Next Article in Journal
Cytotoxic Desulfated Saponin from Holothuria atra Predicted to Have High Binding Affinity to the Oncogenic Kinase PAK1: A Combined In Vitro and In Silico Study
Previous Article in Journal
The Structure and Activity of Double-Nitroimidazoles. A Mini-Review
 
 
Font Type:
Arial Georgia Verdana
Font Size:
Aa Aa Aa
Line Spacing:
Column Width:
Background:
Article

The Study of the Structure—Diuretic Activity Relationship in a Series of New N-(Arylalkyl)-6-hydroxy-2-methyl-4-oxo-2,4-dihydro-1H-pyrrolo-[3,2,1-ij]quinoline-5-carboxamides

by
Igor V. Ukrainets
1,*,
Mykola Y. Golik
2,
Lyudmila V. Sidorenko
1,
Valentina I. Korniyenko
3,
Lina A. Grinevich
4,
Galina Sim
5 and
Olga V. Kryvanych
1
1
Department of Pharmaceutical Chemistry, National University of Pharmacy, 53 Pushkinska St., 61002 Kharkiv, Ukraine
2
Department of Analytical Chemistry, National University of Pharmacy, 4 Valentynivska St., 61168 Kharkiv, Ukraine
3
Department of Pharmacology and Toxicology, Kharkiv State Zooveterinary Academy, 1 Academicheskaya St., Malaya Danilovka, Dergachevsky District, 62341 Kharkiv, Ukraine
4
Department of Medical Chemistry, National University of Pharmacy, 4 Valentynivska St., 61168 Kharkiv, Ukraine
5
Department of Pharmaceutical Chemistry, Far Eastern State Medical University, 35 Murav’eva-Amurskogo St., 680000 Khabarovsk, Russia
*
Author to whom correspondence should be addressed.
Sci. Pharm. 2018, 86(3), 31; https://doi.org/10.3390/scipharm86030031
Submission received: 31 July 2018 / Revised: 23 August 2018 / Accepted: 24 August 2018 / Published: 29 August 2018

Abstract

:
In accordance with the principles of “me-too” technique, the preparative method for obtaining has been proposed, and the synthesis of a large series of new N-(arylalkyl)-6-hydroxy-2-methyl-4-oxo-2,4-dihydro-1H-pyrrolo[3,2,1-ij]quinoline-5-carboxamides as structurally close analogs of tricyclic pyrrolo- and pyridoquinoline diuretics has been carried out. All target compounds were obtained with high yields and purity by amidation of ethyl ester of the corresponding 2-methyl-pyrroloquinoline-5-carboxylic acid with arylalkylamines in boiling ethanol. Their structure was confirmed by the data of elemental analysis, nuclear magnetic resonance (NMR) spectroscopy, mass spectrometry and polarimetry. Moreover, interpretations of their 1H and 13C-NMR spectra, their mass spectrometric behavior, as well as peculiarities of the polarimetric studies were discussed. The effect of N-(arylalkyl)-6-hydroxy-2-methyl-4-oxo-2,4-dihydro-1H-pyrrolo[3,2,1-ij]quinoline-5-carboxamides on the urinary function of the kidneys was studied in white rats by the standard method of oral administration in the dose of 10 mg/kg compared to hydrochlorothiazide. According to the results of the primary pharmacological screening, the structural and biological regularities that were unexpected, but interesting for further studies were revealed. Among the substances studied, the samples, which by their diuretic effect are not inferior and even superior to both the known hydrochlorothiazide and the lead structure of the pyrroloquinoline group, have been found. On this basis, it can be argued that the introduction of the methyl group made by us in position 2 of pyrrolo[3,2,1-ij]quinoline nucleus can be considered as a successful and promising implementation of the “me-too” cloning of tricyclic 4-hydroxyquinoline-2-one diuretics.

1. Introduction

Copying of existing and, first of all, commercially successful drugs with simultaneous introduction of minor chemical changes in their structure is well known in medical chemistry as the “me-too” technique [1]. By definition, the drugs created in this way have the structure close to the prototype. At the same time, their molecule must be original; it allows the developer to protect it with a patent as an intellectual property. Often, “me-too “drugs have significant therapeutic benefits, become the “first “or even the “best in class” and completely replace their prototype. A striking example of such a successful “career” is “me-too” diuretic Hydrochlorothiazide, which permanently took the place of its predecessor Chlorothiazide [2]. Ranitidine has become more popular than Cimetidine [3], Enalapril is gradually replacing Captopril [4], and Eplerenone is much more efficient and safer than Spironolactone [5], etc. (Figure 1).
It should not be forgotten, however, that sometimes differences between actively implemented and advertised novelties are very conditional; they are mainly marketing rather than pharmacological ones. Hence, there are numerous disputes and discussions concerning the benefits of “me-too” drugs (medical or economic), and the feasibility of their development and implementation in medical practice in general [6,7,8,9,10]. Nevertheless, the “me-too” technique has been and remains a powerful tool for reducing the cost of new drugs, their development time, clinical trials and launch to the pharmaceutical market.
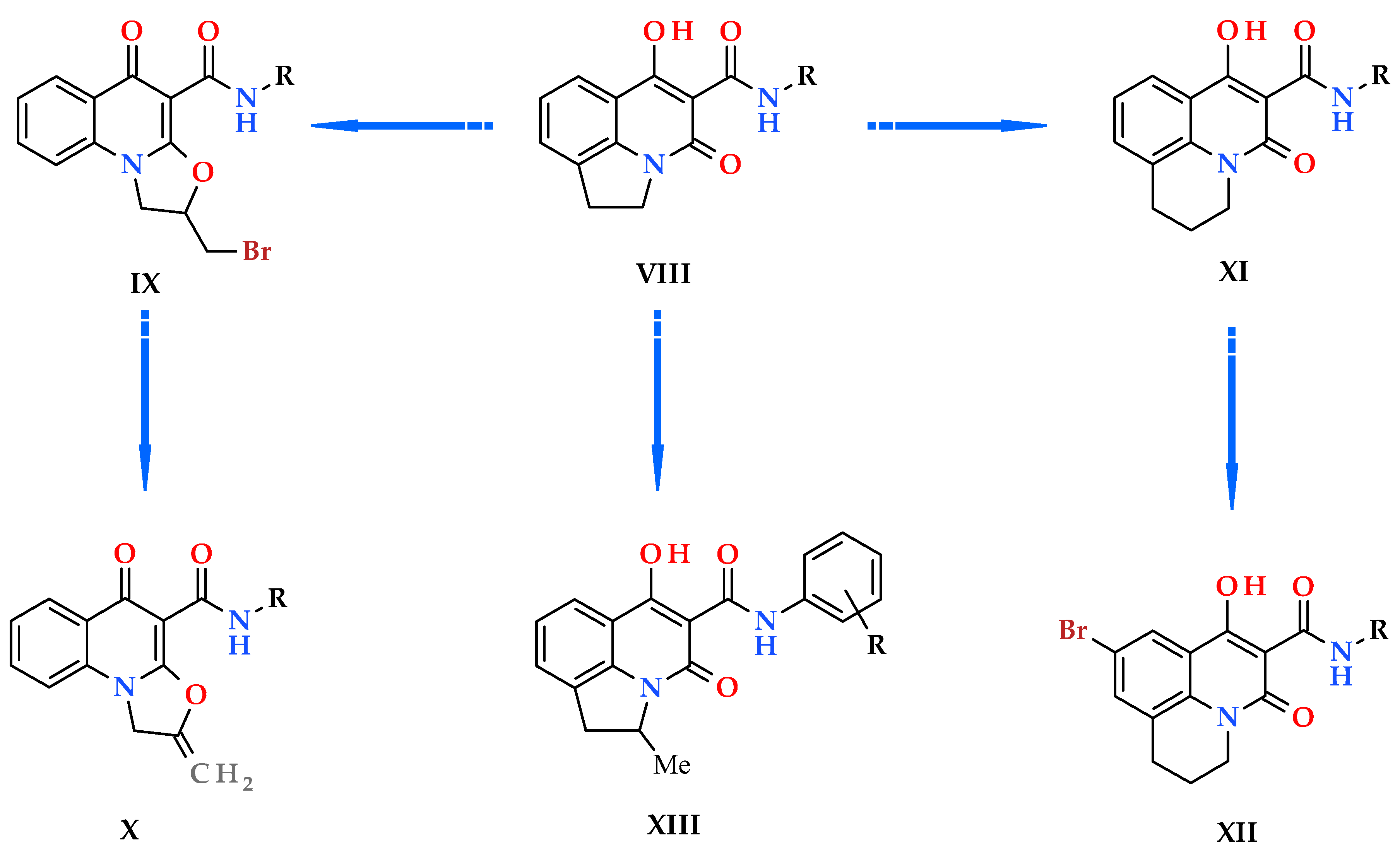
Therefore, it is not surprising that the ability to greatly increase urination accidentally discovered by our laboratory in some 4-hydroxy-2-oxo-1,2-dihydroquinoline-3-carboxamides I (Figure 2) [11], which was previously considered untypical for this class of chemical compounds, gave impetus to the purposeful search for new diuretics. In the studies, along with other various 4-hydroxyquinoline-2-one amides I [12,13,14,15] isosteric 4-chloro- (II), 4-methyl- (III) and 4-amino- (IV) derivatives [15,16,17,18], their analogs V hydrogenated in the benzene moiety of the molecule [19], as well as structurally similar 2-hydroxy-4-oxo-4H-pyrido[1,2-a]pyrimidine-3-carboxamides (VI) [20], and 4-hydroxy-2,2-dioxo-1H-2λ6,1-benzothiazine-3-carboxanilides (VII) [21] were involved.
Pharmacological tests have revealed the structural and biological regularities that are interesting and important for further studies. In particular, the presence of the aromatic nucleus in the terminal amide fragment was repeatedly noted as a mandatory factor for manifestation of diuretic properties by the substances under study. However, the distance of this aromatic nucleus from the 3-carbamide nitrogen atom on the diuresis is no longer uniquely affected. For example, in the case of 4-hydroxy-2-oxo-1,2-dihydroquinoline derivatives I, the diuretic activity decreases in the following sequence: 1-phenylethylamides > 2-phenylethylamides > benzylamides > anilides > 3-phenylpropylamides.
In general, highly active compounds were found in all groups IVII without exception regardless of the structure of the underlying bicyclic heterocyclic system. However, much better results were achieved after transition to the tricyclic “me-too” clones of 4-hydroxyquinoline-2-one diuretics (Figure 3). The first group of derivatives of this type considered—6-hydroxy-4-oxo-2,4-dihydro-1H-pyrrolo[3,2,1-ij]quinoline-5-carboxamides VIII [22,23]—raised the studies to a new level and gave a promising lead structure (R = 4-methoxyphenyl) characterized by a high diuretic activity, low toxicity, and, which is particularly interesting, the ability to inhibit the production of aldosterone. It is interesting that, in the whole group of pyrroloquinolines VIII, the need for the presence of the aromatic nucleus in the amide fragment is retained, but the diuretic effect is modified in a different order: anilides > benzylamides > 3-phenylpropylamides > 2-phenylethylamides > 1-phenylethylamides > cycloalkyl- amides >> alkylamides.
Annelation of the five-membered oxazole cycle along the quinoline edge а as a variant of the chemical modification of pyrroloquinolines VIII appeared to be extremely unsuccessful since, unfortunately, 2-bromomethyl-(IX) and 2-methylene-(X) 5-oxo-1,2-dihydro-5H-oxazolo[3,2-a] quinoline-4-carboxamides easily obtained did not have any significant diuretic properties [14].
The transition to pyridoquinolines XI did not meet the expectations. Based on the tests conducted, it can be argued that, as a rule, the diuretic activity is somewhat reduced as a result of such a transformation, and the structure of the amide fragments affects the biological properties in the same way as in the pyroloquinolines VIII group [24,25]. At the same time, it has been found that bromination of the pyridoquinoline nucleus in position 9 (amides XII) leads to a significant increase in diuresis and, in principle, opens a new direction of “me-too” optimization of tricyclic 4-hydroxyquinoline-2-one diuretics [26].
Finally, there are 2-methylsubstituted pyrroloquinolines XIII. The experimental study (white rats, per os) of a large series of various anilides conducted by us to date has clearly demonstrated a generally positive impact on the diuretic effect of the 2-methyl group, while the nature of the effect of substituents in arylamide residues compared with non-methylated analogs VIII significantly changes [27,28]. Based on these facts, N-(arylalkyl)-6-hydroxy-2-methyl-4-oxo-2,4-dihydro-1H-pyrrolo[3,2,1-ij] quinoline-5-carboxamides are of great interest as objects for our research, and this work is devoted to them.

