The Structure and Activity of Double-Nitroimidazoles. A Mini-Review
Abstract
1. Introduction
2. Literature Survey
3. Conclusions
Conflicts of Interest
References
- Maeda, K.; Osata, T.; Umezawa, H. A new antibiotic, azomycin. J. Antibiot. 1953, 6, 182. [Google Scholar] [PubMed]
- Townson, S.M.; Boreham, P.F.L.; Upcroft, P.; Upcroft, J.A. Resistance to the nitroheterocyclic drugs. Acta Trop. 1994, 56, 173–194. [Google Scholar] [CrossRef]
- Mital, A. Synthetic nitroimidazoles: Biological activities and mutagenicity relationships. Sci. Pharm. 2009, 77, 497–520. [Google Scholar] [CrossRef]
- Muz, B.; de la Puente, P.; Azab, F.; Azab, A.K. The role of hypoxia in cancer progression, angiogenesis, metastasis, and resistance to therapy. Hypoxia 2015, 3, 83–92. [Google Scholar] [CrossRef] [PubMed]
- Vaupela, P.; Harrison, L. Tumor hypoxia: Causative factors, compensatory mechanisms, and cellular response. Oncologist 2004, 9 (Suppl. 5), 4–9. [Google Scholar] [CrossRef] [PubMed]
- Tidwell, R.R.; Jones, S.K.; Geratz, J.D.; Ohemeng, K.A.; Cory, M.; Hall, J.E. Analogs of 1,5-bis(4-amidinophenoxy)pentane (pentamidine) in the treatment of experimental Pneumocystis carinii pneumonia. J. Med. Chem. 1990, 33, 1252–1257. [Google Scholar] [CrossRef] [PubMed]
