Anti-Inflammatory Property Establishment of Fulvic Acid Transdermal Patch in Animal Model
Abstract
1. Introduction
2. Materials and Methods
2.1. Materials
2.2. Solid-State 13C NMR
2.3. FTIR Analysis
2.4. Photoluminescence Analysis
2.5. SEM and EDXMA Studies
2.6. Zeta Potential Analysis
2.7. The Particle Size Analysis
2.8. Fulvic Acid Preparation
2.9. Transdermal Patches Preparation
2.10. Release Study
2.11. Biological Activity
2.11.1. Model of Adjuvant-Induced Arthritis
2.11.2. Histopathological Studies
2.11.3. Evaluation of Biochemical Indexes
2.12. Statistical Analysis
3. Results
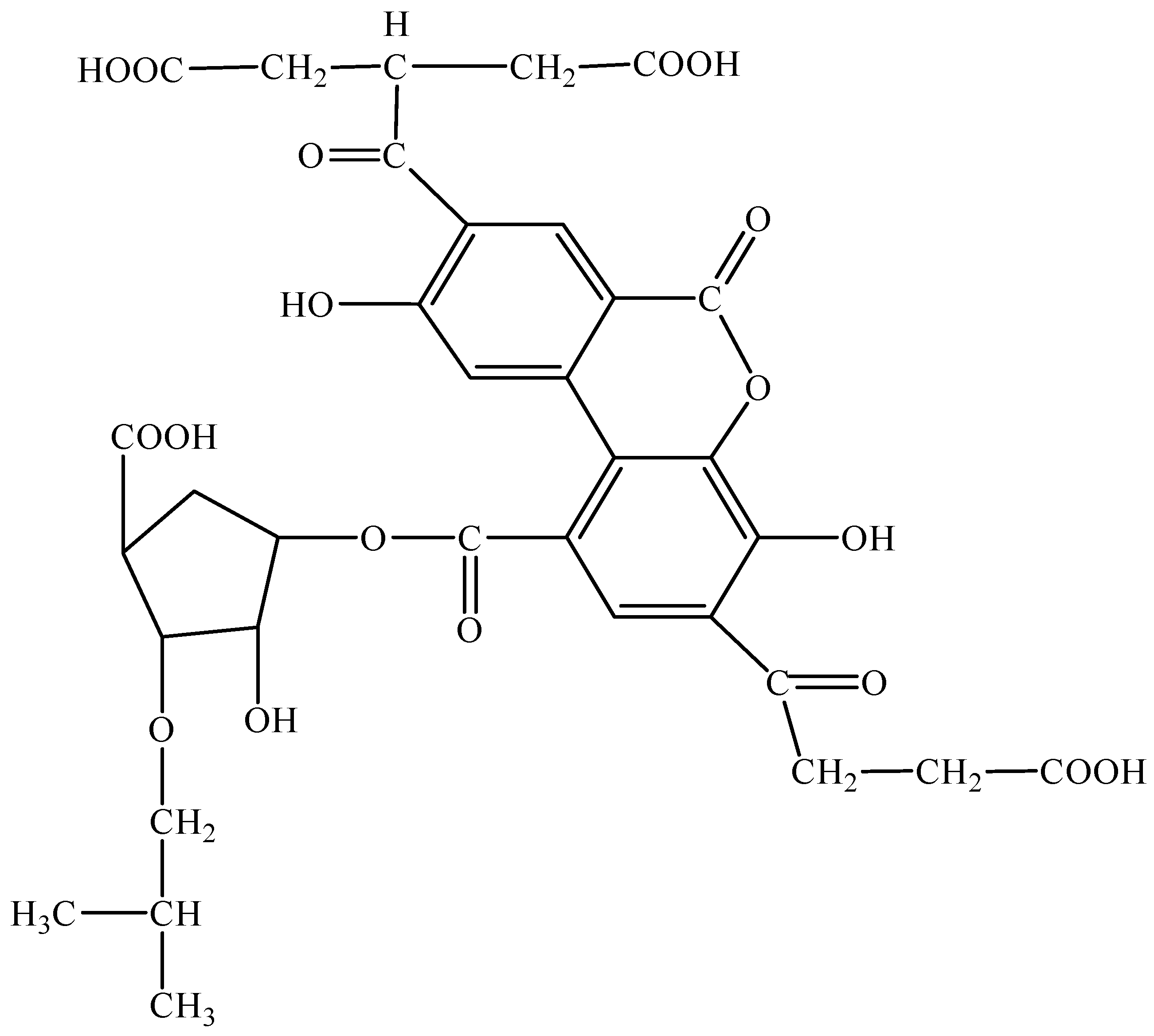
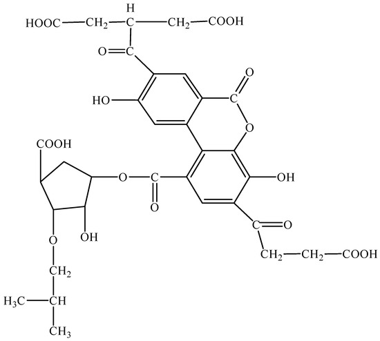
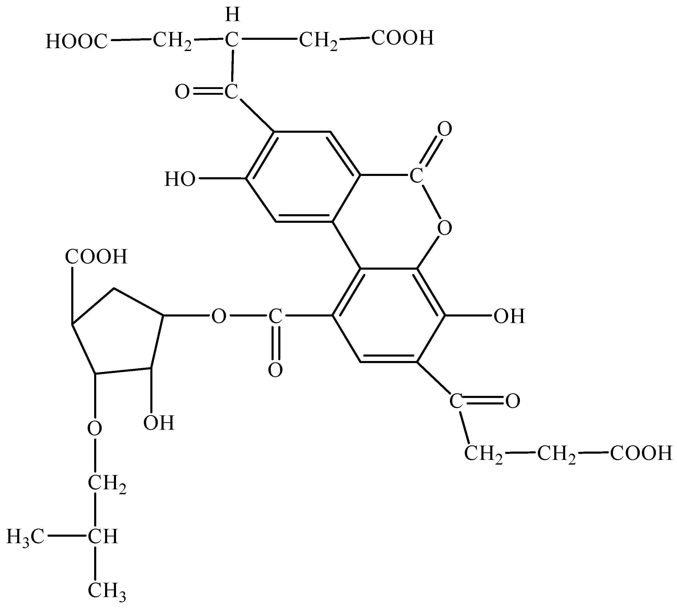
3.1. FA Properties and Transdermal Patches Preparation
3.2. The Release of FA through the Cellulose and Acetyl Cellulose Membranes
3.3. Biological Activity of the FA Patch on the Adjuvant-Induced Arthritis Model in Rats
4. Discussion
5. Conclusions
Supplementary Materials
Author Contributions
Funding
Institutional Review Board Statement
Informed Consent Statement
Data Availability Statement
Acknowledgments
Conflicts of Interest
References
- Rodríguez, N.C.; Urrutia, E.C.; Gertrudis, B.H.; Chaverri, J.P.; Mejía, G.B. Antioxidant activity of fulvic acid: A living matter-derived bioactive compound. J. Food Agric. Environ. 2011, 9, 123–127. [Google Scholar]
- Aeschbacher, M.; Graf, C.; Schwarzenbach, R.P.; Sander, M. Antioxidant Properties of Humic Substances. Environ. Sci. Technol. 2012, 46, 4916–4925. [Google Scholar] [CrossRef] [PubMed]
- Khuda, F.; Anjum, M.; Khan, S.; Khan, H.; Sahibzada, M.U.K.; Khusro, A.; Jan, A.; Ullah, N.; Shah, Y.; Zakiullah; et al. Antimicrobial, anti-inflammatory and antioxidant activities of natural organic matter extracted from cretaceous shales in district Nowshera-Pakistan. Arab. J. Chem. 2022, 15, 103633. [Google Scholar] [CrossRef]
- Shikalgar, T.S.; Naikwade, N.S. Evaluation of cardioprotective activity of fulvic acid against isoproterenol induced oxidative damage in rat myocardium. Int. Res. J. Pharm. 2018, 9, 71–80. [Google Scholar] [CrossRef]
- Csicsor, A.; Tombácz, E. Screening of Humic Substances Extracted from Leonardite for Free Radical Scavenging Activity Using DPPH Method. Molecules 2022, 27, 6334. [Google Scholar] [CrossRef]
- Vašková, J.; Stupák, M.; Ugurbaş, M.V.; Žatko, D.; Vaško, L. Therapeutic Efficiency of Humic Acids in Intoxications. Life 2023, 13, 971. [Google Scholar] [CrossRef]