2. Materials and Methods

2.1. Chemistry

1Н- and 13С-NMR (proton and carbon nuclear magnetic resonance) spectra were obtained on a Varian Mercury-400 (Varian Inc., Palo Alto, CA, USA) instrument (400 and 100 MHz, respectively) in hexadeuterodimethyl sulfoxide (DMSO-d6) with tetramethylsilane as the internal standard. The chemical shift values were recorded on a δ scale and the coupling constants (J) in hertz. The following abbreviations were used in reporting spectra: s = singlet, d = doublet, t = triplet, q = quartet, quin = quintet, m = multiplet. The electron impact mass spectra (EI-MS) were recorded on a Varian 1200 L (Varian Inc., Walnut Creek, CA, USA) mass spectrometer with complete scanning in the m/z range from 35 to 700 and direct sample inlet. The electron impact ionization was at 70 eV. The specific rotations of optically active amides 3ae were measured on a WWZ-2S automatic polarimeter (Zhejiang Nade Scientific instrument Co., Ltd., Yuhang, Hangzhou, Zhejiang, China). Synthesis of these compounds used commercial S(–)- and R(+)-1-phenyl- and 1-(4-methoxyphenyl)- ethylamines from Fluka company (Fluka Chemie AG, Buchs, Switzerland), with optical purities of at least 99.5% and 99.0%, respectively. The elemental analysis was performed on a Euro Vector EA-3000 (Eurovector SPA, Redavalle, Italy) microanalyzer. The melting points were determined in a capillary using a electrothermal IA9100X1 (Bibby Scientific Limited, Staffordshire, UK) digital melting point apparatus. The synthesis of the starting ethyl 6-hydroxy-2-methyl-4-oxo-2,4-dihydro-1H-pyrrolo-[3,2,1-ij]quinoline-5-carboxyate (1) was carried out by the method described in [27].

2.2. General Procedure for the Synthesis of N-(Arylalkyl)-6-hydroxy-2-methyl-4-oxo-2,4-dihydro-1H-pyrrolo[3,2,1-ij]quinoline-5-carboxamides (2–7)