- Anderson, R.F.; Patel, K.B. Effect of lipophilicity of nitroimidazoles on radiosensitization of hypoxic bacterial cells in vitro. Br. J. Cancer 1979, 39, 705–710. [Google Scholar] [CrossRef] [PubMed]
- Nunn, A.; Linder, K.; Strauss, H.W. Nitroimidazoles and imaging hypoxia. Eur. J. Nucl. Med. 1995, 22, 265–280. [Google Scholar] [CrossRef] [PubMed]
- Moselen, J.W.; Hay, M.P.; Denny, W.A.; Wilson, W.R. N-[2-(2-Methyl-5-nitroimidazolyl)ethyl]-4-(2-nitroimidazolyl)butanamide (NSC 639862), a Bisnitroimidazole with enhanced selectivity as a bioreductive drug. Cancer Res. 1995, 55, 574–580. [Google Scholar] [PubMed]
- Hay, M.P.; Lee, H.H.; Wilson, W.R.; Roberts, P.B.; Denny, W.A. Hypoxia-selective antitumor agents. 10. Bis(nitroimidazoles) and related Bis(nitroheterocycles): Development of derivatives with higher rates of metabolic activation under hypoxia and improved aqueous solubility. J. Med. Chem. 1995, 38, 1928–1941. [Google Scholar] [CrossRef] [PubMed]
- Hay, M.P.; Wilson, W.R.; Moselen, J.W.; Palmer, B.D.; Denny, W.A. Bis(nitroimidazolyl)alkanecarboxamides: A new class of hypoxia-selective cytotoxins and hypoxic cell radiosensitizers. J. Med. Chem. 1994, 37, 381–391. [Google Scholar] [CrossRef] [PubMed]