- Swat, M.; Rybicka, I.; Gliszczyńska-Świgło, A. Characterization of Fulvic Acid Beverages by Mineral Profile and Antioxidant Capacity. Foods 2019, 8, 605. [Google Scholar] [CrossRef] [PubMed]
- Pant, K.; Gupta, A.; Gupta, P.; Ashraf, A.; Yadav, A.; Venugopal, S. Anti-Proliferative and Anticancer Properties of Fulvic Acid on Hepatic Cancer Cells. J. Clin. Exp. Hepatol. 2015, 5, S2. [Google Scholar] [CrossRef]
- Pant, K.; Singh, B.; Thakur, N. Shilajit: A humic matter panacea for cancer. Int. J. Toxicol. Pharmacol. Res. 2012, 4, 17–25. [Google Scholar]
- Huang, W.-S.; Yang, J.-T.; Lu, C.-C.; Chang, S.-F.; Chen, C.-N.; Su, Y.-P.; Lee, K.-C. Fulvic Acid Attenuates Resistin-Induced Adhesion of HCT-116 Colorectal Cancer Cells to Endothelial Cells. Int. J. Mol. Sci. 2015, 16, 29370–29382. [Google Scholar] [CrossRef]
- Jayasooriya, R.G.P.T.; Dilshara, M.G.; Kang, C.-H.; Lee, S.; Choi, Y.H.; Jeong, Y.K.; Kim, G.-Y. Fulvic acid promotes extracellular anti-cancer mediators from RAW 264.7 cells, causing to cancer cell death in vitro. Int. Immunopharmacol. 2016, 36, 241–248. [Google Scholar] [CrossRef] [PubMed]
- Hafez, M.; Popov, A.I.; Zelenkov, V.N.; Teplyakova, T.V.; Rashad, M. Humic substances as an environmental-friendly organic wastes potentially help as natural anti-virus to inhibit COVID-19. Sci. Arch. 2020, 1, 53–60. [Google Scholar] [CrossRef]
- Socol, D.C. Clinical review of humic acid as an antiviral: Leadup to translational applications in clinical humeomics. Front. Pharmacol. 2023, 13, 1018904. [Google Scholar] [CrossRef] [PubMed]
- Zhernov, Y.V.; Konstantinov, A.I.; Zherebker, A.; Nikolaev, E.; Orlov, A.; Savinykh, M.I.; Kornilaeva, G.V.; Karamov, E.V.; Perminova, I.V. Antiviral activity of natural humic substances and shilajit materials against HIV-1: Relation to structure. Environ. Res. 2021, 193, 110312. [Google Scholar] [CrossRef]
- van Rensburg, C.E. The Antiinflammatory Properties of Humic Substances: A Mini Review. Phytother. Res. 2015, 29, 791–795. [Google Scholar] [CrossRef]
- Sabi, R.; Very, P.; van Rensburg, C.E.J. Carbohydrate-derived Fulvic acid (CHD-FA) inhibits Carrageenan-induced inflammation and enhances wound healing: Efficacy and Toxicity study in rats. Drug Dev. Res. 2012, 73, 18–23. [Google Scholar] [CrossRef]
- Vucskits, A.V.; Hullár, I.; Bersényi, A.; Andrásofszky, E.; Kulcsár, M.; Szabó, J. Effect of fulvic and humic acids on performance, immune response and thyroid function in rats. J. Anim. Physiol. Anim. Nutr. 2010, 94, 721–728. [Google Scholar] [CrossRef]