The corresponding primary amine (0.011 mol) was added to the solution of ethyl 6-hydroxy-2-methyl-4-oxo-2,4-dihydro-1H-pyrrolo[3,2,1-ij]quinoline-5-carboxyate (1) (2.73 g, 0.010 mol) in ethanol (30 mL) and boiled for 3 h. The reaction mixture was cooled, diluted by adding cold water, and acidified with dilute hydrochloric acid to pH ~4 (acetic acid was used in the isolation of picolylamides 6ac). The precipitate formed was filtered, washed with cold water, dried, and recrystallized from ethanol. Arylalkylamides 27 were colorless or white with yellowish crystals.
N-Benzyl-6-hydroxy-2-methyl-4-oxo-2,4-dihydro-1H-pyrrolo[3,2,1-ij]quinoline-5-carboxamide (2a). The yield was: 3.21 g (96%); colorless crystals; melting point (mp) 131–133 °C; 1H-NMR (400 MHz, DMSO-d6): δ 17.14 (s, 1H, 6-OH), 10.73 (t, 1H, J = 5.4, NH), 7.72 (d, 1Н, J = 8.1, Н-7), 7.51 (d, 1H, J = 7.1, H-9), 7.40–7.33 (m, 4Н, Н-2′,3′,5′,6′), 7.28 (t, 1H, J = 6.2, H-4′), 7.22 (t, 1H, J = 7.5, H-8), 4.97 (m, 1Н, 2-CН), 4.62 (d, 2H, J = 5.3, NСН2), 3.66 (dd, 1H, J = 17.0 and 9.4, NCH(Me)СН-cis), 2.99 (dd, 1H, J = 17.0 and 2.7, NCH(Me)СН-trans), 1.54 (d, 3H, J = 6.3, 2-СН3). 13C-NMR (100 MHz, DMSO-d6): δ 171.8 (6-C-OH), 170.6 (5-C=O), 160.1 (4-C=O), 141.0, 137.8, 129.8, 128.4, 128.2, 127.2, 126.9, 123.2, 120.2, 111.7, 97.0 (5-C), 56.4 (2-CH), 41.9 (NHCH2), 35.3 (1-CH2), 19.8 (2-CH3). EI-MS (m/z, %): 334 (76) [M]+, 227 (34), 107 (100). This was analytically calculated (Anal. Calcd.) for C20H18N2O3: C, 71.84; H, 5.43; N, 8.38%. We found: C, 71.73; H, 5.35; N, 8.43%.
N-(2-Fluorobenzyl)-6-hydroxy-2-methyl-4-oxo-2,4-dihydro-1H-pyrrolo[3,2,1-ij]quinoline-5-carboxamide (2b). The yield was: 3.24 g (92%); colorless crystals; mp 128–130 °C; 1H-NMR (400 MHz, DMSO-d6): δ 16.98 (s, 1H, 6-OH), 10.74 (t, 1H, J = 5.1, NH), 7.71 (d, 1Н, J = 8.1, Н-7), 7.51 (d, 1H, J = 7.1, H-9), 7.42 (t, 1H, J = 7.2, H-4′), 7.35 (t, 1H, J = 7.0, H-3′), 7.22 (t, 1H, J = 7.4, H-8), 7.20–7.11 (m, 2Н, Н-5′,6′), 4.98 (m, 1Н, 2-CН), 4.66 (d, 2H, J = 5.2, NСН2), 3.66 (dd, 1H, J = 17.1 and 9.4, NCH(Me)СН-cis), 2.99 (dd, 1H, J = 17.1 and 2.7, NCH(Me)СН-trans), 1.54 (d, 3H, J = 6.3, 2-СН3). 13C-NMR (100 MHz, DMSO-d6): δ 171.8 (6-C-OH), 170.7 (5-C=O), 165.5/163.1 (d, JC-F = 232.3, C-2′), 160.3 (4-C=O), 155.2, 141.2, 130.0, 129.6, 129.2, 128.5, 124.2, 123.3, 120.2, 115.2/115.0 (d, 2JC-F = 20.1, C-3′), 111.7, 96.9 (5-C), 56.5 (2-CH), 45.0 (NHCH2), 35.3 (1-CH2), 25.1 (2-CH3). EI-MS (m/z, %): 352 (64) [M]+, 227 (30), 125 (100). The Anal. Calcd. was for C20H17FN2O3: C, 68.17; H, 4.86; N, 7.95%. We found: C, 68.26; H, 4.94; N, 7.88%.
N-(4-Fluorobenzyl)-6-hydroxy-2-methyl-4-oxo-2,4-dihydro-1H-pyrrolo[3,2,1-ij]quinoline-5-carboxamide (2c). The yield was: 3.34 g (95%); colorless crystals; mp 135–137 °C; 1H-NMR (400 MHz, DMSO-d6): δ 17.06 (s, 1H, 6-OH), 10.70 (t, 1H, J = 5.4, NH), 7.70 (d, 1Н, J = 8.0, Н-7), 7.50 (d, 1H, J = 7.1, H-9), 7.39 (d, 1H, J = 5.7, H-2′,6′), 7.21 (t, 1H, J = 7.5, H-8), 7.08 (t, 1H, J = 8.7, H-3′,5′), 4.95 (m, 1Н, 2-CН), 4.57 (d, 2H, J = 5.5, NСН2), 3.64 (dd, 1H, J = 17.0 and 9.4, NCH(Me)СН-cis), 2.97 (dd, 1H, J = 17.0 and 3.0, NCH(Me)СН-trans), 1.52 (d, 3H, J = 6.3, 2-СН3). 13C-NMR (100 MHz, DMSO-d6): 172.5 (6-C-OH), 171.4 (5-C=O), 168.2/165.9 (d, JC-F = 231.1, C-4′), 160.9 (4-C=O), 141.9, 136.3, 130.5, 130.1/130.0 (d, 3JC-F = 8.2, C-2′,6′), 129.2, 123.9, 120.9, 115.8/115.6 (d, 2JC-F = 21.2, C-3′,5′), 112.4, 97.8 (5-C), 57.2 (2-CH), 41.9 (NHCH2), 36.0 (1-CH2), 20.5 (2-CH3). EI-MS (m/z, %): 352 (69) [M]+, 227 (41), 125 (100). The Anal. Calcd. was for C20H17FN2O3: C, 68.17; H, 4.86; N, 7.95%. We found: C, 68.24; H, 4.91; N, 8.03%.
N-(2-Chlorobenzyl)-6-hydroxy-2-methyl-4-oxo-2,4-dihydro-1H-pyrrolo[3,2,1-ij]quinoline-5-carboxamide (2d). The yield was: 3.31 g (90%); colorless crystals; mp 143–145 °C; 1H-NMR (400 MHz, DMSO-d6): δ 16.92 (s, 1H, 6-OH), 10.80 (t, 1H, J = 5.6, NH), 7.70 (d, 1Н, J = 8.1, Н-7), 7.50 (d, 1H, J = 7.1, H-9), 7.45–7.40 (m, 2Н, Н-3′,4′), 7.34–7.29 (m, 2Н, Н-5′,6′), 7.22 (t, 1H, J = 7.6, H-8), 4.97 (m, 1Н, 2-CН), 4.67 (d, 2H, J = 5.8, NСН2), 3.65 (dd, 1H, J = 17.0 and 9.4, NCH(Me)СН-cis), 2.98 (dd, 1H, J = 17.0 and 2.6, NCH(Me)СН-trans), 1.53 (d, 3H, J = 6.4, 2-СН3). 13C-NMR (100 MHz, DMSO-d6): δ 172.5 (6-C-OH), 171.5 (5-C=O), 160.9 (4-C=O), 141.8, 135.7, 132.9, 130.6, 130.0, 129.8, 129.6, 129.1, 127.9, 124.0, 120.9, 112.4, 97.8 (5-C), 57.2 (2-CH), 41.6 (NHCH2), 36.0 (1-CH2), 20.6 (2-CH3). EI-MS (m/z, %): 368/370 (83/28) [M]+, 227 (34), 141/143 (100/30). The Anal. Calcd. was for C20H17ClN2O3: C, 65.13; H, 4.65; N, 7.60%. We found: C, 65.06; H, 4.72; N, 7.53%.
N-(4-Chlorobenzyl)-6-hydroxy-2-methyl-4-oxo-2,4-dihydro-1H-pyrrolo[3,2,1-ij]quinoline-5-carboxamide (2e). The yield was: 3.57 g (97%); colorless crystals; mp 152–154 °C; 1H-NMR (400 MHz, DMSO-d6): δ 17.03 (s, 1H, 6-OH), 10.74 (t, 1H, J = 5.6, NH), 7.71 (d, 1Н, J = 8.0, Н-7), 7.51 (d, 1H, J = 7.1, H-9), 7.39 (d, 1H, J = 8.5, H-3′,5′), 7.35 (d, 1H, J = 8.5, H-2′,6′), 7.22 (t, 1H, J = 7.5, H-8), 4.97 (m, 1Н, 2-CН), 4.60 (d, 2H, J = 5.7, NСН2), 3.65 (dd, 1H, J = 17.0 and 9.4, NCH(Me)СН-cis), 2.99 (dd, 1H, J = 17.0 and 3.1, NCH(Me)СН-trans), 1.54 (d, 3H, J = 6.3, 2-СН3). 13C-NMR (100 MHz, DMSO-d6): δ 171.7 (6-C-OH), 170.7 (5-C=O), 160.1 (4-C=O), 141.0, 137.0, 132.4, 129.7, 129.1, 128.3, 128.1, 123.1, 120.1, 111.7, 97.0 (5-C), 56.2 (2-CH), 41.2 (NHCH2), 35.3 (1-CH2), 19.8 (2-CH3). EI-MS (m/z, %): 368/370 (77/25) [M]+, 227 (42), 141/143 (100/28). The Anal. Calcd. was for C20H17ClN2O3: C, 65.13; H, 4.65; N, 7.60%. We found: C, 65.08; H, 4.74; N, 7.67%.
6-Hydroxy-2-methyl-N-(2-methylbenzyl)-4-oxo-2,4-dihydro-1H-pyrrolo[3,2,1-ij]quinoline-5-carboxamide (2f). The yield was: 3.06 g (88%); colorless crystals; mp 147–149 °C; 1H-NMR (400 MHz, DMSO-d6): δ 17.10 (s, 1H, 6-OH), 10.63 (t, 1H, J = 5.4, NH), 7.69 (d, 1Н, J = 8.0, Н-7), 7.48 (d, 1H, J = 7.0, H-9), 7.28 (t, 1Н, J = 4.4, Н-4′), 7.22 (t, 1H, J = 7.6, H-8), 7.17–7.13 (m, 3Н, Н-3′,5′,6′), 4.94 (m, 1Н, 2-CН), 4.57 (d, 2H, J = 5.6, NСН2), 3.63 (dd, 1H, J = 17.0 and 9.4, NCH(Me)СН-cis), 2.97 (dd, 1H, J = 17.0 and 3.2, NCH(Me)СН-trans), 2.36 (s, 3H, 2′-Me), 1.51 (d, 3H, J = 6.3, 2-СН3). 13C-NMR (100 MHz, DMSO-d6): δ 172.4 (6-C-OH), 171.2 (5-C=O), 160.9 (4-C=O), 141.7, 139.5, 136.2, 130.6, 130.3, 129.0, 128.3, 127.8, 126.4, 123.9, 120.8, 112.4, 97.8 (5-C), 57.1 (2-CH), 40.8 (NHCH2), 36.0 (1-CH2), 20.5 (CH3), 19.0 (CH3). EI-MS (m/z, %): 348 (72) [M]+, 227 (28), 121 (100). The Anal. Calcd. was for C21H20N2O3: C, 72.40; H, 5.79; N, 8.04%. We found: C, 72.34; H, 5.87; N, 7.96%.
6-Hydroxy-2-methyl-N-(3-methylbenzyl)-4-oxo-2,4-dihydro-1H-pyrrolo[3,2,1-ij]quinoline-5-carboxamide (2g). The yield was: 3.13 g (90%); colorless crystals; mp 116–118 °C; 1H-NMR (400 MHz, DMSO-d6): δ 17.15 (s, 1H, 6-OH), 10.70 (t, 1H, J = 5.5, NH), 7.72 (d, 1Н, J = 8.0, Н-7), 7.51 (d, 1H, J = 7.1, H-9), 7.26–7.19 (m, 2Н, Н-8,5′), 7.17 (s, 1H, Н-2′), 7.14 (d, 1Н, J = 7.4, Н-4′), 7.07 (d, 1Н, J = 7.4, Н-6′), 4.97 (m, 1Н, 2-CН), 4.57 (d, 2H, J = 5.6, NСН2), 3.65 (dd, 1H, J = 17.0 and 9.4, NCH(Me)СН-cis), 2.98 (dd, 1H, J = 17.0 and 3.1, NCH(Me)СН-trans), 2.34 (s, 3H, 3′-Me), 1.54 (d, 3H, J = 6.3, 2-СН3). 13C-NMR (100 MHz, DMSO-d6): δ 172.5 (6-C-OH), 171.3 (5-C=O), 160.8 (4-C=O), 141.7, 138.4, 138.1, 130.5, 129.0, 128.9, 128.6, 128.3, 125.1, 123.9, 120.9, 112.5, 97.7 (5-C), 57.2 (2-CH), 42.6 (NHCH2), 36.0 (1-CH2), 21.4 (CH3), 20.5 (CH3). EI-MS (m/z, %): 348 (79) [M]+, 227 (35), 121 (100). The Anal. Calcd. was for C21H20N2O3: C, 72.40; H, 5.79; N, 8.04%. We found: C, 72.46; H, 5.85; N, 8.09%.
6-Hydroxy-2-methyl-N-(4-methylbenzyl)-4-oxo-2,4-dihydro-1H-pyrrolo[3,2,1-ij]quinoline-5-carboxamide (2h). The yield was: 3.17 g (91%); colorless crystals; mp 130–132 °C; 1H-NMR (400 MHz, DMSO-d6): δ 17.17 (s, 1H, 6-OH), 10.67 (t, 1H, J = 5.1, NH), 7.71 (d, 1Н, J = 8.0, Н-7), 7.50 (d, 1H, J = 7.0, H-9), 7.26 (d, 2H, J = 7.9, H-2′,6′), 7.19 (t, 1H, J = 7.5, H-8), 7.15 (d, 2H, J = 7.9, H-3′,5′), 4.96 (m, 1Н, 2-CН), 4.60 (d, 2H, J = 5.1, NСН2), 3.65 (dd, 1H, J = 17.0 and 9.4, NCH(Me)СН-cis), 2.98 (dd, 1H, J = 17.0 and 2.6, NCH(Me)СН-trans), 2.35 (s, 3H, 4′-Me), 1.54 (d, 3H, J = 6.3, 2-СН3). 13C-NMR (100 MHz, DMSO-d6): δ 171.8 (6-C-OH), 171.5 (5-C=O), 160.1 (4-C=O), 141.0, 136.1, 134.7, 129.7, 128.8, 128.3, 127.2, 123.2, 120.1, 112.0, 97.0 (5-C), 56.4 (2-CH), 41.7 (NHCH2), 35.3 (1-CH2), 20.3 (CH3), 19.8 (CH3). EI-MS (m/z, %): 348 (80) [M]+, 227 (43), 121 (100). The Anal. Calcd. was for C21H20N2O3: C, 72.40; H, 5.79; N, 8.04%. We found: C, 72.33; H, 5.75; N, 7.97%.
6-Hydroxy-N-(2-methoxybenzyl)-2-methyl-4-oxo-2,4-dihydro-1H-pyrrolo[3,2,1-ij]quinoline-5-carboxamide (2i). The yield was: 3.39 g (93%); colorless crystals; mp 163–165 °C; 1H-NMR (400 MHz, DMSO-d6): δ 17.24 (s, 1H, 6-OH), 10.68 (t, 1H, J = 5.5, NH), 7.68 (d, 1Н, J = 8.0, Н-7), 7.47 (d, 1H, J = 7.0, H-9), 7.29–7.22 (m, 2Н, Н-4′,6′), 7.18 (t, 1H, J = 7.6, H-8), 6.97 (d, 1Н, J = 8.4, Н-5′), 6.90 (t, 1Н, J = 7.4, Н-3′), 4.94 (m, 1Н, 2-CН), 4.55 (d, 2H, J = 5.6, NСН2), 3.91 (s, 3H, 2′-OMe), 3.62 (dd, 1H, J = 17.0 and 9.4, NCH(Me)СН-cis), 2.96 (dd, 1H, J = 17.0 and 2.7, NCH(Me)СН-trans), 1.51 (d, 3H, J = 6.3, 2-СН3). 13C-NMR (100 MHz, DMSO-d6): δ 171.9 (6-C-OH), 170.4 (5-C=O), 160.2 (4-C=O), 156.8, 141.3, 129.7, 128.6, 128.4, 126.9, 125.1, 123.1, 120.2, 120.0, 111.7, 110.7, 96.9 (5-C), 56.4 (OCH3), 55.2 (2-CH), 37.6 (NHCH2), 35.2 (1-CH2), 19.8 (2-CH3). EI-MS (m/z, %): 364 (74) [M]+, 227 (36), 137 (100). The Anal. Calcd. was for C21H20N2O4: C, 69.22; H, 5.53; N, 7.69%. We found: C, 69.30; H, 5.61; N, 7.62%.
6-Hydroxy-N-(4-methoxybenzyl)-2-methyl-4-oxo-2,4-dihydro-1H-pyrrolo[3,2,1-ij]quinoline-5-carboxamide (2j). The yield was: 3.49 g (96%); colorless crystals; mp 138–140 °C; 1H-NMR (400 MHz, DMSO-d6): δ 17.18 (s, 1H, 6-OH), 10.62 (t, 1H, J = 5.2, NH), 7.70 (d, 1Н, J = 8.0, Н-7), 7.49 (d, 1H, J = 7.1, H-9), 7.28 (d, 2H, J = 8.1, H-2′,6′), 7.20 (t, 1H, J = 7.6, H-8), 6.86 (d, 2H, J = 7.9, H-3′,5′), 4.95 (m, 1Н, 2-CН), 4.51 (d, 2H, J = 5.3, NСН2), 3.76 (s, 3H, 4′-OMe), 3.63 (dd, 1H, J = 17.0 and 9.4, NCH(Me)СН-cis), 2.97 (dd, 1H, J = 17.0 and 2.7, NCH(Me)СН-trans), 1.50 (d, 3H, J = 6.3, 2-СН3). 13C-NMR (100 MHz, DMSO-d6): δ 172.5 (6-C-OH), 171.2 (5-C=O), 160.8 (4-C=O), 159.0, 141.7, 135.3, 132.8, 130.4, 129.4, 128.9, 123.8, 120.9, 114.4, 97.7 (5-C), 57.1 (OCH3), 55.5 (2-CH), 42.1 (NHCH2), 35.9 (1-CH2), 20.5 (2-CH3). EI-MS (m/z, %): 364 (85) [M]+, 227 (47), 137 (100). The Anal. Calcd. was for C21H20N2O4: C, 69.22; H, 5.53; N, 7.69%. We found: C, 69.28; H, 5.60; N, 7.75%.