- Siddiqui, A.Q.; Merson-Davies, L.; Cullis, P.M. The synthesis of novel polyamine-nitroimidazole conjugates designed to probe the structural specificities of the polyamine uptake system in A549 lung carcinoma cells. J. Chem. Soc. Perkin Trans. 1 1999, 22, 3243–3252. [Google Scholar] [CrossRef]
- Liu, Y.; Xu, Y.; Qian, X.; Liu, J.; Shen, L.; Li, J.; Zhang, Y. Novel fluorescent markers for hypoxic cells of naphthalimides with two heterocyclic side chains for bioreductive binding. Bioorg. Med. Chem. 2006, 14, 2935–2941. [Google Scholar] [CrossRef] [PubMed]
- Qian, X.; Xiao, Y.; Xu, Y.; Guo, X.; Qian, J.; Zhu, W. “Alive” dyes as fluorescent sensors: Fluorophore, mechanism, receptor and images in living cells. Chem. Commun. 2010, 46, 6418–6436. [Google Scholar] [CrossRef] [PubMed]
- Xu, Y.; Zanganeh, S.; Mohammad, I.; Aguirre, A.; Wang, T.; Yang, Y.; Kuhn, L.; Smith, M.B.; Zhu, Q. Targeting tumor hypoxia with 2-nitroimidazole-indocyanine green dye conjugates. J. Biomed. Opt. 2013, 18, 066009. [Google Scholar] [CrossRef] [PubMed]
- Zhou, F.; Zanganeh, S.; Mohammad, I.; Dietz, C.; Abuteen, A.; Smith, M.B.; Zhu, Q. Targeting tumor hypoxia: A third generation 2-nitroimidazole-indocyanine dye-conjugate with improved fluorescent yield. Org. Biomol. Chem. 2015, 13, 11220–11227. [Google Scholar] [CrossRef] [PubMed]