- Schepetkin, I.A.; Xie, G.; Jutila, M.A.; Quinn, M.T. Complement-fixing activity of fulvic acid from Shilajit and other natural. Phytother Res. 2009, 23, 373–384. [Google Scholar] [CrossRef]
- Güngen, G.; Ardic, F.; Fιndıkoğlu, G.; Rota, S. The effect of mud pack therapy on serum YKL-40 and hsCRP levels in patients with knee osteoarthritis. Rheumatol. Int. 2012, 32, 1235–1244. [Google Scholar] [CrossRef]
- Wu, C.; Lyu, A.; Shan, S. Fulvic Acid Attenuates Atopic Dermatitis by Downregulating CCL17/22. Molecules 2023, 28, 3507. [Google Scholar] [CrossRef]
- Zahan, O.-M.; Serban, O.; Gherman, C.; Fodor, D. The evaluation of oxidative stress in osteoarthritis. Med. Pharm. Rep. 2020, 93, 12–22. [Google Scholar] [CrossRef]
- Tishenin, R.S.; Filonenko, T.A.; Dreval, A.V.; Kamynina, T.S. Lipid peroxidation and a-tocopherol in patients with diffuse toxic goiter. Probl. Endocrinol. 2000, 46, 26–28. [Google Scholar] [CrossRef]
- Boguta, P.; Sokołowska, Z. Zinc Binding to Fulvic acids: Assessing the Impact of pH, Metal Concentrations and Chemical Properties of Fulvic Acids on the Mechanism and Stability of Formed Soluble Complexes. Molecules 2020, 25, 1297. [Google Scholar] [CrossRef]
- Zhang, Y.; Liu, C.; Li, Y.; Song, L.; Yang, J.; Zuo, R.; Li, J.; Teng, Y.; Wang, J. Spectroscopic Characteristics and Speciation Distribution of Fe (III) Binding to Molecular Weight-Dependent Standard Pahokee Peat Fulvic Acid. Int. J. Environ. Res. Public Health 2022, 19, 7838. [Google Scholar] [CrossRef]
- Gao, H.; Tao, H.; Yang, Y.; Che, Q.; Tang, Q.; Gu, Y. Effect of Humus on the Solidification and Stabilization of Heavy Metal Contaminated River Sediment. Int. J. Environ. Res. Public Health 2023, 20, 4882. [Google Scholar] [CrossRef] [PubMed]
- Nikishina, M.; Perelomov, L.; Atroshchenko, Y.; Ivanova, E.; Mukhtorov, L.; Tolstoy, P. Sorption of Fulvic Acids and Their Compounds with Heavy Metal Ions on Clay Minerals. Soil Syst. 2022, 6, 2. [Google Scholar] [CrossRef]
- Khan, R.; Mirza, M.A.; Aqil, M.; Alex, T.S.; Raj, N.; Manzoor, N.; Naseef, P.P.; Saheer Kuruniyan, M.; Iqbal, Z. In Vitro and In Vivo Investigation of a Dual-Targeted Nanoemulsion Gel for the Amelioration of Psoriasis. Gels 2023, 9, 112. [Google Scholar] [CrossRef]
- Khan, R.; Mirza, M.A.; Aqil, M.; Hassan, N.; Zakir, F.; Ansari, M.J.; Iqbal, Z. A Pharmaco-Technical Investigation of Thymoquinone and Peat-Sourced Fulvic Acid Nanoemulgel: A Combination Therapy. Gels 2022, 8, 733. [Google Scholar] [CrossRef]
