş.N.; Demir, Y.; Sert, Y.; Koca, İ.; Gülçin, İ. Discovery of sulfadrug-pyrrole conjugates as carbonic anhydrase and acetylcholinesterase inhibitors. Arch. Pharm. 2022, 355, e2100242. [Google Scholar] [CrossRef] [PubMed]
- Pourtaher, H.; Hasaninejad, A.; Iraji, A. Design, synthesis, In silico and biological evaluations of novel polysubstituted pyrroles as selective acetylcholinesterase inhibitors against Alzheimer’s disease. Sci. Rep. 2022, 12, 15236. [Google Scholar] [CrossRef]
- Peitzika, S.C.; Pontiki, E. A Review on recent approaches on molecular docking studies of novel compounds targeting acetylcholinesterase in Alzheimer disease. Molecules 2023, 28, 1084. [Google Scholar] [CrossRef]
- Zianna, A.; Geromichalos, G.D.; Pekou, A.; Hatzidimitriou, A.G.; Coutouli-Argyropoulou, E.; Lalia-Kantouri, M.; Pantazaki, A.A.; Psomas, G. A palladium (II) complex with the Schiff base 4-chloro-2-(N-ethyliminomethyl)-phenol: Synthesis, structural characterization, and in vitro and In silico biological activity studies. J. Inorg. Biochem. 2019, 199, 110792. [Google Scholar] [CrossRef]
- Raczuk, E.; Dmochowska, B.; Samaszko-Fiertek, J.; Madaj, J. Different Schiff Bases-structure, importance and classification. Molecules 2022, 27, 787. [Google Scholar] [CrossRef]
- Khan, S.A.; Asiri, A.M. Synthesis and spectroscopic studies of Ru(II) complexes of steroidal thiosemicarbazones by multi step reaction: As anti-bacterial agents. Steroids 2017, 124, 23–28. [Google Scholar] [CrossRef] [PubMed]
- Zafar, W.; Sumrra, S.H.; Chohan, Z.H. A review: Pharmacological aspects of metal based 1,2,4-triazole derived Schiff bases. Eur. J. Med. Chem. 2021, 222, 113602. [Google Scholar] [CrossRef]
- Mohsen, U.; Koçyiğit-Kaymakçıoğlu, B.; Oruç-Emre, E.; Kaplancıklı, Z.; Rollas, S. Studies on hydrazide-hydrazones derivatives as acetylcholinesterase inhibitors. MÜSBED 2015, 1, 10–14. [Google Scholar] [CrossRef]
- Popiołek, Ł. The bioactivity of benzenesulfonyl hydrazones: A short review. Biomed. Pharmacother. 2021, 141, 111851. [Google Scholar] [CrossRef] [PubMed]
- Mateeva, A.; Peikova, L.; Kondeva-Burdina, M.; Georgieva, M. Development of new HPLC method for identification of metabolic degradation of N-pyrrolylhydrazide hydrazones with determined MAO- B activity in cellular cultures. Pharmacia 2022, 69, 15–20. [Google Scholar] [CrossRef]
- Yuldasheva, N.; Acikyildiz, N.; Akyuz, M.; Yabo-Dambagi, L.; Aydin, T.; Cakir, A.; Kazaz, C. The Synthesis of Schiff bases and new secondary amine derivatives of p-vanillin and evaluation of their neuroprotective, antidiabetic, antidepressant and antioxidant potentials. J. Mol. Struct. 2022, 1270, 133883. [Google Scholar] [CrossRef]
- Sumrra, S.H.; Zafar, W.; Asghar, M.L.; Mushtaq, F.; Raza, M.A.; Nazar, M.F.; Nadeem, M.A.; Imran, M.; Mumtaz, S. Computational investigation of molecular structures, spectroscopic properties, cholinesterase inhibition and antibacterial activities of triazole Schiff bases endowed metal chelates. J. Mol. Struct. 2021, 1238, 130382. [Google Scholar] [CrossRef]