- Wang, F.; Fan, D.; Qian, J.; Zhang, Z.; Zhu, J.; Chen, J. Preparation and Biodistribution of Technetium-99m-Labeled Bis- Misonidazole (MISO) as an Imaging Agent for Tumour Hypoxia. Med. Chem. 2015, 11, 649–655. [Google Scholar] [CrossRef] [PubMed]
- Girhepunje, N.S.; Kedar, P.S.; Ittadwar, A.M.; Dumore, N.G. Design, synthesis, and characterization of some 5-nitroimidazole derivatives. Ijppr. Hum. 2016, 6, 456–480. [Google Scholar]
- Lewczuk, R.; Szala, M.; Rećko, J. Otrzymywanie i badanie właściwości wysokoazotowych soli 4,4′,5,5′-tetranitro-2,2′-biimidazolu. Biul. WAT 2015, 64, 15–26. [Google Scholar] [CrossRef]
- Tułecki, J.; Zaprutko, L. Synteza związków pochodnych 2-propanolu z układem nitroimidazolu. Acta Pol. Pharm. 1984, 3, 281–292. [Google Scholar]
- Pawełczyk, A.; Sowa-Kasprzak, K.; Olender, D.; Zaprutko, L. Molecular consortia—Various structural and synthetic concepts for more effective therapeutics synthesis. Int. J. Mol. Sci. 2018, 19, 1104–1123. [Google Scholar] [CrossRef] [PubMed]