- Solovyeva, A.; Peretyagin, P.; Vorobyova, O.; Didenko, N.; Korobko, V.; Jdanovich, I.; Melnikova, N. The Dermatological Hydrogel Containing Fulvic Acids. Int. J. Pharm. Sci. Rev. Res. 2017, 47, 52–57. [Google Scholar]
- Gandy, J.J.; Snyman, J.R.; van Rensburg, C.E. Randomized, parallel-group, double-blind, controlled study to evaluate the efficacy and safety of carbohydrate-derived fulvic acid in topical treatment of eczema. Clin. Cosmet. Investig. Dermatol. 2011, 11, 145–148. [Google Scholar] [CrossRef] [PubMed][Green Version]
- Byung Wan, J.; JunHo, J.; Yunsung, L. Development of functional nourishing cream using fulvic acid. J. Pharm. Biol. Sci. (IOSR-JPBS) 2017, 12, 47–58. [Google Scholar]
- Zhang, Y.; Gao, Z.; Chao, S.; Lu, W.; Zhang, P. Transdermal delivery of inflammatory factors regulated drugs for rheumatoid arthritis. Drug Deliv. 2022, 29, 1934–1950. [Google Scholar] [CrossRef] [PubMed]
- Kandil, L.S.; Hanafy, A.S.; Abdelhady, S.A. Galantamine transdermal patch shows higher tolerability over oral galantamine in rheumatoid arthritis rat model. Drug Dev. Ind. Pharm. 2020, 46, 996–1004. [Google Scholar] [CrossRef] [PubMed]
- Ozawa, J.; Kurose, T.; Kawamata, S.; Yamaoka, K. Morphological changes in hind limb muscles elicited by adjuvant-induced arthritis of the rat knee. Scand. J. Med. Sci. Sports 2010, 20, e72–e79. [Google Scholar] [CrossRef]
- Kryl’skii, E.D.; Popova, T.N.; Kirilova, E.M. The effect of thioctic acid on the oxidative status of tissues in rats with rheumatoid arthritis. Chem. Pharm. J. 2015, 49, 8–11. [Google Scholar] [CrossRef]
- Lamar, R.T.; Olk, D.C.; Mayhew, L.; Bloom, P.R. A New Standardized Method for Quantification of Humic and Fulvic Acids in Humic Ores and Commercial Products. J. AOAC Int. 2014, 97, 721–730. [Google Scholar] [CrossRef]
- Tang, Q.; Su, Y.W.; Xian, C.J. Determining Oxidative Damage by Lipid Peroxidation Assay in Rat Serum. Bio Protoc. 2019, 9, e3263. [Google Scholar] [CrossRef]
- Sirota, T.V. A new approach to studying the autoxidation of adrenaline: Possibility of the determinationof superoxide dismutase activity and the antioxidant properties of various preparations by polarography. Biomeditsinskaya Khimiya 2012, 58, 77–87. [Google Scholar] [CrossRef][Green Version]
- Packer, L. Catalase In Vitro. In Methods in Enzymology; Academic Press: Cambridge, MA, USA, 1984; Volume 105, pp. 121–126. [Google Scholar]
- Sibgatullina, G.V.; Khartendinova, L.R.; Gumerova, E.A.; Akulov, A.N.; Kostyukova, Y.A.; Nikonorova, N.A.; Rumyantseva, N.I. Methods for Determining the Redox Status of Cultured Plant Cells, 1st ed.; Kazan Federal University (KFU): Kazan, Russia, 2011; pp. 18–20. [Google Scholar]
