Abstract
Transition to a low-carbon, energy-efficient economy presents an opportunity to enhance the sustainability and competitiveness of manufacturing firms. The integration of energy-efficiency solutions into products resembles the concept of servitization that is now a lever for product competitiveness and, in turn, business performance. Based on empirical data from 293 manufacturers of electrical equipment or machinery and equipment, this paper analyzes the relation between energy-efficiency servitization capacity and performance using two structural equation models. To test the mediating role of servitization capacity, the first model uses strategic analysis of competitive structure to predict business performance, while the second model uses knowledge of the regulatory framework. Results suggest that both strategic analysis of competitive structure and knowledge of the regulatory framework positively influence performance via improving servitization capacity. With demand for new energy-efficient products expected to increase, products with a reduced energy footprint and energy-management services are needed for industrial processes to contribute to decarbonizing the economy.
1. Introduction
To achieve environmental goals such as limiting global warming to well below 2 °C by 2030, necessary actions must be considered in all sectors, including an increase in industrial energy efficiency. The efficient use of energy has become a lever for transforming industrial processes, and this will ensure increasing demand for new energy-efficient products. For this reason, products with a reduced energy footprint and energy-management services are needed to enhance the energy efficiency of industrial processes.
As the energy-efficient products that drive the development of a low-carbon economy are usually more expensive [1], it is important to understand if and to what extent manufacturers consider the integration of energy-saving characteristics in products a valuable strategy [2] and to examine the effects on performance [3]. Energy-efficient products are especially relevant in light of the fourth industrial revolution paradigm, and companies may identify green product development as a growth opportunity [4]. That said, energy-efficient products are an investment given that savings can offset the initial price premium on energy efficient options, and offer a noteworthy return in comparison to non-efficient alternatives.
Manufacturing firms are innovating their business models by integrating product-service offerings as a strategic response to market trends [5] and to generate value [6] in order to outperform global competition [7,8]. Recent studies have examined the drivers of servitization success [9], its role in the value proposition [10], and the relationship between servitization and performance [11], suggesting that behavioral and business factors are prominent factors [12].
In this paper, the term performance refers to a set of factors that concur to increase the competitiveness of the products that firms produce; i.e., the ability of a firm to cope with competitors in selling its products in the reference market. Due to the complexity of relationships between the various factors this paper examines, and given that the analyses use empirical survey data, this performance proxy represents a fair compromise to overcome possible subjectivity biases in respondents’ answers. Similarly, “servitization” in this paper means the integration of energy-efficiency solutions into products, and serves to provide insights on the role of servitization as a mediator of performance.
Since mediation involves a mediator variable intervening between two other related constructs [13], this study examines two hypotheses to test whether servitization significantly mediates the relationships of both strategic analysis level and knowledge of the business regulatory framework with performance. To test these hypotheses, four constructs were designed: strategic analysis of competitive pressure (S), knowledge of the business regulatory framework (R), servitization capacity (SC), and performance assessment (P).
In the first hypothesis, energy-efficiency servitization mediates the relationship between strategic analysis and business performance; in the second hypothesis, energy-efficiency servitization mediates the relationship between business regulatory framework and business performance.
The relationships between these constructs are formalized using a structural equation model (SEM). The analysis is based on empirical data obtained from 293 manufacturers spread across Italy. The sample comprised manufacturers of machinery and equipment, including their mechanical components; fixed and mobile or hand-held devices; special equipment for transport; products that generate, distribute, and use electrical power; electrical lighting, signaling equipment, and electric household appliances.
Results suggest that the level of strategic analysis and the knowledge of the regulatory framework influence performance by facilitating servitization, in terms of integrating energy-efficiency solutions into products. In turn, servitization capacity is found to mediate the relationships of strategic analysis level and knowledge of the regulatory framework with business performance: specifically, 73% of the effect of strategic analysis on performance and 47% of the effect of knowledge of the regulatory framework on performance is direct. Therefore, firms can improve their internal ecosystems for service development by connecting their strategy and regulatory expertise. Doing so can benefit manufacturers’ organizational change processes, which have received little attention thus far [14].
The transition to a low-carbon, energy-efficient economy presents an opportunity to improve the sustainability and competitiveness of manufacturing firms. In fact, energy-efficient products constitute a competitive advantage in the global market for products and services.
The remainder of this paper is organized as follows. Section 2 reviews the literature, then Section 3 presents the materials and methods and explains the data collection procedure and sample selection approach. Section 4 reports the results, which are then discussed in Section 5. Finally, Section 6 concludes.