- Mateev, E.; Georgieva, M.; Mateeva, A.; Zlatkov, A.; Ahmad, S.; Raza, K.; Azevedo, V.; Barh, D. Structure-based design of novel MAO-B inhibitors: A Review. Molecules 2023, 28, 4814. [Google Scholar] [CrossRef]
- Tok, F.; Koçyiğit-Kaymakçıoğlu, B.; Sağlık, B.N.; Levent, S.; Özkay, Y.; Kaplancıklı, Z.A. Synthesis and biological evaluation of new pyrazolone Schiff bases as monoamine oxidase and cholinesterase inhibitors. Bioorg. Chem. 2019, 84, 41–50. [Google Scholar] [CrossRef] [PubMed]
- Yang, Z.; Sun, P. Compare of three ways of synthesis of simple Schiff base. Molbank 2006, 2006, M514. [Google Scholar] [CrossRef]
- Mateev, E.; Georgieva, M.; Zlatkov, A. Design, microwave-assisted synthesis, biological evaluation, molecular docking, and ADME studies of pyrrole-based hydrazide-hydrazones as potential antioxidant agents. Maced. J. Chem. Chem. 2022, 41, 175–186. [Google Scholar] [CrossRef]
- Chigurupati, S.; Selvaraj, M.; Mani, V.; Selvarajan, K.K.; Mohammad, J.I.; Kaveti, B.; Bera, H.; Palanimuthu, V.R.; The, L.K.; Salleh, M.Z. Identification of novel acetylcholinesterase inhibitors: Indolopyrazoline derivatives and molecular docking studies. Bioorg. Chem. 2016, 67, 9–17. [Google Scholar] [CrossRef]
- Daina, A.; Michielin, O.; Zoete, V. SwissADME: A free web tool to evaluate pharmacokinetics, drug-likeness and medicinal chemistry friendliness of small molecules. Sci. Rep. 2017, 7, 42717. [Google Scholar] [CrossRef]
- Celik, S.; Ozkok, F.; Ozel, A.E.; Cakir, E.; Akyuz, S. Synthesis, FT-IR and NMR characterization, antibacterial and antioxidant activities, and DNA docking analysis of a new vanillin-derived imine compound. J. Mol. Struct. 2021, 1236, 130288. [Google Scholar] [CrossRef]
- Henary, M.; Kananda, C.; Rotolo, L.; Savino, B.; Owens, E.A.; Cravotto, G. Benefits and applications of microwave-assisted synthesis of nitrogen containing heterocycles in medicinal chemistry. RSC Adv. 2020, 10, 14170–14197. [Google Scholar] [CrossRef]
- Kappe, C.O. Controlled microwave heating in modern organic synthesis. Angew. Chem. Int. Ed. Engl. 2004, 43, 6250–6284. [Google Scholar] [CrossRef]
- Jain, A.; De, S.; Barman, P. Microwave-assisted synthesis and notable applications of Schiff-base and metal complexes: A comparative study. Res. Chem. Intermed. 2022, 48, 2199–2251. [Google Scholar] [CrossRef]
- Minders, C.; Petzer, J.P.; Petzer, A.; Lourens, A.C. Monoamine oxidase inhibitory activities of heterocyclic chalcones. Bioorg. Med. Chem. Lett. 2015, 25, 5270–5276. [Google Scholar] [CrossRef] [PubMed]
- Mateev, E.; Kondeva-Burdina, M.; Georgieva, M.; Zlatkov, A. Repurposing of FDA-approved drugs as dual-acting MAO-B and AChE inhibitors against Alzheimer’s disease: An In silico and in vitro study. J. Mol. Graph. Model. 2023, 122, 108471. [Google Scholar] [CrossRef] [PubMed]