- Solovyeva, A.G.; Zimin, Y.V. A new way to assess the dynamics of blood metabolism in patients with thermal trauma. Mod. Technol. Med. 2012, 2, 116–117. [Google Scholar]
- Dawson, J.M.; Heatlic, P.L. Lowry method of protein quantification evidence for photosensitivity. Anal. Biochem. 1984, 140, 391–393. [Google Scholar] [CrossRef]
- Guru, S.C.; Shetty, K.T. Methodological aspects of aldehyde dehydrogenase assay by spectrophotometric technique. Alcohol 1990, 7, 397–401. [Google Scholar] [CrossRef] [PubMed]
- Vershinin, V.I.; Vlasova, I.V.; Nikiforova, I.A. Analytical Chemistry; Publishing Center “Academy”: Moscow, Russia, 2011; p. 444. [Google Scholar]
- Lugovskaya, S.A.; Morozova, V.T.; Pochtar’, M.E.; Dolgov, V.V. Laboratory Hematology; Publishing House “Triad”: Tver, Russia, 2006; p. 158. [Google Scholar]
- Melnikova, N.; Solovjevaa, O.; Vorobyovaa, O.; Solovyeva, A.; Peretyagin, P.; Didenko, N.; Korobko, V. The Humic Acids of Peat. Physico-Chemical Properties and Biological Activity in Erythrocytes. Int. J. Pharm. Sci. Rev. Res. 2017, 45, 278–285. [Google Scholar]
- Khil’ko, S.L.; Kovtun, A.I.; Rybachenko, V.I. Potentiometric Titration of Humic Acids. Solid Fuel Chem. 2011, 45, 337–348. [Google Scholar] [CrossRef]
- Kryl’skii, E.D.; Popova, T.N.; Kirilova, E.M. Activity of Glutathione Antioxidant System and NADPH-Generating Enzymes in Rats with Experimental Rheumatoid Arthritis. Bull. Exp. Biol. Med. 2015, 160, 7–24. [Google Scholar] [CrossRef] [PubMed]
- Kryl’skii, E.D.; Popova, T.N.; Kirilova, E.M. Parameters of biochemiluminescence in tissues of rats with experimental rheumatoid arthritis. Trends and Innovations in Modern Science: Materials of the III International Scientific and Practical Conference, Krasnodar, Russia, 29 October 2012; Apriori Research and Publishing Center: Krasnodar, Russia, 2012; pp. 46–47. [Google Scholar]
- Kryl’skii, E.D.; Popova, T.N.; Kirilova, E.M. Catalase activity in rat tissues in experimental rheumatoid arthritis. Actual problems of modern science: Materials of scientific works. In Proceedings of the IX International Scientific and Practical Teleconference, Tomsk, Russia, 29 October–3 November 2012; Publisher “Crocus”: Chelyabinsk, Russia; Volume 1, pp. 57–58. [Google Scholar]
- Safonova, O.A.; Popova, T.N.; Kryl’skii, E.D.; Tanygina, E.S.; Kirilova, E.M. Synthesis and evaluation of the effect of 2,4-dimethoxyphenylbiguanide on the activity of the glutathione antioxidant system in the heart and blood serum of rats with experimental rheumatoid arthritis. Khimiko Pharm. J. 2015, 49, 32–35. [Google Scholar]