- Xu, H.; Chu, T.; Wang, X.; Liu, X. Facile synthesis of bis(hydroxamamide)-based tetradentate ligands for 99mTc-radiopharmaceutical. Appl. Radiat. Isot. 2005, 62, 919–922. [Google Scholar] [CrossRef] [PubMed]
- Giglio, J.; Fernandez, S.; Rey, A.; Cerecetto, H. Synthesis and biological characterisation of novel dithiocarbamate containing 5-nitroimidazole 99mTc-complexes as potential agents for targeting hypoxia. Bioorg. Med. Chem. Lett. 2011, 21, 394–397. [Google Scholar] [CrossRef] [PubMed]
- Olender, D.; Żwawiak, J.; Zaprutko, L. Multidirectional efficacy of biologically active nitro compounds included in medicines. Pharmaceuticals 2018, 11, 54. [Google Scholar] [CrossRef] [PubMed]
- Curtis, K.K.; Wong, W.W.; Ross, H.J. Past approaches and future directions for targeting tumor hypoxia in squamous cell carcinomas of the head and neck. Crit. Rev. Oncol. Hematol. 2016, 103, 86–98. [Google Scholar] [CrossRef] [PubMed]












| Compound No. | Reported Activity | Reference |
|---|---|---|
| 2 | Cytotoxicity: hypoxic CT10 (mM-h) 0.37–12 Radiosensitization: uptake Ci/Ce 0.33 C1,6 (mM) 0.63 C1,6(i) (mM) 0.21 | [11] |
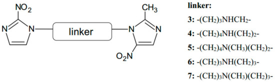
| 4 5 6 7 | In vitro aerobic cytotoxicity and hypoxia—selectivity growth inhibition assay: IC50 (mM) 2.00 ± 0.92 IC50 (mM) 1.00 ± 0.17 IC50 (mM) 1.18 ± 0.37 IC50 (mM) 0.81 ± 0.23 | [10] |