- Karunakaran, K.B.; Thiyagaraj, A.; Santhakumar, K. Novel insights on acetylcholinesterase inhibition by Convolvulus pluricaulis, scopolamine and their combination in zebrafish. Nat. Prod. Bioprospect. 2022, 12, 6. [Google Scholar] [CrossRef]
- Balkrishna, A.; Pokhrel, S.; Tomer, M.; Verma, S.; Kumar, A.; Nain, P.; Gupta, A.; Varshney, A. Anti-acetylcholinesterase activities of mono-herbal extracts and exhibited synergistic effects of the phytoconstituents: A biochemical and computational study. Molecules 2019, 24, 4175. [Google Scholar] [CrossRef] [PubMed]
- Tang, H.; Song, P.; Li, J.; Zhao, D. Effect of Salvia miltiorrhiza on acetylcholinesterase: Enzyme kinetics and interaction mechanism merging with molecular docking analysis. Int. J. Biol. Macromol. 2019, 135, 303–313. [Google Scholar] [CrossRef]
- Dasgupta, S.; Mukherjee, S.; Sekar, K.; Mukhopadhyay, B.P. The conformational dynamics of wing gates Ile199 and Phe103 on the binding of dopamine and benzylamine substrates in human monoamine Oxidase B. J. Biomol. Struct. Dyn. 2021, 39, 1879–1886. [Google Scholar] [CrossRef]
- Tzvetkov, N.T.; Hinz, S.; Küppers, P.; Gastreich, M.; Müller, C.E. Indazole- and indole-5-carboxamides: Selective and reversible monoamine oxidase B inhibitors with subnanomolar potency. J. Med. Chem. 2014, 57, 6679–6703. [Google Scholar] [CrossRef] [PubMed]
- Bijev, A. New heterocyclic hydrazones in the search for antitubercular agents: Synthesis and in vitro evaluations. Lett. Drug Des. Dis. 2006, 3, 506–512. [Google Scholar] [CrossRef]
- Kondeva-Burdina, M.; Mateev, E.; Angelov, B.; Tzankova, V.; Georgieva, M. In silico evaluation and in vitro determination of neuroprotective and MAO-B inhibitory effects of pyrrole-based hydrazones: A therapeutic approach to Parkinson’s disease. Molecules 2022, 27, 8485. [Google Scholar] [CrossRef] [PubMed]
- Poovaiah, N.; Davoudi, Z.; Peng, H.; Schlichtmann, B.; Mallapragada, S.; Narasimhan, B.; Wang, Q. Treatment of neurodegenerative disorders through the blood-brain barrier using nanocarriers. Nanoscale 2018, 10, 16962–16983. [Google Scholar] [CrossRef] [PubMed]
- Doytchinova, I.; Atanasova, M.; Valkova, I.; Stavrakov, G.; Philipova, I.; Zhivkova, Z.; Zheleva-Dimitrova, D.; Konstantinov, S.; Dimitrov, I. Novel hits for acetylcholinesterase inhibition derived by docking-based screening on ZINC database. J. Enzyme Inhib. Med. Chem. 2018, 33, 768–776. [Google Scholar] [CrossRef]
- Di, L.; Kerns, E.H.; Fan, K.; McConnell, O.J.; Carter, G.T. High throughput artificial membrane permeability assay for blood-brain barrier. Eur. J. Med. Chem. 2003, 38, 223–232. [Google Scholar] [CrossRef]






![]() | ![]() | ![]() | ![]() |
| e | f | g | h |
![]() | ![]() | ![]() | ![]() |
| i | j | k | l |
![]() | ![]() | ![]() | ![]() |
| m | n | o | p |
![]() | |||
| q |
| Compound | Reaction Time | Yield (%) | ||
|---|---|---|---|---|
| ID | Microwave Synthesis | Conventional Synthesis | Microwave Synthesis | Conventional Synthesis |
| 5e | 5 min | 1 h 30 min | 91% | 68% |