- Kryl’skii, E.D.; Popova, T.N.; Kirilova, E.M. Activity of enzymes of the glutathione antioxidant system in experimental rheumatoid arthritis in rats. Top. Issues Sci. 2014, 12, 13–16. [Google Scholar] [CrossRef]
- Omar, M.M.; Taha, A.A.; Abbas, A.E. Physicochemical Characteristics of Humic and Fulvic Acids Extracted from Different Feedstocks. J. Soil Sci. Agric. Eng. 2018, 9, 277–281. [Google Scholar] [CrossRef]
- Makharadze, T. Dissociation Constants of Fulvic Acids, Isolated from Natural Waters of Georgia. Sci. Collect. InterConf+ 2022, 24, 272–275. [Google Scholar] [CrossRef]
- Chanda, M.; Jha, S.; Mukhopadhyay, D.; Pandey, M. Characterization of Humic Acid and Fulvic Acid Extracted from Soil Samples of Cultivated Areas of North Bengal and Sikkim States, India. Asian J. Chem. 2021, 33, 62–66. [Google Scholar] [CrossRef]
- Nielloud, F.; Marti-Mestres, G. Pharmaceutical Emulsions and Suspensions, 1st ed.; Marcel Dekker: Boca Raton, FL, USA, 2000; Volume 105. [Google Scholar]
- Dipak, K.S. Pharmaceutical Emulsions: A Drug Developer’s Toolbag, 1st ed.; Wiley-Blackwell: Hoboken, NJ, USA, 2013. [Google Scholar]
- Carter, S.J. Tutorial Pharmacy, 12th ed.; CBS Publishers & Distributors: Delhi, India, 2008. [Google Scholar]
- Semalty, A.; Semalty, M.; Rawat, M.S.M. Essentials of Pharmaceutical Technology, 2nd ed.; Pharmamed Press: Hyderabad, India, 2019. [Google Scholar]
- Radu, A.F.; Bungau, S.G. Nanomedical approaches in the realm of rheumatoid arthritis. Ageing Res Rev. 2023, 87, 101927. [Google Scholar] [CrossRef]
- Gomes, M.B.; Negrato, C.A. Alpha-lipoic acid as a pleiotropic compound with potential therapeutic use in diabetes and other chronic disease. Diabetol. Metab. Syndr. 2014, 6, 80. [Google Scholar] [CrossRef] [PubMed]
- Salinthone, S.; Yadav, V.; Schillace, R.V.; Bourdette, D.N.; Carr, D.W. Lipoic acid attenuates inflammation via cAMP and protein kinase A signaling. PLoS ONE 2010, 5, e13058. [Google Scholar] [CrossRef] [PubMed]
- Pattison, J.; Winyard, P.G. Dietary antioxidants in inflammatory arthritis: Do they have any role in etiology or therapy? Nat. Clin. Pract. Rheumatol. 2008, 4, 590–596. [Google Scholar] [CrossRef] [PubMed]





| TTS | Components | Weight, g |
|---|---|---|
| Basic composition (BC) * | FA | 0.016 |
| Xantan gum | 0.1 | |
| Glycerin | 0.5 | |
| PVP K-17 | 0.5 | |
| PEO-400 | 0.02 | |