N-(3,4-Dimethoxybenzyl)-6-hydroxy-2-methyl-4-oxo-2,4-dihydro-1H-pyrrolo[3,2,1-ij]quinoline-5-carboxamide (2k). The yield was: 3.62 g (92%); colorless crystals; mp 119–120 °C; 1H-NMR (400 MHz, DMSO-d6): δ 17.13 (s, 1H, 6-OH), 10.61 (t, 1H, J = 5.2, NH), 7.70 (d, 1Н, J = 8.0, Н-7), 7.48 (d, 1H, J = 7.1, H-9), 7.19 (t, 1H, J = 7.7, H-8), 6.93 (s, 1H, H-2′), 6.88 (d, 1H, J = 8.7, H-5′), 6.84 (d, 1H, J = 8.3, H-6′), 4.95 (m, 1Н, 2-CН), 4.50 (d, 2H, J = 5.3, NСН2), 3.80 (s, 3H, 4′-OMe), 3.78 (s, 3H, 3′-OMe), 3.63 (dd, 1H, J = 17.0 and 9.4, NCH(Me)СН-cis), 2.97 (dd, 1H, J = 17.0 and 2.9, NCH(Me)СН-trans), 1.51 (d, 3H, J = 6.3, 2-СН3). 13C-NMR (100 MHz, DMSO-d6): δ 172.6 (6-C-OH), 171.2 (5-C=O), 160.9 (4-C=O), 149.3, 148.7, 141.8, 130.9, 130.5, 129.1, 127.7, 123.9, 120.9, 120.4, 112.6, 112.5, 97.8 (5-C), 57.2 (OCH3), 56.1 (OCH3), 56.0 (2-CH), 42.5 (NHCH2), 36.0 (1-CH2), 20.5 (2-CH3). EI-MS (m/z, %): 394 (61) [M]+, 227 (24), 167 (100). The Anal. Calcd. was for C22H22N2O5: C, 66.99; H, 5.62; N, 7.10%. We found: C, 67.08; H, 5.68; N, 7.03%.
N-(1,3-Benzodioxol-5-ylmethyl)-6-hydroxy-2-methyl-4-oxo-2,4-dihydro-1H-pyrrolo[3,2,1-ij]quinoline-5-carboxamide (2l). The yield was: 3.59 g (95%); colorless crystals; mp 136–138 °C; 1H-NMR (400 MHz, DMSO-d6): δ 17.14 (s, 1H, 6-OH), 10.65 (t, 1H, J = 5.3, NH), 7.71 (d, 1Н, J = 8.1, Н-7), 7.50 (d, 1H, J = 7.1, H-9), 7.20 (t, 1H, J = 7.5, H-8), 6,90 (s, 1H, H-2′), 6.85 (d, 1H, J = 8.0, H-5′), 6.80 (d, 1H, J = 8.0, H-6′), 5.99 (s, 2H, O-CH2-O), 4.96 (m, 1Н, 2-CН), 4.51 (d, 2H, J = 5.5, NСН2), 3.65 (dd, 1H, J = 17.0 and 9.4, NCH(Me)СН-cis), 2.98 (dd, 1H, J = 17.0 and 3.0, NCH(Me)СН-trans), 1.53 (d, 3H, J = 6.3, 2-СН3). 13C-NMR (100 MHz, DMSO-d6): δ 172.5 (6-C-OH), 171.2 (5-C=O), 160.7 (4-C=O), 148.7, 147.8, 141.9, 139.0, 132.3, 130.4, 129.0, 124.2, 121.5, 120.9, 112.4, 108.6, 101.4 (OCH2O), 97.8 (5-C), 57.1 (2-CH), 42.4 (NHCH2), 36.0 (1-CH2), 20.5 (2-CH3). EI-MS (m/z, %): 378 (70) [M]+, 227 (43), 151 (100). The Anal. Calcd. was for C21H18N2O5: C, 66.66; H, 4.79; N, 7.40%. We found: C, 66.74; H, 4.85; N, 7.33%.
6-Hydroxy-2-methyl-4-oxo-N-[(1S)-1-phenylethyl]-2,4-dihydro-1H-pyrrolo[3,2,1-ij]quinoline-5-carboxamide (3a). The yield was: 2.88 g (83%); colorless crystals; mp 149–151 °C; [α] D 20 = +2.7°, c = 3, dimethyl sulfoxide (DMSO); 1H-NMR (400 MHz, DMSO-d6): δ 17.05 (s, 1H, 6-OH), 10.73 (d, 1H, J = 7.9, NH), 7.68 (d, 1Н, J = 8.1, Н-7), 7.49 (d, 1H, J = 7.1, H-9), 7.41–7.34 (m, 4Н, Н-2′,3′,5′,6′), 7.26 (t, 1H, J = 6.6, H-4′), 7.20 (t, 1H, J = 7.6, H-8), 5.18 (m, 1H, J = 7.4, NHСН), 4.97 (m, 1Н, 2-CН), 3.64 (dd, 1H, J = 17.0 and 9.5, NCH(Me)СН-cis), 2.98 (dd, 1H, J = 17.0 and 2.7, NCH(Me)СН-trans), 1.58 (d, 3H, J = 7.2, 2-СН3), 1.53 (d, 3H, J = 6.3, 2-СН3). 13C-NMR (100 MHz, DMSO-d6): δ 172.6 (6-C-OH), 170.6 (5-C=O), 161.0 (4-C=O), 143.6, 141.7, 130.5, 129.1, 127.7, 126.4, 124.6, 123.9, 120.9, 112.5, 97.7 (5-C), 57.2 (2-CH), 48.8 (NHCH2), 36.0 (1-CH2), 22.9 (CH3), 20.6 (CH3). EI-MS (m/z, %): 348 (72) [M]+, 227 (32), 121 (100). The Anal. Calcd. was for C21H20N2O3: C, 72.40; H, 5.79; N, 8.04%. We found: C, 72.32; H, 5.73; N, 8.00%.
6-Hydroxy-2-methyl-4-oxo-N-[(1R)-1-phenylethyl]-2,4-dihydro-1H-pyrrolo[3,2,1-ij]quinoline-5-carboxamide (3b). The yield was: 2.82 g (81%); colorless crystals; mp 149–151 °C; [α] D 20 = −2.7°, c = 3, DMSO; 1H-NMR (400 MHz, DMSO-d6): δ 17.05 (s, 1H, 6-OH), 10.73 (d, 1H, J = 7.9, NH), 7.68 (d, 1Н, J = 8.1, Н-7), 7.49 (d, 1H, J = 7.1, H-9), 7.41–7.34 (m, 4Н, Н-2′,3′,5′,6′), 7.26 (t, 1H, J = 6.6, H-4′), 7.20 (t, 1H, J = 7.6, H-8), 5.18 (m, 1H, J = 7.4, NHСН), 4.97 (m, 1Н, 2-CН), 3.64 (dd, 1H, J = 17.0 and 9.5, NCH(Me)СН-cis), 2.98 (dd, 1H, J = 17.0 and 2.7, NCH(Me)СН-trans), 1.58 (d, 3H, J = 7.2, 2-СН3), 1.53 (d, 3H, J = 6.3, 2-СН3). 13C-NMR (100 MHz, DMSO-d6): δ 172.6 (6-C-OH), 170.6 (5-C=O), 161.0 (4-C=O), 143.6, 141.7, 130.5, 129.1, 127.7, 126.4, 124.6, 123.9, 120.9, 112.5, 97.7 (5-C), 57.2 (2-CH), 48.8 (NHCH2), 36.0 (1-CH2), 22.9 (CH3), 20.6 (CH3). EI-MS (m/z, %): 348 (75) [M]+, 227 (30), 121 (100). The Anal. Calcd. was for C21H20N2O3: C, 72.40; H, 5.79; N, 8.04%. We found: C, 72.33; H, 5.86; N, 8.11%.
6-Hydroxy-2-methyl-4-oxo-N-(1-phenylethyl)-2,4-dihydro-1H-pyrrolo[3,2,1-ij]quinoline-5-carboxamide (3c). The yield was: 2.92 g (84%); colorless crystals; mp 138–140 °C; 1H-NMR (400 MHz, DMSO-d6): δ 17.05 (s, 1H, 6-OH), 10.73 (d, 1H, J = 7.9, NH), 7.68 (d, 1Н, J = 8.1, Н-7), 7.49 (d, 1H, J = 7.1, H-9), 7.41–7.34 (m, 4Н, Н-2′,3′,5′,6′), 7.26 (t, 1H, J = 6.6, H-4′), 7.20 (t, 1H, J = 7.6, H-8), 5.18 (m, 1H, J = 7.4, NHСН), 4.97 (m, 1Н, 2-CН), 3.64 (dd, 1H, J = 17.0 and 9.5, NCH(Me)СН-cis), 2.98 (dd, 1H, J = 17.0 and 2.7, NCH(Me)СН-trans), 1.58 (d, 3H, J = 7.2, 2-СН3), 1.53 (d, 3H, J = 6.3, 2-СН3). 13C-NMR (100 MHz, DMSO-d6): δ 172.6 (6-C-OH), 170.6 (5-C=O), 161.0 (4-C=O), 143.6, 141.7, 130.5, 129.1, 127.7, 126.4, 124.6, 123.9, 120.9, 112.5, 97.7 (5-C), 57.2 (2-CH), 48.8 (NHCH2), 36.0 (1-CH2), 22.9 (CH3), 20.6 (CH3). EI-MS (m/z, %): 348 (77) [M]+, 227 (39), 121 (100). The Anal. Calcd. was for C21H20N2O3: C, 72.40; H, 5.79; N, 8.04%. We found: C, 72.47; H, 5.74; N, 7.95%.
6-Hydroxy-N-[(1S)-1-(4-methoxyphenyl)ethyl]-2-methyl-4-oxo-2,4-dihydro-1H-pyrrolo[3,2,1-ij]quinoline-5-carboxamide (3d). The yield was: 3.06 g (81%); colorless crystals; mp 141–143 °C; [α] D 20 = +3.2°, c = 3, DMSO; 1H-NMR (400 MHz, DMSO-d6): δ 17.16 (s, 1H, 6-OH), 10.72 (d, 1H, J = 7.6, NH), 7.70 (d, 1Н, J = 8.0, Н-7), 7.51 (d, 1H, J = 7.1, H-9), 7.31 (d, 2Н, J = 8.5, Н-3′,5′), 7.22 (t, 1H, J = 7.6, H-8), 6.90 (d, 2Н, J = 8.5, Н-2′,6′), 5.15 (m, 1H, J = 6.4, NHСН), 4.97 (m, 1Н, 2-CН), 3.79 (s, 3H, OMe), 3.67 (dd, 1H, J = 16.9 and 9.2, NCH(Me)СН-cis), 2.99 (dd, 1H, J = 16.9 and 2.6, NCH(Me)СН-trans), 1.58 (d, 3H, J = 7.0, 2-СН3), 1.54 (d, 3H, J = 6.6, 2-СН3). 13C-NMR (100 MHz, DMSO-d6): δ 172.6 (6-C-OH), 170.4 (5-C=O), 161.0 (4-C=O), 158.9, 141.7, 135.4, 130.6, 129.1, 127.7, 124.0, 120.9, 114.5, 112.5, 97.6 (5-C), 57.2 (OCH3), 55.6 (2-CH), 48.2 (NHCH2), 36.0 (1-CH2), 22.8 (CH3), 20.6 (CH3). EI-MS (m/z, %): 378 (66) [M]+, 227 (37), 151 (100). The Anal. Calcd. was for C22H22N2O4: C, 69.83; H, 5.86; N, 7.40%. We found: C, 69.90; H, 5.77; N, 7.34%.
6-Hydroxy-N-[(1R)-1-(4-methoxyphenyl)ethyl]-2-methyl-4-oxo-2,4-dihydro-1H-pyrrolo[3,2,1-ij]quinoline-5-carboxamide (3e). The yield was: 3.09 g (82%); colorless crystals; mp 141–143 °C; [α] D 20 = −3.2°, c = 3, DMSO; 1H-NMR (400 MHz, DMSO-d6): δ 17.16 (s, 1H, 6-OH), 10.72 (d, 1H, J = 7.6, NH), 7.70 (d, 1Н, J = 8.0, Н-7), 7.51 (d, 1H, J = 7.1, H-9), 7.31 (d, 2Н, J = 8.5, Н-3′,5′), 7.22 (t, 1H, J = 7.6, H-8), 6.90 (d, 2Н, J = 8.5, Н-2′,6′), 5.15 (m, 1H, J = 6.4, NHСН), 4.97 (m, 1Н, 2-CН), 3.79 (s, 3H, OMe), 3.67 (dd, 1H, J = 16.9 and 9.2, NCH(Me)СН-cis), 2.99 (dd, 1H, J = 16.9 and 2.6, NCH(Me)СН-trans), 1.58 (d, 3H, J = 7.0, 2-СН3), 1.54 (d, 3H, J = 6.6, 2-СН3). 13C-NMR (100 MHz, DMSO-d6): δ 172.6 (6-C-OH), 170.4 (5-C=O), 161.0 (4-C=O), 158.9, 141.7, 135.4, 130.6, 129.1, 127.7, 124.0, 120.9, 114.5, 112.5, 97.6 (5-C), 57.2 (OCH3), 55.6 (2-CH), 48.2 (NHCH2), 36.0 (1-CH2), 22.8 (CH3), 20.6 (CH3). EI-MS (m/z, %): 378 (63) [M]+, 227 (40), 151 (100). The Anal. Calcd. was for C22H22N2O4: C, 69.83; H, 5.86; N, 7.40%. We found: C, 69.91; H, 5.94; N, 7.48%.
6-Hydroxy-2-methyl-4-oxo-N-(2-phenylethyl)-2,4-dihydro-1H-pyrrolo[3,2,1-ij]quinoline-5-carboxamide (4a). The yield was: 2.99 g (86%); colorless crystals; mp 95–97 °C; 1H-NMR (400 MHz, DMSO-d6): δ 17.24 (s, 1H, 6-OH), 10.38 (t, 1H, J = 5.2, NH), 7.69 (d, 1Н, J = 8.0, Н-7), 7.48 (d, 1H, J = 7.0, H-9), 7.32–7.24 (m, 5Н, Н-2′,3′,4′,5′,6′), 7.19 (t, 1H, J = 7.5, H-8), 4.95 (m, 1Н, 2-CН), 3.70–3.55 (m, 3H, NCH(Me)СН-cis + CH2CH2Ph), 2.98 (dd, 1H, J = 17.0 and 2.6, NCH(Me)СН-trans), 2.91 (t, 2H, J = 7.3, CH2CH2Ph), 1.51 (d, 3H, J = 6.2, 2-СН3). 13C-NMR (100 MHz, DMSO-d6): δ 172.6 (6-C-OH), 171.5 (5-C=O), 160.8 (4-C=O), 141.7, 139.4, 130.4, 129.1, 128.8, 126.7, 124.1, 123.8, 120.9, 112.5, 97.6 (5-C), 57.1 (2-CH), 40.9 (NHCH2), 36.0 (1-CH2), 35.3 (CH2-Ph), 20.5 (2-CH3). EI-MS (m/z, %): 348 (65) [M]+, 227 (31), 121 (100). The Anal. Calcd. was for C21H20N2O3: C, 72.40; H, 5.79; N, 8.04%. We found: C, 72.46; H, 5.85; N, 8.12%.
N-[2-(3-Chlorophenyl)ethyl]-6-hydroxy-2-methyl-4-oxo-2,4-dihydro-1H-pyrrolo[3,2,1-ij]quinoline-5-carboxamide (4b). The yield was: 3.41 g (89%); colorless crystals; mp 99–100 °C; 1H-NMR (400 MHz, DMSO-d6): δ 17.21 (s, 1H, 6-OH), 10.41 (t, 1H, J = 5.0, NH), 7.70 (d, 1Н, J = 8.0, Н-7), 7.49 (d, 1H, J = 7.0, H-9), 7.35–7.29 (m, 2Н, Н-2′,4′), 7.27–7.23 (m, 2Н, Н-5′,6′), 7.19 (t, 1H, J = 7.6, H-8), 4.97 (m, 1Н, 2-CН), 3.69–3.60 (m, 3H, NCH(Me)СН-cis + CH2CH2Ar), 2.99 (dd, 1H, J = 17.0 and 2.7, NCH(Me)СН-trans), 2.93 (t, 2H, J = 7.3, CH2CH2Ar), 1.53 (d, 3H, J = 6.3, 2-СН3). 13C-NMR (100 MHz, DMSO-d6): δ 172.6 (6-C-OH), 171.4 (5-C=O), 160.8 (4-C=O), 141.9, 136.1, 141.6, 133.5, 130.6, 130.2, 128.9, 127.8, 123.8, 120.9, 116.6, 112.5, 97.4 (5-C), 57.1 (2-CH), 40.8 (NHCH2), 36.0 (1-CH2), 34.8 (CH2-Ar), 20.5 (2-CH3). EI-MS (m/z, %): 382/384 (56/17) [M]+, 227 (34), 155/157 (100/26). The Anal. Calcd. was for C21H19ClN2O3: C, 65.88; H, 5.00; N, 7.32%. We found: C, 65.96; H, 4.93; N, 7.25%.
N-[2-(4-Chlorophenyl)ethyl]-6-hydroxy-2-methyl-4-oxo-2,4-dihydro-1H-pyrrolo[3,2,1-ij]quinoline-5-carboxamide (4c). The yield was: 3.48 g (91%); colorless crystals; mp 104–105 °C; 1H-NMR (400 MHz, DMSO-d6): δ 17.22 (s, 1H, 6-OH), 10.40 (t, 1H, J = 5.0, NH), 7.70 (d, 1Н, J = 8.0, Н-7), 7.50 (d, 1H, J = 7.0, H-9), 7.29 (d, 4Н, J = 8.6, Н-2′,3′,5′,6′), 7.21 (t, 1H, J = 7.6, H-8), 4.97 (m, 1Н, 2-CН), 3.73–3.54 (m, 3H, NCH(Me)СН-cis + CH2CH2Ar), 2.99 (dd, 1H, J = 17.0 and 2.7, NCH(Me)СН-trans), 2.92 (t, 2H, J = 7.2, CH2CH2Ar), 1.53 (d, 3H, J = 6.4, 2-СН3). 13C-NMR (100 MHz, DMSO-d6): δ 172.6 (6-C-OH), 171.5 (5-C=O), 160.7 (4-C=O), 141.5, 138.4, 133.6, 130.5, 130.1, 129.1, 128.7, 123.8, 120.9, 112.2, 97.7 (5-C), 57.1 (2-CH), 40.9 (NHCH2), 36.0 (1-CH2), 34.5 (CH2-Ar), 20.5 (2-CH3). EI-MS (m/z, %): 382/384 (50/14) [M]+, 227 (37), 155/157 (100/28). The Anal. Calcd. was for C21H19ClN2O3: C, 65.88; H, 5.00; N, 7.32%. We found: C, 65.97; H, 4.95; N, 7.41%.