| 5f | 45 s | 50 min | 94% | 77% |
| 5g | 5 min | 1 h 30 min | 88% | 61% |
| 5h | 3 min | 1 h | 72% | 59% |
| 5i | 5 min | 1 h | 81% | 73% |
| 5j | 45 s | 45 min | 79% | 65% |
| 5k | 5 min | 1 h 30 min | 75% | 56% |
| 5l | 5 min | 1 h 30 min | 74% | 68% |
| 5m | 5 min | 1 h 30 min | 82% | 59% |
| 5n | 30 s | 45 min | 86% | 89% |
| 5o | 30 s | 40 min | 82% | 83% |
| 5p | 45 s | 50 min | 89% | 73% |
| 5q | 45 s | 50 min | 92 % | 78% |
| Descriptors | 5j |
|---|---|
| (a) Molecular weight | 632.46 |
| (b) Acc HB | 6 |
| (c) Donor HB | 2 |
| (d) QPLog Po/w | 6.944 |
| (e) QPLog S | −10.009 |
| (f) QPLog BB | −2.633 |
| (g) % Human Oral Absorption | 62 |
| (h) PSA | 149 |
| (i) Rule of Five | 3 |
| (j) Number of primary metabolites | 4 |
| PAMPA ID | Mw g/mol | pKa 1 | Consensus LogP SwissADME 2 | PAMPA BBB −logPe |
| 5a * | 627 | 11.18 | 5.75 | 5.451 ± 0.005 |
| 5d * | 642 | 9.01 | 5.36 | 5.761 ± 0.101 |
| 5j | 613 | 10.71 | 4.75 | 5.27 1± 0.041 |
Disclaimer/Publisher’s Note: The statements, opinions and data contained in all publications are solely those of the individual author(s) and contributor(s) and not of MDPI and/or the editor(s). MDPI and/or the editor(s) disclaim responsibility for any injury to people or property resulting from any ideas, methods, instructions or products referred to in the content. |
© 2024 by the authors. Licensee MDPI, Basel, Switzerland. This article is an open access article distributed under the terms and conditions of the Creative Commons Attribution (CC BY) license (https://creativecommons.org/licenses/by/4.0/).
Share and Cite
Mateev, E.; Kondeva-Burdina, M.; Georgieva, M.; Mateeva, A.; Valkova, I.; Tzankova, V.; Zlatkov, A. Synthesis, Biological Evaluation, Molecular Docking and ADME Studies of Novel Pyrrole-Based Schiff Bases as Dual Acting MAO/AChE Inhibitors. Sci. Pharm. 2024, 92, 18. https://doi.org/10.3390/scipharm92020018
Mateev E, Kondeva-Burdina M, Georgieva M, Mateeva A, Valkova I, Tzankova V, Zlatkov A. Synthesis, Biological Evaluation, Molecular Docking and ADME Studies of Novel Pyrrole-Based Schiff Bases as Dual Acting MAO/AChE Inhibitors. Scientia Pharmaceutica. 2024; 92(2):18. https://doi.org/10.3390/scipharm92020018
Chicago/Turabian StyleMateev, Emilio, Magdalena Kondeva-Burdina, Maya Georgieva, Alexandrina Mateeva, Iva Valkova, Virginia Tzankova, and Alexander Zlatkov. 2024. "Synthesis, Biological Evaluation, Molecular Docking and ADME Studies of Novel Pyrrole-Based Schiff Bases as Dual Acting MAO/AChE Inhibitors" Scientia Pharmaceutica 92, no. 2: 18. https://doi.org/10.3390/scipharm92020018
APA StyleMateev, E., Kondeva-Burdina, M., Georgieva, M., Mateeva, A., Valkova, I., Tzankova, V., & Zlatkov, A. (2024). Synthesis, Biological Evaluation, Molecular Docking and ADME Studies of Novel Pyrrole-Based Schiff Bases as Dual Acting MAO/AChE Inhibitors. Scientia Pharmaceutica, 92(2), 18. https://doi.org/10.3390/scipharm92020018