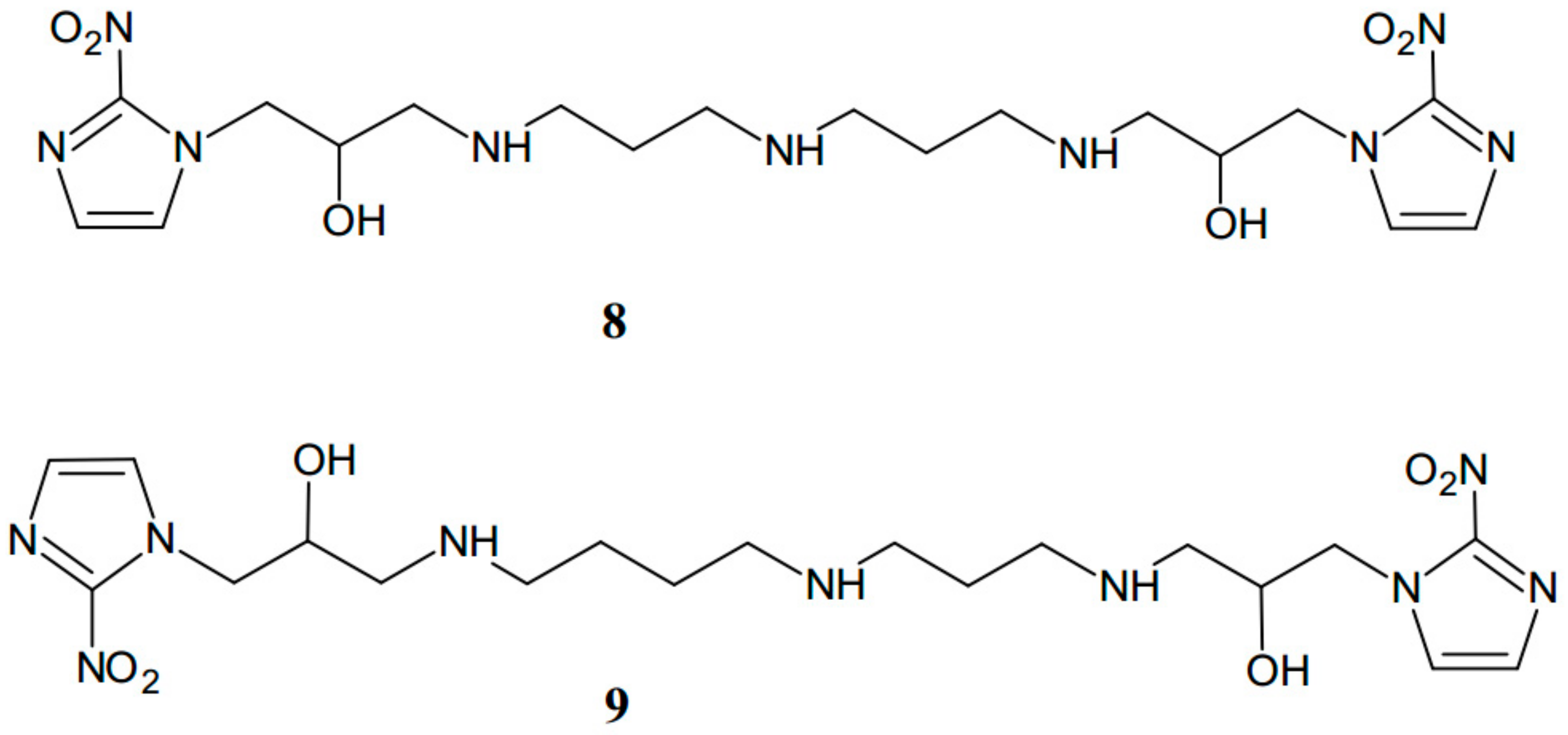
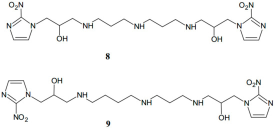
| 8 9 | Inhibition of polyamine uptake; inhibition constans: Ki (µM) 5.0 Ki (µM) 0.6 | [12] |
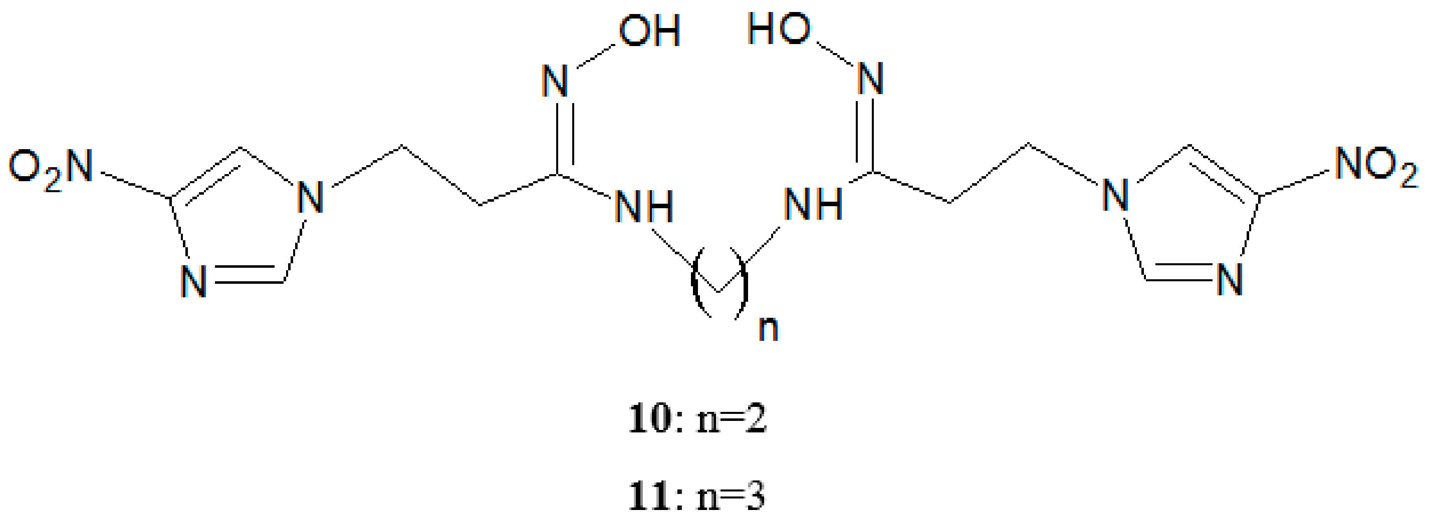
| 12 13 | Fluorescent data; FL (Φ) (λmax/nm) 455.5 (λmax/nm) 404.5 | [13,14] |
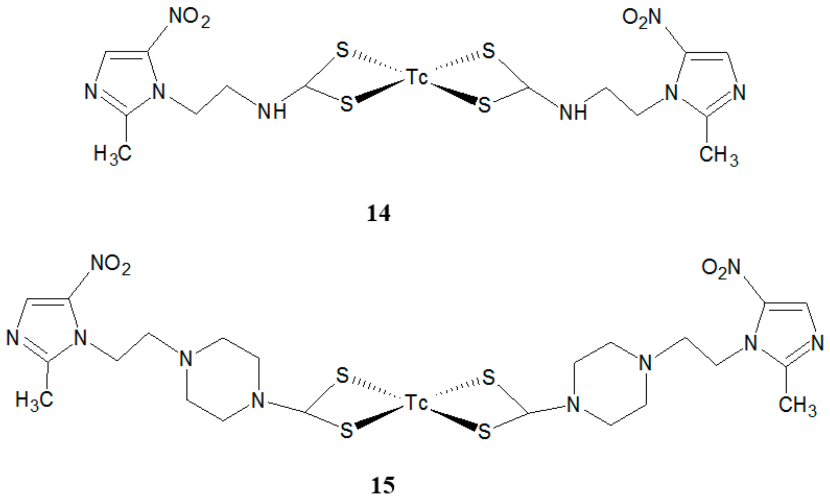
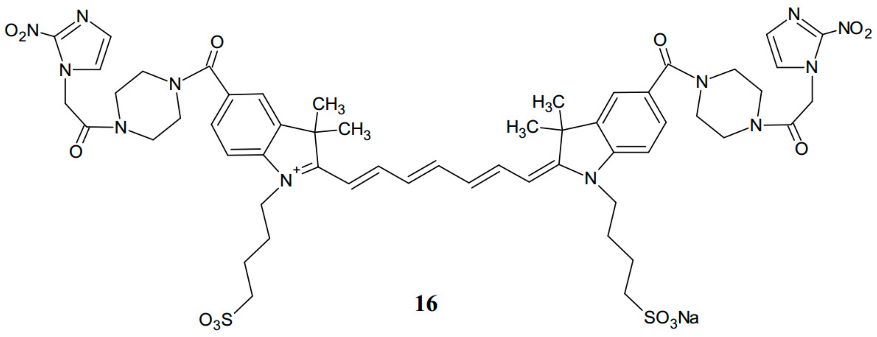
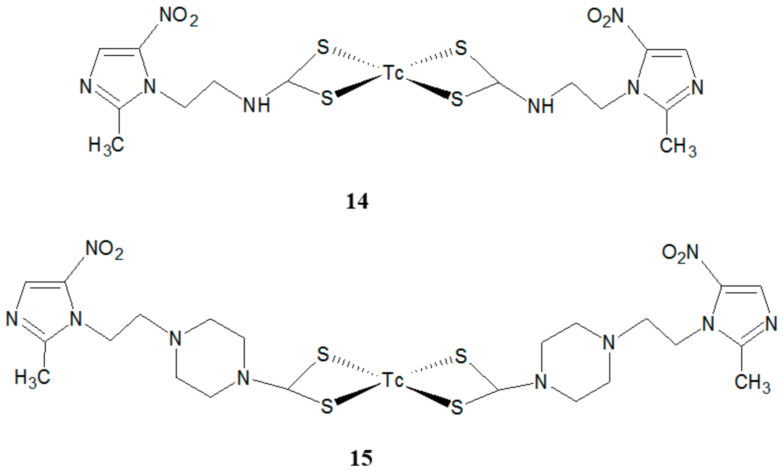
| 16 | Maximum fluorescence concentration (µM), measured postinjection of 25 µM were: 0.064 (1 min); 0.131 (15 min); 0.111 (30 min); 0.105 (60 min); 0.072 (120 min); 0.01 (180 min); 0.044 (300 min); 0.044 (420 min) | [15] |
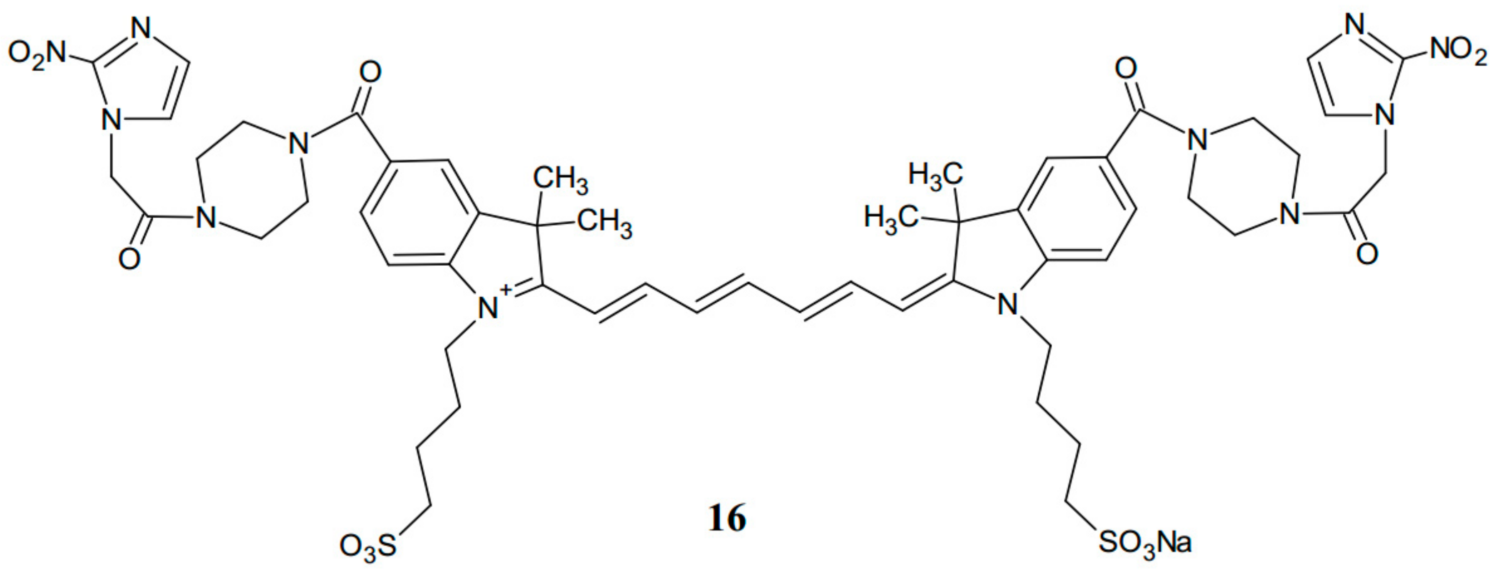
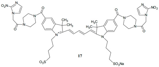
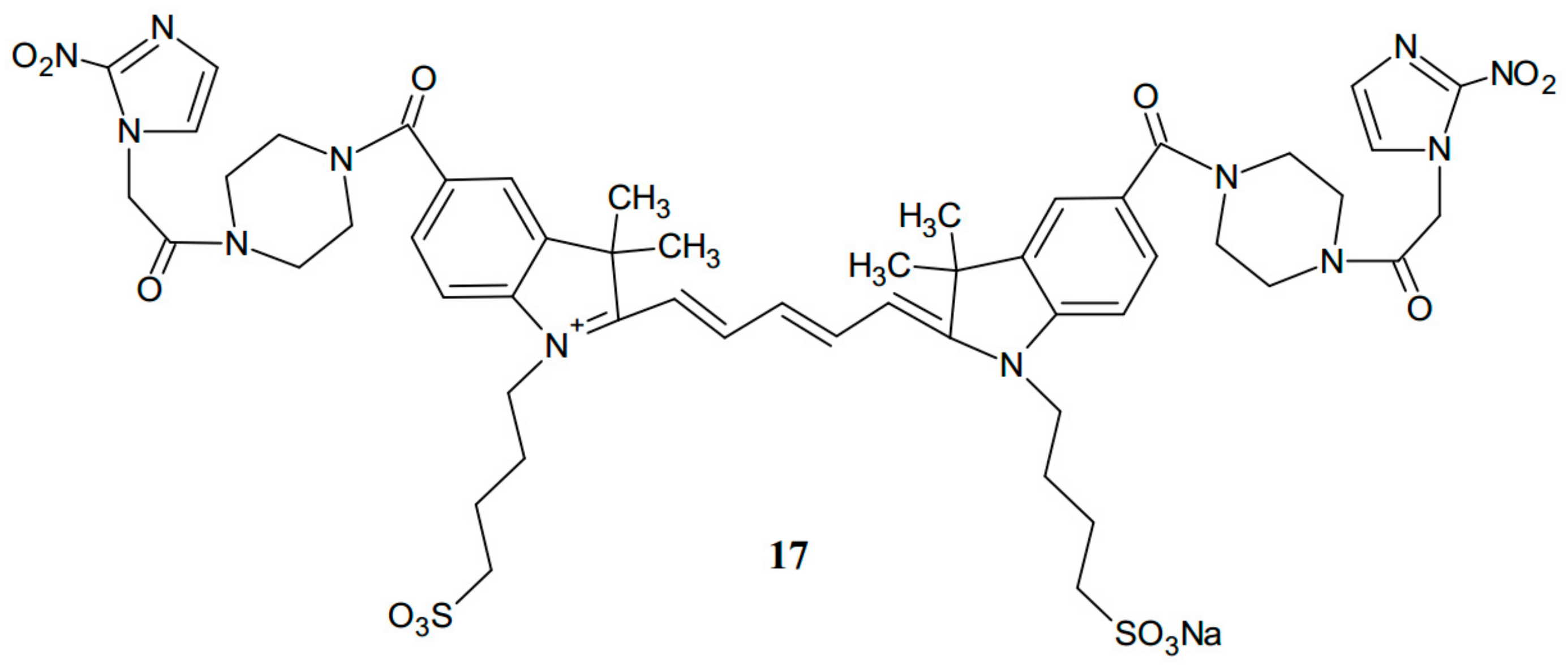
| 17 | Fluorescence quantum yield: Φ = 0.467 | [16] |
| 18 | SPECT/CT imaging confirmed that the tumors could be visualized clearly with comp. 18 at 2 h (conc. 22% ID/g) | [17] |
| 19 | Antibacterial and antifungal activity; inhibition (mm) of: E. coli 2 (50 µg/mL) 7 (100 µg/mL) 10 (300 µg/mL) 14 (500 µg/mL) S. aureus 0(50 µg/mL) 5 (100 µg/mL) 12 (300 µg/mL) 14 (500 µg/mL) C. albicans 0 (50 µg/mL) 0 (100 µg/mL) 9 (300 µg/mL) 11(500 µg/mL) A. niger 2 (50 µg/mL) 4 (100 µg/mL) 10 (300 µg/mL) 12 (500 µg/mL) | [18] |