N-[2-(3,4-Dimethoxyphenyl)ethyl]-6-hydroxy-2-methyl-4-oxo-2,4-dihydro-1H-pyrrolo[3,2,1-ij]quinoline-5-carboxamide (4d). The yield was: 3.76 g (92%); colorless crystals; mp 118–120 °C; 1H-NMR (400 MHz, DMSO-d6): δ 17.31 (s, 1H, 6-OH), 10.39 (t, 1H, J = 4.5, NH), 7.70 (d, 1Н, J = 8.0, Н-7), 7.50 (d, 1H, J = 7.0, H-9), 7.21 (t, 1H, J = 7.5, H-8), 6.90 (s, 1H, H-2′), 6.83 (d, 1H, J = 8.6, H-5′), 6.77 (d, 1H, J = 8.1, H-6′), 4.96 (m, 1Н, 2-CН), 3.81 (s, 3H, 4′-OMe), 3.77 (s, 3H, 3′-OMe), 3.70–3.59 (m, 3H, NCH(Me)СН-cis + CH2CH2Ar), 2.99 (dd, 1H, J = 17.0 and 2.6, NCH(Me)СН-trans), 2.85 (t, 2H, J = 7.0, CH2CH2Ar), 1.53 (d, 3H, J = 6.3, 2-СН3). 13C-NMR (100 MHz, DMSO-d6): δ 172.7 (6-C-OH), 171.3 (5-C=O), 160.7 (4-C=O), 149.1, 147.8, 141.6, 128.9, 127.6, 126.5, 125.1, 124.8, 123.9, 120.9, 113.0, 112.4, 97.5 (5-C), 57.1 (2-CH), 55.9 (OMe), 55.7 (OMe), 40.9 (NHCH2), 36.0 (1-CH2), 34.8 (CH2-Ar), 20.5 (2-CH3). EI-MS (m/z, %): 408 (43) [M]+, 227 (32), 181 (100). The Anal. Calcd. was for C23H24N2O5: C, 67.63; H, 5.92; N, 6.86%. We found: C, 67.55; H, 6.01; N, 6.80%.
6-Hydroxy-2-methyl-4-oxo-N-(3-phenylpropyl)-2,4-dihydro-1H-pyrrolo[3,2,1-ij]quinoline-5-carboxamide (5). The yield was: 3.26 g (90%); colorless crystals; mp 100–102 °C; 1H-NMR (400 MHz, DMSO-d6): δ 17.30 (s, 1H, 6-OH), 10.43 (t, 1H, J = 4.6, NH), 7.70 (d, 1Н, J = 8.1, Н-7), 7.50 (d, 1H, J = 7.1, H-9), 7.31–7.14 (m, 6H, H-8 + Ph), 4.98 (m, 1Н, 2-CН), 3.66 (dd, 1H, J = 17.0 and 9.4, NCH(Me)СН-cis), 3.42 (q, 2H, J = 6.4, CH2CH2CH2Ph), 2.99 (dd, 1H, J = 17.0 and 2.7, NCH(Me)СН-trans), 2.72 (t, 2H, J = 7.6, CH2CH2CH2Ph), 1.95 (m, 2H, J = 7.4, CH2CH2CH2Ar), 1.54 (d, 3H, J = 6.3, 2-СН3). 13C-NMR (100 MHz, DMSO-d6): δ 172.5 (6-C-OH), 171.4 (5-C=O), 160.9 (4-C=O), 147.8, 145.3, 141.6, 130.4, 128.6, 126.2, 123.7, 120.9, 117.0, 112.3, 97.8 (5-C), 57.1 (2-CH), 38.5 (NHCH2), 36.0 (1-CH2), 32.9 (CH2-Ar), 30.8 (CH2CH2-Ar), 20.5 (2-CH3). EI-MS (m/z, %): 362 (47) [M]+, 227 (28), 135 (100). The Anal. Calcd. was for C22H22N2O3: C, 72.91; H, 6.12; N, 7.73%. We found: C, 72.83; H, 6.19; N, 7.82%.
6-Hydroxy-2-methyl-4-oxo-N-(pyridin-2ylmethyl)-2,4-dihydro-1H-pyrrolo[3,2,1-ij]quinoline-5-carboxamide (6a). The yield was: 3.04 g (91%); colorless crystals; mp 133–135 °C; 1H-NMR (400 MHz, DMSO-d6): δ 17.10 (s, 1H, 6-OH), 10.93 (t, 1H, J = 4.7, NH), 8.55 (d, 1H, J = 4.3, Н-6′), 7.74 (t, 1H, J = 7.6, Н-4′), 7.69 (d, 1Н, J = 8.0, Н-7), 7.48 (d, 1H, J = 7.0, H-9), 7.36 (d, 1H, J = 7.8, Н-3′), 7.29 (t, 1H, J = 5.3, Н-5′), 7.19 (t, 1H, J = 7.5, H-8), 4.97 (m, 1Н, 2-CН), 4.70 (d, 2H, J = 5.5, NСН2), 3.64 (dd, 1H, J = 17.0 and 9.4, NCH(Me)СН-cis), 2.96 (dd, 1H, J = 17.0 and 2.7, NCH(Me)СН-trans), 1.54 (d, 3H, J = 6.3, 2-СН3). 13C-NMR (100 MHz, DMSO-d6): δ 172.7 (6-C-OH), 171.2 (5-C=O), 160.8 (4-C=O), 158.7, 150.2, 141.3, 137.5, 130.3, 126.2, 123.4, 122.5, 121.8, 120.6, 111.9, 97.3 (5-C), 57.3 (2-CH), 45.1 (NHCH2), 36.0 (1-CH2), 20.2 (2-CH3). EI-MS (m/z, %): 335 (72) [M]+, 227 (41), 108 (100). The Anal. Calcd. was for C19H17N3O3: C, 68.05; H, 5.11; N, 12.53%. We found: C, 68.13; H, 5.18; N, 12.44%.
6-Hydroxy-2-methyl-4-oxo-N-(pyridin-3ylmethyl)-2,4-dihydro-1H-pyrrolo[3,2,1-ij]quinoline-5-carboxamide (6b). The yield was: 3.12 g (93%); colorless crystals; mp 172–174 °C; 1H-NMR (400 MHz, DMSO-d6): δ 16.97 (s, 1H, 6-OH), 10.71 (t, 1H, J = 5.6, NH), 8.59 (s, 1H, Н-2′), 8.46 (d, 1H, J = 4.6, Н-6′), 7.77 (d, 1H, J = 7.8, Н-4′), 7.69 (d, 1Н, J = 8.0, Н-7), 7.49 (d, 1H, J = 7.1, H-9), 7.34 (t, 1H, J = 6.3, Н-5′), 7.21 (t, 1H, J = 7.6, H-8), 4.96 (m, 1Н, 2-CН), 4.64 (d, 2H, J = 5.9, NСН2), 3.65 (dd, 1H, J = 17.0 and 9.4, NCH(Me)СН-cis), 2.97 (dd, 1H, J = 17.0 and 3.0, NCH(Me)СН-trans), 1.54 (d, 3H, J = 6.3, 2-СН3). 13C-NMR (100 MHz, DMSO-d6): δ 172.1 (6-C-OH), 171.3 (5-C=O), 160.6 (4-C=O), 149.5, 148.4, 141.6, 138.2, 130.4, 126.8, 123.7, 123.5, 121.8, 120.3, 111.6, 97.6 (5-C), 57.1 (2-CH), 45.1 (NHCH2), 36.1 (1-CH2), 20.3 (2-CH3). EI-MS (m/z, %): 335 (70) [M]+, 227 (43), 108 (100). The Anal. Calcd. was for C19H17N3O3: C, 68.05; H, 5.11; N, 12.53%. We found: C, 68.11; H, 5.03; N, 12.46%.
6-Hydroxy-2-methyl-4-oxo-N-(pyridin-4ylmethyl)-2,4-dihydro-1H-pyrrolo[3,2,1-ij]quinoline-5-carboxamide (6c). The yield was: 2.91 g (87%); colorless crystals; mp 155–157 °C; 1H-NMR (400 MHz, DMSO-d6): δ 16.88 (s, 1H, 6-OH), 10.82 (t, 1H, J = 5.4, NH), 8.50 (d, 2H, J = 5.6, Н-2′,6′), 7.72 (d, 1Н, J = 8.1, Н-7), 7.52 (d, 1H, J = 7.1, H-9), 7.33 (d, 2H, J = 5.6, Н-3′,5′), 7.23 (t, 1H, J = 7.6, H-8), 4.99 (m, 1Н, 2-CН), 4.65 (d, 2H, J = 5.8, NСН2), 3.67 (dd, 1H, J = 17.0 and 9.4, NCH(Me)СН-cis), 2.99 (dd, 1H, J = 17.0 and 3.0, NCH(Me)СН-trans), 1.56 (d, 3H, J = 6.3, 2-СН3). 13C-NMR (100 MHz, DMSO-d6): δ 172.8 (6-C-OH), 171.3 (5-C=O), 160.9 (4-C=O), 150.2, 148.2, 141.2, 130.5, 126.8, 123.6, 122.7, 120.7, 111.5, 97.7 (5-C), 57.0 (2-CH), 45.2 (NHCH2), 36.0 (1-CH2), 20.6 (2-CH3). EI-MS (m/z, %): 335 (76) [M]+, 227 (35), 108 (100). The Anal. Calcd. was for C19H17N3O3: C, 68.05; H, 5.11; N, 12.53%. We found: C, 67.97; H, 5.02; N, 12.45%.
N-(2-Furylmethyl)-6-hydroxy-2-methyl-4-oxo-2,4-dihydro-1H-pyrrolo[3,2,1-ij]quinoline-5-carboxamide (6d). The yield was: 2.92 g (90%); white with yellowish crystals; mp 194–196 °C; 1H-NMR (400 MHz, DMSO-d6): δ 16.94 (s, 1H, 6-OH), 10.63 (t, 1H, J = 5.2, NH), 7.70 (d, 1Н, J = 8.1, Н-7), 7.53–7.47 (m, 2H, H-9 + H-5′), 7.20 (t, 1H, J = 7.6, H-8), 6.37 (t, 1H, J = 2.4, Н-4′), 6.31 (d, 1H, J = 2.7, Н-3′), 4.95 (m, 1Н, 2-CН), 4.58 (d, 2H, J = 5.6, NСН2), 3.65 (dd, 1H, J = 17.0 and 9.4, NCH(Me)СН-cis), 2.98 (dd, 1H, J = 17.0 and 3.0, NCH(Me)СН-trans), 1.52 (d, 3H, J = 6.3, 2-СН3). 13C-NMR (100 MHz, DMSO-d6): δ 172.3 (6-C-OH), 171.5 (5-C=O), 160.8 (4-C=O), 152.2, 142.8, 141.5, 130.7, 126.8, 123.4, 120.1, 111.5, 111.0, 107.5, 97.8 (5-C), 57.4 (2-CH), 45.1 (NHCH2), 36.1 (1-CH2), 20.5 (2-CH3). EI-MS (m/z, %): 324 (60) [M]+, 227 (33), 97 (100). The Anal. Calcd. was for C18H16N2O4: C, 66.66; H, 4.97; N, 8.64%. We found: C, 66.74; H, 5.05; N, 8.71%.
6-Hydroxy-2-methyl-N-[(5-methyl-2-furyl)methyl]-4-oxo-2,4-dihydro-1H-pyrrolo[3,2,1-ij]quinoline-5-carboxamide (6e). The yield was: 3.14 g (93%); white with yellowish crystals; mp 146–148 °C; 1H-NMR (400 MHz, DMSO-d6): δ 17.01 (s, 1H, 6-OH), 10.60 (t, 1H, J = 4.8, NH), 7.71 (d, 1Н, J = 8.0, Н-7), 7.52 (d, 1H, J = 7.1, H-9), 7.22 (t, 1H, J = 7.5, H-8), 6.19 (d, 1H, J = 2.1, Н-4′), 5.96 (s, 1H, Н-3′), 4.97 (m, 1Н, 2-CН), 4.53 (d, 2H, J = 5.1, NСН2), 3.66 (dd, 1H, J = 17.0 and 9.4, NCH(Me)СН-cis), 2.99 (dd, 1H, J = 17.0 and 3.0, NCH(Me)СН-trans), 2.31 (s, 3H, 5′-Me), 1.53 (d, 3H, J = 6.3, 2-СН3). 13C-NMR (100 MHz, DMSO-d6): δ 172.7 (6-C-OH), 171.3 (5-C=O), 160.8 (4-C=O), 151.3, 150.2, 141.2, 130.4, 126.6, 123.5, 120.7, 111.9, 108.1, 106.9, 97.6 (5-C), 57.3 (2-CH), 45.1 (NHCH2), 36.0 (1-CH2), 20.4 (2-CH3), 13.7 (5′-CH3). EI-MS (m/z, %): 338 (55) [M]+, 227 (32), 111 (100). The Anal. Calcd. was for C19H18N2O4: C, 67.45; H, 5.36; N, 8.28%. We found: C, 67.37; H, 5.40; N, 8.36%.
6-Hydroxy-2-methyl-4-oxo-N-(tetrahydrofuran-2-ylmethyl)-2,4-dihydro-1H-pyrrolo[3,2,1-ij]quinoline-5-carboxamide (6f). The yield was: 2.66 g (81%); colorless crystals; mp 123–125 °C; 1H-NMR (400 MHz, DMSO-d6): δ 17.25 (s, 1H, 6-OH), 10.45 (t, 1H, J = 5.6, NH), 7.70 (d, 1Н, J = 8.0, Н-7), 7.50 (d, 1H, J = 7.1, H-9), 7.21 (t, 1H, J = 7.6, H-8), 4.98 (m, 1Н, 2-CН), 4.03 (m, 1H, 2′-СН), 3.90 (q, 1H, J = 6.8, NHCH), 3.73 (q, 1H, J = 6.8, NHCH), 3.66 (dd, 1H, J = 17.0 and 9.4, NCH(Me)СН-cis), 3.58–3.35 (m, 2H, 5′-СН2), 2.99 (dd, 1H, J = 17.0 and 2.5, NCH(Me)СН-trans), 2.08–1,99 (m, 1H, 3′-СН), 1.97–1.86 (m, 2H, 4′-СН2), 1.69–1.58 (m, 1H, 3′-СН), 1.54 (d, 3H, J = 6.3, 2-СН3). 13C-NMR (100 MHz, DMSO-d6): δ 172.8 (6-C-OH), 171.7 (5-C=O), 160.4 (4-C=O), 141.6, 130.6, 126.4, 123.7, 120.5, 111.8, 97.7 (5-C), 77.3 (2′-CH), 67.7 (5′-CH2), 57.4 (2-CH), 45.0 (NHCH2), 36.1 (1-CH2), 29.1 (3′-CH2), 25.6 (4′-CH2), 20.5 (2-CH3). EI-MS (m/z, %): 328 (47) [M]+, 227 (30), 101 (100). The Anal. Calcd. was for C18H20N2O4: C, 65.84; H, 6.14; N, 8.53%. We found: C, 65.91; H, 6.05; N, 8.47%.
6-Hydroxy-2-methyl-4-oxo-N-(2-thienylmethyl)-2,4-dihydro-1H-pyrrolo[3,2,1-ij]quinoline-5-carboxamide (6f). The yield was: 2.99 g (88%); white with yellowish crystals; mp 167–169 °C; 1H-NMR (400 MHz, DMSO-d6): δ 17.00 (s, 1H, 6-OH), 10.73 (t, 1H, J = 5.4, NH), 7.72 (d, 1Н, J = 8.1, Н-7), 7.51 (d, 1H, J = 7.1, H-9), 7.34 (d, J = 5.0, H-5′), 7.22 (t, 1H, J = 7.6, H-8), 7.08 (d, J = 2.9, H-3′), 6.98 (t, 1H, J = 5.0, Н-4′), 4.97 (m, 1Н, 2-CН), 4.78 (d, 2H, J = 4.2, NСН2), 3.66 (dd, 1H, J = 17.0 and 9.4, NCH(Me)СН-cis), 2.99 (dd, 1H, J = 17.0 and 3.0, NCH(Me)СН-trans), 1.53 (d, 3H, J = 6.3, 2-СН3). 13C-NMR (100 MHz, DMSO-d6): δ 172.6 (6-C-OH), 171.2 (5-C=O), 160.3 (4-C=O), 142.2, 141.5, 130.5, 127.3, 126.8, 126.4, 125.8, 123.6, 120.7, 111.4, 97.4 (5-C), 57.1 (2-CH), 45.1 (NHCH2), 36.0 (1-CH2), 20.4 (2-CH3). EI-MS (m/z, %): 340 (64) [M]+, 227 (37), 113 (100). The Anal. Calcd. was for C18H16N2O3S: C, 63.51; H, 4.74; N, 8.23%. We found: C, 63.43; H, 4.80; N, 8.15%.
N-(Cyclohexylmethyl)-6-hydroxy-2-methyl-4-oxo-2,4-dihydro-1H-pyrrolo[3,2,1-ij]quinoline-5-carboxamide (7). The yield was: 2.89 g (85%); colorless crystals; mp 138–140 °C; 1H-NMR (400 MHz, DMSO-d6): δ 17.38 (s, 1H, 6-OH), 10.41 (t, 1H, J = 4.8, NH), 7.70 (d, 1Н, J = 8.0, Н-7), 7.50 (d, 1H, J = 7.0, H-9), 7.21 (t, 1H, J = 7.5, H-8), 4.97 (m, 1Н, 2-CН), 3.66 (dd, 1H, J = 17.0 and 9.4, NCH(Me)СН-cis), 3.32–3.20 (m, 2H, NHCH2), 2.99 (dd, 1H, J = 17.0 and 2.6, NCH(Me)СН-trans), 1.85–1.58 (m, 6H, 3′, 4′,5′-СН2), 1.54 (d, 3H, J = 6.3, 2-СН3), 1.34–1.17 (m, 3H, 1′-CH + 2′-CH + 6′-CH), 1.11–0.97 (m, 2H, 2′-CH + 6′-CH). 13C-NMR (100 MHz, DMSO-d6): δ 172.4 (6-C-OH), 171.6 (5-C=O), 160.4 (4-C=O), 141.4, 130.7, 126.5, 123.2, 120.3, 111.7, 97.5 (5-C), 57.2 (2-CH), 45.3 (NHCH2), 37.9 (1′-CH), 36.2 (1-CH2), 30.7 (2′,6′-CH2), 26.8 (4′-CH2), 25.8 (3′,5′-CH2), 20.5 (2-CH3). EI-MS (m/z, %): 340 (53) [M]+, 227 (35), 113 (100). The Anal. Calcd. was for C20H24N2O3: C, 70.57; H, 7.11; N, 8.23%. We found: C, 70.66; H, 7.19; N, 8.30%.