| PEO-1500 | 0.2 | |
| Tween-80 | 0.14 | |
| Emulsion wax | 0.1 | |
| Distilled water | 7.0 | |
| Kolliphor® p237 | BC + Kolliphor® p237 | 0.1 |
| Kolliphor® p338 | BC + Kolliphor® p338 | 0.085 |
| Sorbitol | BC + sorbitol | 0.4 |
| DMSO | BC + DMSO | 0.035 |
| Curve Color | Patch | CFA, mg∙mL−1 | Release, % | Plateau Time, h |
|---|---|---|---|---|
![]() | Kolliphor® p237 | 8.1 ± 0.2 | 56.2 | 8.25 |
![]() | DMSO | 6.7 ± 0.2 | 46.5 | 5.0 |
![]() | Kolliphor® p338 | 4.6 ± 0.3 | 31.9 | 8.5 |
![]() | Basic composition | 4.8 ± 0.2 | 33.3 | 6.5 |
![]() | Sorbitol | 4.0 ± 0.2 | 27.8 | 10.0 |
| Groups | Chondrocyte Degeneration | Erosion/Ulceration of Cartilage | Cartilage Fibrillation | Infiltration |
|---|---|---|---|---|
| Intact | − | − | − | − |
| Control (without treatment) | ++++ | ++++ | ++++ | ++++ |
| Basic composition | ++ | ++ | ++ | +++ |
| Kolliphor® p237 | + | + | ++ | ++ |
| N | Groups | SOD, inh/min∙mg Protein (%) | Catalase, µmol H2O2/min∙mg Protein (%) | GR, NADPH/min∙mg Protein (%) | G6PD, NADPH/min∙mg Protein (%) | LDH dir., NADPH/min∙mg Protein (%) | LDH rev., NADPH/min∙mg Protein (%) |
|---|---|---|---|---|---|---|---|
| 1 | Intact | 1013.0 ± 61.2 (100%) | 34.7 ± 1.7 (100%) | 87.4 ± 3.1 (100%) | 43.2 ± 2.9 (100%) | 42.2 ± 2.4 (100%) | 183.7 ± 7.5 (100%) |
| 2 | Control (without treatment), τ = 15 days | 1502.0 ± 39.2 (148%) | 58.9 ± 2.0 (170%) | 131.1 ± 3.8 (150%) | 64.2 ± 2.9 (149%) | 73.3 ± 5.3 (174%) | 274.8 ± 8.9 (150%) |
| 3 | Control (without treatment), τ = 21 days | 805.0 ± 37.4 (79%) | 33.2 ± 0.6 (96%) | 120.9 ± 5.9 (138%) | 60.1 ± 1.8 (139%) | 65.5 ± 4.1 (155%) | 251.6 ± 7.8 (137%) |
| 4 | Basic composition (7 days of treatment) | 997.4 ± 20.8 (98%) | 42.0 ± 1.8 (121%) | 102.5 ± 3.6 (117%) | 62.6 ± 3.0 (118%) | 53.2 ± 4.2 (126%) | 226.0 ± 13.7 (123%) |
| 5 | Kolliphor® p237 (7 days of treatment) | 1174.2 ± 43.1 (116%) | 44.5 ± 1.5 (128%) | 94.2 ± 3.2 (108%) | 56.0 ± 3.5 (123%) | 51.0 ± 3.0 (121%) | 218.8 ± 5.4 (119%) |
| N | Groups | ALDH, nmol NADPH/min∙mg Protein (%) | MDA (in Plasma), nmol NADPH/min∙mg Protein (%) | MDA (in Erythrocytes), nmol NADPH/min∙mg Protein (%) |
|---|---|---|---|---|
| 1 | Intact | 41.9 ± 3.1 (100%) | 0.9 ± 0.0 (100%) | 7.3 ± 0.3 (100%) |
| 2 | Control (without treatment), τ = 15 days | 65.7 ± 5.2 (157%) | 2.5 ± 0.1 (278%) | 12.3 ± 0.2 (168%) |
| 3 | Control (without treatment), τ = 21 days | 61.6 ± 4.8 (147%) | 2.2 ± 0.1 (242%) | 11.9 ± 0.2 (164%) |
| 4 | Basic composition (7 days of treatment) | 54.7 ± 3.4 (131%) | 1.8 ± 0.0 (204%) | 8.7 ± 0.3 (119%) |