| 20 | Sensitivity to mechanical stimuli: Raw material: (J) > 15 After crystallization: (J) > 15 | [19] |
© 2018 by the authors. Licensee MDPI, Basel, Switzerland. This article is an open access article distributed under the terms and conditions of the Creative Commons Attribution (CC BY) license (http://creativecommons.org/licenses/by/4.0/).
Share and Cite
Żwawiak, J.; Zaprutko, L. The Structure and Activity of Double-Nitroimidazoles. A Mini-Review. Sci. Pharm. 2018, 86, 30. https://doi.org/10.3390/scipharm86030030
Żwawiak J, Zaprutko L. The Structure and Activity of Double-Nitroimidazoles. A Mini-Review. Scientia Pharmaceutica. 2018; 86(3):30. https://doi.org/10.3390/scipharm86030030
Chicago/Turabian StyleŻwawiak, Justyna, and Lucjusz Zaprutko. 2018. "The Structure and Activity of Double-Nitroimidazoles. A Mini-Review" Scientia Pharmaceutica 86, no. 3: 30. https://doi.org/10.3390/scipharm86030030
APA StyleŻwawiak, J., & Zaprutko, L. (2018). The Structure and Activity of Double-Nitroimidazoles. A Mini-Review. Scientia Pharmaceutica, 86(3), 30. https://doi.org/10.3390/scipharm86030030