2.3. Pharmacology

Diuretic Test

All pharmacological research were carried out in full accordance with the European Convention on the Protection of Vertebrate Animals Used for Experimental and Other Scientific Purposes and the Ukrainian Law No. 3447-IV “On protection of animals from severe treatment” [29] (project ID 1674U13 approved 22 September 2012). The biological experiments were carried out with the permission and under the supervision of the Commission on Bioethics (Kharkiv State Zooveterinary Academy, Kharkiv region, Ukraine).
The effect of N-(arylalkyl)-6-hydroxy-2-methyl-4-oxo-2,4-dihydro-1H-pyrrolo[3,2,1-ij] quinoline-5-carboxamides synthesized on the excretory function of the kidneys was studied in white outbred rats of both genders with weights of 180–200 g by the standard method [30]. All experimental animals were given a water load calculated in 25 mL/kg via a gastric tube. The control group was given only the similar amount of water with Tween-80. The amides 27 tested were introduced per os in the form of thin water suspension stabilized by Tween-80. Then, the animals were placed in “metabolic cages”. The testing was carried out in the dose of 10 mg/kg, which corresponds to the mean effective dose (ED50) of one of the most active tricyclic pyrroloquinoline diuretics (VIII, R = 4-methoxyphenyl). The values of excretion were registered after 4 h and compared with the control, as well as a known diuretic, Hydrochlorothiazide [31], used at its ED50 (40 mg/kg). Ten experimental animals were involved to obtain statistically reliable results (the significance level of the confidence interval accepted in this work was p ≤ 0.05) in testing each of amides 27, the reference drugs and control.

3. Results and Discussion

3.1. Chemistry

In principle, all target N-(arylalkyl)-6-hydroxy-2-methyl-4-oxo-2,4-dihydro-1H-pyrrolo[3,2,1-ij] quinoline-5-carboxamides 27 can be obtained by the method proven effective in the synthesis of anilides, i.e., thermolysis of a mixture of equimolar quantities of tricyclic ester 1 and the the corresponding primary arylalkylamine at a temperature of 130–140 °С [27,28]. However, it must be understood that, unlike anilines, which have much higher reactivity for the interaction, such strict conditions are not obligatory for arylalkylamines with ester 1. Another moment requiring attention is that many of arylalkylamines (this is especially true of benzyl amines) tend to form inert carbonates with carbon dioxide of the air extremely easily and quickly. Therefore, it is much more expedient to perform amidation of ester 1 with arylalkylamines in the medium of any solvent, such as boiling ethanol (Scheme 1).
It can also be noted that a significant decrease in temperature allows for carrying out the synthesis of arylalkylamides 27 without fear of partial decomposition of ester 1, which is typical of the abovementioned thermolysis [27,28]. Under mild conditions, hydrolysis of this compound does not compete its amidation; therefore, the preliminary dehydration of the solvent and amines is not required. As a result, arylalkylamides 27 are formed in high yields and purity (see Section 2.2).
The chemical structure of all N-(arylalkyl)-6-hydroxy-2-methyl-4-oxo-2,4-dihydro-1H-pyrrolo [3,2,1-ij]quinoline-5-carboxamides 27 synthesized was confirmed by the data of elemental analysis, NMR spectroscopy (1Н and 13С), mass spectrometry, and polarimetry.
When interpreting 1H NMR spectra of arylalkylamides 27, the attention is drawn to the tricyclic nucleus, which is common for all samples and, first of all, its 2-methylpyrroline fragment. Protons and the methyl group of this “hard” heterocycle have a fixed orientation, which is a source of problems in detailed structural analysis. For example, in the 1H NMR spectrum of benzylamide 2a a multiplet for a methine proton at 4.97 ppm, a doublet at 1.54 ppm for the 2-methyl group, and two double doublets for the methylene group protons with the centers at 3.66 and 2.99 ppm correspond to protons of this fragment. Everything is simple and clear with the first two signals, but the specific assignment of the methylene group proton signals requires additional effort. Such stereochemical tasks can be solved in different ways. One of the versions is to use Karplus formula or its graphical representation [32] correlating the value of the dihedral angle between the interacting protons with the vicinal (3J) spin–spin coupling constant (SSCC). The simple calculations of the theoretical torsion angles and the vicinal SSCC described in detail earlier [27] and their subsequent comparison with the experimental values allow us to easily and unambiguously determine that, in a weaker field, there is the signal of a methylene proton, which by spin–spin coupling is a cis partner of a metine proton (Figure 4).
Interpretation of the proton signals of the second component of the tricyclic nucleus of arylalkylamides 27—the quinolone fragment—is much easier. The protons of the 6-hydroxy groups appear as narrow singlets in the area that is typical for enols: 17.31–16.92 ppm. Aromatic quinolone protons in all 1H NMR spectra present a very stable picture, which consists of two doublets (H-7 and H-9) and one triplet (H-8) and does not experience any influence from the terminal amide fragments (Figure 5).
13C NMR spectra of all N-(arylalkyl)-6-hydroxy-2-methyl-4-oxo-2,4-dihydro-1H-pyrrolo[3,2,1-ij] quinoline-5-carboxamides 27 allow for reliably identifying the signals of only some carbon atoms of tricyclic nucleus: 6-С-ОН, 5-С=О, 4-С=О, 5-С, 2-CH, 1-CH2, and 2-CH3 (see Section 2.2). It is incorrect to relate all other signals to any specific carbon atom (especially in the aromatic region of the spectrum) without additional two-dimensional experiments. However, they also give the useful information—at least, concerning the number of carbon atoms in the molecule.
The mass spectra registered under conditions of electron impact ionization confirm the structure of N-(arylalkyl)-6-hydroxy-2-methyl-4-oxo-2,4-dihydro-1H-pyrrolo[3,2,1-ij]quinoline-5-carboxamides 27 by determining their molecular weight, first of all. In addition, the analysis of the fragmentation ions that are formed during the primary fragmentation of molecular ions also provides the analytically important information about the components of the molecule under study (Scheme 2). It has been shown in the example of benzylamide 2a, which is typical for the whole group studied, that this process proceeds by the ketene type that is common for 4-hydroxy-2-oxo-1,2-dihydroquinoline-3-carboxamides and their tricyclic analogs [25,26], namely after breaking of the acyclic amide bond two characteristic fragments—the ion of tricyclic ketene 8 with m/z 227 and the ion of arylalkylamine 9, which is specific for each sample, are formed.
According to the data of polarimetry, it has been found that chiral 1-phenylethylamides е rotates the polarization plane in the opposite direction compared to the original amines. We already observed a similar phenomenon in optically active N-(1-phenylethyl)-4-hydroxy-2-oxo-1,2-dihydroquinoline-3-carboxamides [33]. The detailed analytical study conducted at that time with the use of X-ray diffraction analysis convincingly proved that there was neither the configuration conversion, nor racemization in these reactions. In general, the substance configuration and the direction of the polarization plane rotation, as is known [34], are not related to each other’s characteristics. In addition, unlike the true configuration (S or R), the specific rotation indicators and their signs (+ or −) are not constant values and depend on many external factors (concentration, solvent, temperature, etc.). Therefore, it can be stated with complete certainty that the chiral centers of 1-phenylethylamides е retain the configuration of the original amines.