| 5 | Kolliphor® p237 (7 days of treatment) | 51.6 ± 1.4 (123%) | 1.7 ± 0.1 (191%) | 7.9 ± 0.2 (108%) |
| N | Groups | ESR, mm/h | Leukocytes, 10−9/L | C-Reactive Protein, ng/mL | RF, IU/mL |
|---|---|---|---|---|---|
| 1 | Intact | 3.5 ± 0.2 (100%) | 9.9 ± 0.5 (100%) | 4.0 ± 0.4 (100%) | 5.4 ± 0.3 (100%) |
| 2 | Control (without treatment), τ = 15 days | 10.5 ± 0.5 (300%) | 19.4 ± 1.0 (196%) | 12.6 ± 0.6 (315%) | 8.2 ± 0.2 (152%) |
| 3 | Control (without treatment), τ = 21 days | 8.6 ± 0.3 (246%) | 16.6 ± 1.4 (168%) | 10.7 ± 0.8 (267%) | 7.8 ± 0.4 (144%) |
| 4 | Basic composition (7 days of treatment) | 4.9 ± 0.2 (140%) | 11.6 ± 0.6 (117%) | 5.0 ± 0.7 (125%) | 6.3 ± 0.2 (117%) |
| 5 | Kolliphor® p237 (7 days of treatment) | 3.8 ± 0.4 (109%) | 10.4 ± 0.7 (105%) | 4.5 ± 0.6 (112%) | 5.0 ± 0.3 (93%) |
Disclaimer/Publisher’s Note: The statements, opinions and data contained in all publications are solely those of the individual author(s) and contributor(s) and not of MDPI and/or the editor(s). MDPI and/or the editor(s) disclaim responsibility for any injury to people or property resulting from any ideas, methods, instructions or products referred to in the content. |
© 2023 by the authors. Licensee MDPI, Basel, Switzerland. This article is an open access article distributed under the terms and conditions of the Creative Commons Attribution (CC BY) license (https://creativecommons.org/licenses/by/4.0/).
Share and Cite
Konnova, M.A.; Volkov, A.A.; Solovyeva, A.G.; Peretyagin, P.V.; Melnikova, N.B. Anti-Inflammatory Property Establishment of Fulvic Acid Transdermal Patch in Animal Model. Sci. Pharm. 2023, 91, 45. https://doi.org/10.3390/scipharm91040045
Konnova MA, Volkov AA, Solovyeva AG, Peretyagin PV, Melnikova NB. Anti-Inflammatory Property Establishment of Fulvic Acid Transdermal Patch in Animal Model. Scientia Pharmaceutica. 2023; 91(4):45. https://doi.org/10.3390/scipharm91040045
Chicago/Turabian StyleKonnova, Maria A., Alexander A. Volkov, Anna G. Solovyeva, Peter V. Peretyagin, and Nina B. Melnikova. 2023. "Anti-Inflammatory Property Establishment of Fulvic Acid Transdermal Patch in Animal Model" Scientia Pharmaceutica 91, no. 4: 45. https://doi.org/10.3390/scipharm91040045
APA StyleKonnova, M. A., Volkov, A. A., Solovyeva, A. G., Peretyagin, P. V., & Melnikova, N. B. (2023). Anti-Inflammatory Property Establishment of Fulvic Acid Transdermal Patch in Animal Model. Scientia Pharmaceutica, 91(4), 45. https://doi.org/10.3390/scipharm91040045