3.2. Evaluation of the Diuretic Activity

The analysis of the results of the experimental study (Table 1), including the effect of N-(arylalkyl)-6-hydroxy-2-methyl-4-oxo-2,4-dihydro-1H-pyrrolo[3,2,1-ij]quinoline-5-carboxamides 27 synthesized on the urinary function of the kidneys, revealed curious and rather unexpected structural and biological regularities. First of all, the fact that in all groups of compounds with the phenyl nuclei in the amide fragments the unsubstituted derivatives , and 4a appeared to be the most active should be noted. The negative impact on the diuretic properties of the test substances of all the substituents without exception and especially the methoxy groups was extremely surprising since, prior to this, the presence of the 4-methoxysubstituted aromatic ring in terminal amide fragments was considered as a desirable and even necessary factor [15,23,35].
Replacement of the phenyl nucleus in benzylamide with the isosteric heterocycle (2-, 3- or 4-pyridine, furan, 5-methylfuran or thiophene) leads to a significant decrease in activity and even the total loss of the diuretic properties, and it deprives the entire group of hetarylmethylamides 6ag of any prospects as diuretics. Hydrogenation of the aromatic nucleus (amides 6f and 7), as well as removal of phenyl from the carbamide nitrogen atom by more than two carbon atoms (amide 5), causes a similar effect.
Among N-(arylalkyl)-6-hydroxy-2-methyl-4-oxo-2,4-dihydro-1H-pyrrolo[3,2,1-ij]quinoline-5-carboxamides studied only three samples, which, by the level of their specific activity, are not inferior to benzylamide 2a, 2-phenylethylamide 4a and even superior to S(+)-1-phenylethylamide 3a, the lead structure of the pyrroloquinoline VIII group (R = 4-methoxyphenyl) found earlier deserves further pharmacological study. In our opinion, S(+)-1-phenylethylamide 3a is of particular interest, and not only as the most active diuretic of the whole number of substances tested. So far, only the need for the presence of a 1-phenylethyl substituent in the amide fragment has been experimentally confirmed; moreover, it is always with the S-configuration of the chiral center. However, in the structure of amide 3a, there is one more asymmetric carbon atom in position 2. In other words, we have actually dealt with a racemic mixture of two substances: (2S)-cyclic,(S)-amide and (2R)-cyclic,(S)-amide. However, this problem applies to all other compounds of type 27. We hope that, in the near future, such mixtures will be able to effectively separate and track how the configuration of the cyclic 2-C-chiral center will affect the diuretic or other biological properties.

4. Conclusions

The work is devoted to N-(arylalkyl)-6-hydroxy-2-methyl-4-oxo-2,4-dihydro-1H-pyrrolo [3,2,1-ij]quinoline-5-carboxamides synthesized as “me-too” clones of tricyclic pyrrolo- and pyridoquinoline diuretics previously studied. To confirm the chemical structure of all compounds obtained for the elemental analysis, NMR spectroscopy (1Н and 13С), mass spectra and polarimetry were used. Pharmacological tests have shown that the methyl group in position 2 of the pyrrolo[3,2,1-ij]quinoline nucleus leads to unexpected results that are often inconsistent with the structural-biological regularities previously identified. The most interesting fact was the extremely negative effect on the diuretic properties of the 4-methoxyphenyl nucleus in the terminal amide fragment, whose presence was previously considered to be mandatory. Meanwhile, benzyl-, 2-phenylethyl- and, in particular S(+)-1-phenylethylamide of 6-hydroxy-2-methyl-4-oxo-2,4-dihydro-1H-pyrrolo[3,2,1-ij]quinoline-5-carboxylic acid, which are unsubstituted in the aromatic ring, have showed very high diuretic activity and are of interest for profound pharmacological studies as promising diuretics.

Author Contributions

The synthesis of the compounds presented in this work and analyses of their characteristics were performed by I.V.U., M.Y.G. and G.S. 1H and 13C-NMR spectra were recorded by M.Y.G. Mass spectrometric studies were performed by L.V.S. The pharmacological studies were conducted by V.I.K., L.A.G. and O.V.K. The manuscript was written by I.V.U., M.Y.G. and L.V.S.

Funding

This research received no external funding.

Acknowledgments

We are grateful to Vera M. Kravchenko (National University of Pharmacy, Kharkiv, Ukraine) for his assistance in carrying out biological research of the compounds synthesized and his valuable help when discussing the results.

Conflicts of Interest

The authors declare no conflict of interest.

References

  1. Kubinyi, H. In search of the new compounds-leaders for creation of drugs. Russian Chem. J. 2006, 50, 5–17. Available online: http://www.chem.msu.su/rus/journals/jvho/2006-2/5.pdf (accessed on 26 May 2006).
  2. Ukrainets, I.V.; Bereznyakova, N.L. Heterocyclic diuretics (review). Chem. Heterocycl. Compd. 2012, 48, 155–165. [Google Scholar] [CrossRef]
  3. McCarty-Dawson, D.; Sue, S.O.; Morrill, B.; Murdock, R.H., Jr. Ranitidine versus cimetidine in the healing of erosive esophagitis. Clin. Ther. 1996, 18, 1150–1160. [Google Scholar] [CrossRef]
  4. Lewis, R.A.; Baker, K.M.; Ayers, C.R.; Weaver, B.A.; Lehman, M.R. Captopril versus enalapril maleate: A comparison of antihypertensive and hormonal effects. J. Cardiovasc. Pharmacol. 1985, 7 (Suppl. 1), 12–15. [Google Scholar] [CrossRef]
  5. Lainscak, M.; Pelliccia, F.; Rosano, G.; Vitale, C.; Schiariti, M.; Greco, C.; Speziale, G.; Gaudio, C. Safety profile of mineralocorticoid receptor antagonists: Spironolactone and eplerenone. Int. J. Cardiol. 2015, 200, 25–29. [Google Scholar] [CrossRef] [PubMed]
  6. Pekarsky, B. Should financial incentives be used to differentially reward ‘me-too’ and innovative drugs? Pharmacoeconomics 2010, 28, 1–17. [Google Scholar] [CrossRef] [PubMed]
  7. DiMasi, J.A.; Faden, L.B. Competitiveness in follow-on drug R&D: A race or imitation? Nat. Rev. Drug Discos. 2011, 10, 23–27. [Google Scholar] [CrossRef]
  8. Giordanetto, F.; Boström, J.; Tyrchan, C. Follow-on drugs: How far should chemists look? Drug Discov. Today 2011, 16, 722–732. [Google Scholar] [CrossRef]
  9. Régnier, S. What is the value of ‘me-too’ drugs? Health Care Manag. Sci. 2013, 16, 300–313. [Google Scholar] [CrossRef]
  10. Guo, S.W. An overview of the current status of clinical trials on endometriosis: Issues and concerns. Fertil. Steril. 2014, 101, 183–190. [Google Scholar] [CrossRef]
  11. Ukrainets, I.V. Synthesis and study of new biologically active derivatives of malonic acid 2-carboxyphenylamide. In Thesis for Candidate Degree in Pharmacy; Kharkiv Pharmaceutical Institute (Now National University of Pharmacy): Kharkiv, Ukraine, 1988. [Google Scholar]
  12. Taran, S.G.; Ukrainets, I.V.; Lichanova, N.V.; Gorokhova, O.V.; Bezugly, P.A. 4-Hydroxy-2-quinolones. 47. Synthesis and diuretic activity of 1-R-2-oxo-4-hydroxyquinoline-3-carboxylic acids (2H-1,2,4-benzothiadiazine-1,1-dioxide-3-yl)-methylamides. Chem. Heterocycl. Compd. 2001, 37, 237–240. [Google Scholar] [CrossRef]
  13. Golik, M.Y.; Ukrainets, I.V.; Kravchenko, V.M.; Kolisnyk, O.V. Synthesis and biological properties of 1-R-4-hydroxy-2-oxo-1,2-dihydroquinoline-3-carboxylic acids benzylamides. News Pharm. 2011, 1, 33–37. [Google Scholar]
  14. Ukrainets, I.V.; Golik, M.Y.; Kravchenko, V.M.; Parshykov, V.O. Arylalkylamides of of 1-R-4-hydroxy-2-oxo-1,2-dihydroquinoline-3-carboxylic acids. Synthesis and biological activity. Med. Chem. 2011, 13, 82–87. [Google Scholar]
  15. Ukrainets, I.V.; Bereznyakova, N.L.; Grinevich, L.A.; Kuz’min, V.E.; Artemenko, A.G. 4-Hydroxy-2-quinolones. 177. Study of a structure—Diuretic activity relationship in a series of 4-hydroxy-2-oxo-1,2-dihydro-quinoline-3-carboxylic acids N-R-amides. Chem. Heterocycl. Compd. 2010, 46, 699–710. [Google Scholar] [CrossRef]
  16. Ukrainets, I.V.; Bereznyakova, N.L.; Parshykov, V.O.; Kravchenko, V.M. 4-Hydroxy-2-quinolones. 140. Synthesis and diuretic activity of 4-methyl-2-oxo-1,2-dihydroquinoline-3-carboxylic acid arylalkylamides. Chem. Heterocycl. Compd. 2008, 44, 64–72. [Google Scholar] [CrossRef]
  17. Ukrainets, I.V.; Bereznyakova, N.L.; Parshykov, V.O.; Naboka, O.I. 4-Hydroxy-2-quinolones. 142. 4-Methyl-2-oxo-1,2-dihydroquinoline-3-carboxylic acid anilides as potential diuretics. Chem. Heterocycl. Compd. 2008, 44, 178–183. [Google Scholar] [CrossRef]
  18. Ukrainets, I.V.; Sidorenko, L.V.; Gorokhova, O.V.; Jaradat, N.A. 4-Hydroxy-2-quinolones. 93. Synthesis and biological properties of 2-hydroxy-4-imino-1,4-dihydroquinoline-3-carboxylic acids N-R-amides. Chem. Heterocycl. Compd. 2006, 42, 475–487. [Google Scholar] [CrossRef]
  19. Golik, M.Y.; Ukrainets, I.V.; Kravchenko, V.M.; Alexeeva, T.V. Arylalkylamides of 4-hydroxy-2-oxo-1,2,5,6,7,8-hexahydroquinoline-3-carboxylic acid. Synthesis and diuretic activity. News Pharm. 2011, 4, 35–38. [Google Scholar]
  20. Ukrainets, I.V.; Tugaibei, I.A.; Bereznyakova, N.L.; Kravchenko, V.N.; Turov, A.V. 4-Hydroxy-2-quinolones. 144. Alkyl-, arylalkyl-, and arylamides of 2-hydroxy-4-oxo-4H-pyrido[1,2-a] pyrimidine-3-carboxylic acid and their diuretical properties. Chem. Heterocycl. Compd. 2008, 44, 565–575. [Google Scholar] [CrossRef]
  21. Ukrainets, I.V.; Petrushova, L.A.; Dzyubenko, S.P.; Grinevich, L.A.; Sim, G. Synthesis and biological properties of {[(4-hydroxy-1-methyl-2,2-dioxido-1H-2,1-benzothiazin-3-yl)carbonyl]amino}-benzoic acids and their derivatives. Pharm. Chem. J. 2017, 51, 553–557. [Google Scholar] [CrossRef]
  22. Ukrainets, I.V.; Bereznyakova, N.L.; Mospanova, E.V. 4-Hydroxy-2-quinolones. 121. Synthesis and biological properties of 1-hydroxy-3-oxo-5,6-dihydro-3H-pyrrolo[3,2,1-ij]quinoline-2-carboxylic acid alkylamides. Chem. Heterocycl. Compd. 2007, 43, 856–862. [Google Scholar] [CrossRef]
  23. Ukrainets, I.V.; Mospanova, E.V.; Bereznyakova, N.L.; Naboka, O.I. 4-Hydroxy-2-quinolones. 138. Synthesis and study of structure—biological activity relationships in a series of 1-hydroxy-3-oxo-5,6-dihydro-3H-pyrrolo[3,2,1-ij]quinoline-2-carboxylic acid anilides. Chem. Heterocycl. Compd. 2007, 43, 1532–1539. [Google Scholar] [CrossRef]
  24. Ukrainets, I.V.; Golik, N.Y.; Andreeva, K.V.; Gorokhova, O.V. 4-Hydroxy-2-quinolones. 194. 1-Hydroxy-3-oxo-6,7-dihydro-3H,5H-pyrido[3,2,1-ij]quinoline-2-carboxylic acid alkylamides. Synthesis, structure, and biological properties. Chem. Heterocycl. Compd. 2010, 46, 1459–1466. [Google Scholar] [CrossRef]
  25. Ukrainets, I.V.; Sidorenko, L.V.; Golik, M.Y.; Chernenok, I.M.; Grinevich, L.A.; Davidenko, A.A. N-Aryl-7-hydroxy-5-oxo-2,3-dihydro-1H,5H-pyrido[3,2,1-ij]quinoline-6-carboxamides. The synthesis and effects on urinary output. Sci. Pharm. 2018, 86, 12. [Google Scholar] [CrossRef]
  26. Ukrainets, I.V.; Golik, N.Y.; Chernenok, I.N. 4-Hydroxy-2-quinolones. 233. Diuretic activity of 9-bromo-7-hydroxy-5-oxo-2,3-dihydro-1H,5H-pyrido[3,2,1-ij]quinoline-6-carboxylic acid anilides. Chem. Heterocycl. Compd. 2013, 49, 1323–1330. [Google Scholar] [CrossRef]
  27. Ukrainets, I.V.; Golik, N.Y.; Shemchuk, A.L.; Naboka, O.I.; Voronina, Y.V.; Turov, A.V. 4-Hydroxy-2-quinolones. 197. The search for novel diuretics amongst halo-substituted 6-hydroxy-2-methyl-4-oxo-1,2-dihydro-4H-pyrrolo[3,2,1-ij]quinoline-5-carboxylic acid anilides. Chem. Heterocycl. Compd. 2011, 47, 826–832. [Google Scholar] [CrossRef]
  28. Ukrainets, I.V.; Golik, N.Y.; Shemchuk, A.L.; Kravchenko, V.N. 4-Hydroxy-2-quinolones. 201. Synthesis, structure, and diuretic activity of hydroxy- and alkoxyanilides of 6-hydroxy-2-methyl-4-oxo-2,4-dihydro-1H-pyrrolo[3,2,1-ij]quinoline-5-carboxylic acid. Chem. Heterocycl. Compd. 2011, 47, 1122–1127. [Google Scholar] [CrossRef]
  29. Ukrainian Law No. 3447-IV. On Protection of Animals from Severe Treatment. Available online: http://zakon2.rada.gov.ua/laws/show/3447-15 (accessed on 4 August 2017).
  30. Vogel, H.G. (Ed.) Drug Discovery and Evaluation: Pharmacological Assays, 2nd ed.; Springer: Berlin, Germany, 2008; pp. 459–461. [Google Scholar]
  31. Kleemann, A.; Engel, J.; Kutscher, B.; Reichert, D. Pharmaceutical Substances: Syntheses, Patents, Applications of the Most Relevant APIs, 5th ed.; Thieme: Stuttgart, Germany, 2008; p. 1800. [Google Scholar]
  32. Karplus, M. Contact electron-spin coupling of nuclear magnetic moments. J. Chem. Phys. 1959, 30, 11–15. [Google Scholar] [CrossRef]
  33. Ukrainets, I.V.; Taran, S.G.; Likhanova, N.V.; Rybakov, V.B.; Gorokhova, O.V.; Jaradat, N.A. 4-Hydroxy-2-quinolones. 38. Synthesis, structure investigation and anti-convulsant activity of the optically active 1-phenylethylamides of 1-R-2-oxo-4-hydroxyquinoline-3-carboxylic acids. Chem. Heterocycl. Compd. 2000, 36, 49–56. [Google Scholar] [CrossRef]
  34. Potapov, V.M. Stereochemistry; Khimia: Moscow, Russia, 1988; p. 464. [Google Scholar]
  35. Ukrainets, I.V. Crystal Modification of a Para-Methoxyanilide of 6-Hydroxy-4-oxo-2,4-dihydro-1H-pyrrolo[3,2,1-ij]quinoline-5-carboxylic acid. Patent No. EP2730577(A1), 14 May 2014. [Google Scholar]
Figure 1. Improved “copies” of the known drugs created by the “me-too” technique [1,2,3,4,5].
Figure 1. Improved “copies” of the known drugs created by the “me-too” technique [1,2,3,4,5].
Scipharm 86 00031 g001
Figure 2. 4-Hydroxyquinoline-2-one diuretics I [11,12,13,14,15] and bicyclic “me-too” clones IIVII [15,16,17,18,19,20,21].
Figure 2. 4-Hydroxyquinoline-2-one diuretics I [11,12,13,14,15] and bicyclic “me-too” clones IIVII [15,16,17,18,19,20,21].
Scipharm 86 00031 g002
Figure 3. Tricyclic “me-too” clones of 4-hydroxyquinoline-2-one diuretics [14,22,23,24,25,26,27,28].
Figure 3. Tricyclic “me-too” clones of 4-hydroxyquinoline-2-one diuretics [14,22,23,24,25,26,27,28].
Scipharm 86 00031 g003
Scheme 1. The synthesis of N-(arylalkyl)-6-hydroxy-2-methyl-4-oxo-2,4-dihydro-1H-pyrrolo[3,2,1-ij] quinoline-5-carboxamides 27 from ethyl ester 1 and the primary arylalkylamines. 2. а R = H; b R = 2-F; c R = 4-F; d R = 2-Cl; e R = 4-Cl; f R = 2-Me; g R = 3-Me; h R = 4-Me; i R = 2-OMe; j R = 4-OMe; k R = 3,4-(OMe)2; l R = 3-O-CH2-O-4; 3: а (S), R = H; b (R), R = H; c R = (±), H; d (S), R = OMe; e (R), R = OMe; 4: а R = H; b R = 3-Cl; c R = 4-Cl; d R = 3,4-(OMe)2; 6: а Ht = pyridin-2-yl; b Ht = pyridin-3-yl; c Ht = pyridin-4-yl; d Ht = 2-furyl; e Ht = 5-Me-2-furyl; f Ht = tetrahydrofuran-2-yl; g Ht = 2-thienyl.
Scheme 1. The synthesis of N-(arylalkyl)-6-hydroxy-2-methyl-4-oxo-2,4-dihydro-1H-pyrrolo[3,2,1-ij] quinoline-5-carboxamides 27 from ethyl ester 1 and the primary arylalkylamines. 2. а R = H; b R = 2-F; c R = 4-F; d R = 2-Cl; e R = 4-Cl; f R = 2-Me; g R = 3-Me; h R = 4-Me; i R = 2-OMe; j R = 4-OMe; k R = 3,4-(OMe)2; l R = 3-O-CH2-O-4; 3: а (S), R = H; b (R), R = H; c R = (±), H; d (S), R = OMe; e (R), R = OMe; 4: а R = H; b R = 3-Cl; c R = 4-Cl; d R = 3,4-(OMe)2; 6: а Ht = pyridin-2-yl; b Ht = pyridin-3-yl; c Ht = pyridin-4-yl; d Ht = 2-furyl; e Ht = 5-Me-2-furyl; f Ht = tetrahydrofuran-2-yl; g Ht = 2-thienyl.
Scipharm 86 00031 sch001
Figure 4. The fragment of the 1H-NMR spectrum (the signals of 2-methylpyrroline protons) of benzylamide 2a.
Figure 4. The fragment of the 1H-NMR spectrum (the signals of 2-methylpyrroline protons) of benzylamide 2a.
Scipharm 86 00031 g004
Figure 5. Fragments of the some N-(arylalkyl)amides 26 1H-NMR spectra. The signals of aromatic protons: pyrroloquinoline (red) and arylalkylamide (blue) fragments.
Figure 5. Fragments of the some N-(arylalkyl)amides 26 1H-NMR spectra. The signals of aromatic protons: pyrroloquinoline (red) and arylalkylamide (blue) fragments.
Scipharm 86 00031 g005
Scheme 2. The primary fragmentation of the molecular ion of benzylamide 2a.
Scheme 2. The primary fragmentation of the molecular ion of benzylamide 2a.
Scipharm 86 00031 sch002
Table 1. The diuretic activity of N-Arylalkylamides 27, and Hydrochlorothiazide.
Table 1. The diuretic activity of N-Arylalkylamides 27, and Hydrochlorothiazide.
Scipharm 86 00031 i001
EntryProductRDiuresis in 4 h
mL 1% 2
12a Scipharm 86 00031 i00211.87 ± 0.44+132
22b Scipharm 86 00031 i0035.48 ± 0.21+7
32c Scipharm 86 00031 i0046.29 ± 0.26+23
42d Scipharm 86 00031 i0055.58 ± 0.20+9
52e Scipharm 86 00031 i0065.12 ± 0.180
62f Scipharm 86 00031 i0074.61 ± 0.15−10
72g Scipharm 86 00031 i0087.01 ± 0.29+37
82h Scipharm 86 00031 i0095.02 ± 0.22−2
92i Scipharm 86 00031 i0105.12 ± 0.200
102j Scipharm 86 00031 i0114.56 ± 0.18−11
112k Scipharm 86 00031 i0126.91 ± 0.27+35
122l Scipharm 86 00031 i0134.30 ± 0.17−16
133a Scipharm 86 00031 i01414.03 ± 0.43+174
143b Scipharm 86 00031 i0156.20 ± 0.25+21
153c Scipharm 86 00031 i0168.65 ± 0.30+69
163d Scipharm 86 00031 i0174.92 ± 0.21−4
173e Scipharm 86 00031 i0184.61 ± 0.20−10
184a Scipharm 86 00031 i01912.19 ± 0.47+138
194b Scipharm 86 00031 i0205.89 ± 0.26+15
204c Scipharm 86 00031 i02110.70 ± 0.43+109
214d Scipharm 86 00031 i0229.27 ± 0.32+81
225 Scipharm 86 00031 i0236.50 ± 0.29+27
236a Scipharm 86 00031 i0246.71 ± 0.30+31
246b Scipharm 86 00031 i0255.01 ± 0.24−2
256c Scipharm 86 00031 i0267.02 ± 0.32+37
266d Scipharm 86 00031 i0275.67 ± 0.28+11
276e Scipharm 86 00031 i0289.63 ± 0.35+88
286f Scipharm 86 00031 i0295.84 ± 0.30+14
296g Scipharm 86 00031 i0307.68 ± 0.36+50
307 Scipharm 86 00031 i0316.15 ± 0.27+21
31Hydrochlorothiazide-7.88 ± 0.25+54
32Control-5.12 ± 0.26-
1 All results from biological tests were analyzed statistically using Student’s t-test. Effects were regarded as statistically significant at p ≤ 0.05; 2 “+” Indicates increase and “–” inhibition of diuresis when compared with the control taken as 100%.

Share and Cite

MDPI and ACS Style

Ukrainets, I.V.; Golik, M.Y.; Sidorenko, L.V.; Korniyenko, V.I.; Grinevich, L.A.; Sim, G.; Kryvanych, O.V. The Study of the Structure—Diuretic Activity Relationship in a Series of New N-(Arylalkyl)-6-hydroxy-2-methyl-4-oxo-2,4-dihydro-1H-pyrrolo-[3,2,1-ij]quinoline-5-carboxamides. Sci. Pharm. 2018, 86, 31. https://doi.org/10.3390/scipharm86030031

AMA Style

Ukrainets IV, Golik MY, Sidorenko LV, Korniyenko VI, Grinevich LA, Sim G, Kryvanych OV. The Study of the Structure—Diuretic Activity Relationship in a Series of New N-(Arylalkyl)-6-hydroxy-2-methyl-4-oxo-2,4-dihydro-1H-pyrrolo-[3,2,1-ij]quinoline-5-carboxamides. Scientia Pharmaceutica. 2018; 86(3):31. https://doi.org/10.3390/scipharm86030031

Chicago/Turabian Style

Ukrainets, Igor V., Mykola Y. Golik, Lyudmila V. Sidorenko, Valentina I. Korniyenko, Lina A. Grinevich, Galina Sim, and Olga V. Kryvanych. 2018. "The Study of the Structure—Diuretic Activity Relationship in a Series of New N-(Arylalkyl)-6-hydroxy-2-methyl-4-oxo-2,4-dihydro-1H-pyrrolo-[3,2,1-ij]quinoline-5-carboxamides" Scientia Pharmaceutica 86, no. 3: 31. https://doi.org/10.3390/scipharm86030031

APA Style

Ukrainets, I. V., Golik, M. Y., Sidorenko, L. V., Korniyenko, V. I., Grinevich, L. A., Sim, G., & Kryvanych, O. V. (2018). The Study of the Structure—Diuretic Activity Relationship in a Series of New N-(Arylalkyl)-6-hydroxy-2-methyl-4-oxo-2,4-dihydro-1H-pyrrolo-[3,2,1-ij]quinoline-5-carboxamides. Scientia Pharmaceutica, 86(3), 31. https://doi.org/10.3390/scipharm86030031

Article Metrics

Back to TopTop