2. Literature Review
The service innovation literature has evolved into a vast field of research and development, incorporating dynamic interactions between technological and human systems that lead to management and organizational changes [15] in different types of services facing unique development, marketing, and management challenges [16]. The limited coherence in knowledge on this topic may be largely due to product innovation concepts, frameworks, and methods being applied by many early researchers to the services domain [17]. There are different types of service innovation, and a recent study identified four different ways to categorize these innovations: degree of change, type of change, newness, and means of provision [18]. In this study, product and service innovations complement each other because the paper analyzes manufacturers that, in many cases, add services to their products, thereby reinforcing their core business. Doing so can strengthen firms’ core competencies in relation to their key products, creating economies of scale that lead to self-reinforcing innovation dynamics, as suggested by the path-dependency literature [19].
Because innovation and its impacts on performance are often analyzed jointly, energy-efficiency services markets, which have numerous growth opportunities [20], and play a prominent role in increasingly competitive and dynamic economies. To exploit new business opportunities, firms must be able to adapt their business models; that is, their approaches to generating revenue, including their assumptions about capturing the value generated [21].
Research specifically focusing on service innovation in relation to sustainability is scarce [22], especially studies on innovation in energy-efficiency services. Previous research has focused primarily on various aspects of existing or potential concepts pertaining to energy-efficiency services, while customer needs for innovative energy-efficiency services have not received sufficient attention [23]. Generally, firms that offer energy services to end users operate in multiple industries [24]. Thus, innovation in energy-efficiency services varies according to the industry and the types of services provided.
Various definitions of servitization and various understandings of its value [6] have been provided. A contextual analysis of these works shows that servitization can be defined as the innovation of a manufacturer’s offerings, entailing a move from selling products to selling integrated product-service offerings. This innovation can range from introducing marginal services aimed at improving a product’s condition to integrating advanced services aimed at improving a product’s capabilities [25] and even its function and scope. The transition to integrating energy-efficiency solutions into products is commonly assumed to proceed gradually. Nevertheless, this kind of transition also faces three barriers related to strategy, implementation, and market structure [26]. Thus, servitization entails a search process in which new services are explored and then integrated with the product. For example, digital energy-efficiency services fall into the category of general purpose technologies [27] that open new business opportunities affecting firms’ activities and, in turn, performance. The concept of performance reflects the evaluation of a set of measures of a company’s ability to achieve its objectives effectively and efficiently [28]. For companies operating in dynamic markets, it is necessary to supplement objective economic and technical indicators with subjective data that reflect the perceptions of key personnel. This study recognizes that subjectivity in performance measurement should be treated with caution, as its use is simultaneously valuable and problematic, and one may note that scholars have investigated the benefits and drawbacks of both objective and subjective measures, with results that remain debatable [29]. If well-defined, subjective indicators tend to reflect related objective information: for example, a recent study confirms a positive correlation between subjective and objective business performance [30]. A careful analysis of the literature on firm performance measures revealed some recurring aspects of performance surveys [31,32].
Scholars have conducted numerous studies on how competition affects innovation. Their contradictory results may be partly due to the difficulty of both finding accurate measures of competition and defining the relevant market [33]. Overall, numerous empirical findings suggest that companies facing competitive pressure tend to be more innovative [34], and studies generally postulate that firms operating in competitive industries tend to find groundbreaking ways to perform value creation [35] and organizational learning—the process by which a firm develops new knowledge and insights from the market and its employees [36]. In line with growing interest in the relationship between strategic emphasis on business model innovation and firms’ performance [37], this study assumes that dealing with changes in the market creates substantial challenges for managers. Owing to the complexity of strategy formulation, managers face difficulty in analyzing all aspects of the business environment or establishing precise objectives; consequently, business strategies tend to involve small strategic adjustments [38]. To avoid strategic drift and positively affect firms’ performance, these marginal strategy adjustments should reflect and follow changes occurring in the market. This recommendation is particularly important in the energy-efficiency services sector given its vulnerability to unpredictable occurrences, such as technological innovation, regulations, or changes in energy prices, which undermine the rationality of strategic decisions [39].
Firms’ everyday operations are ruled by regulations. When well-designed, they can promote industry development; however, they can also be costly and ineffective. Although regulation is often perceived as static, it undergoes constant change and reformulation in practice [40]. Indeed, debates continue over how to harness competitive forces to motivate firms to serve consumers’ best interests [41] and the importance of policies to reduce barriers to innovation and increase energy efficiency [42]. This study adds to the evidence that high-quality regulation facilitates firms’ performance by contributing to their competitiveness [7]. Energy-efficient products reduce the energy need, keeping the same level or even improving technical efficiency.
The relation between energy-efficient products and performance has gained importance. Although due to the lower energy requirements, these products contribute to greening industrial processes, their development requires remarkable efforts [43] and they may be more expensive [1] even if savings can offset the initial price premium on energy efficient options, and offer a noteworthy return in comparison to non-efficient alternatives.
However, the relative energy efficiency of different products strongly depends on the energy price [44]. Therefore, in designing energy-efficient products, manufacturers must make decisions on these products’ energy-efficiency performance during the early design stages [45].
3. Materials and Methods
3.1. Design and Hypotheses
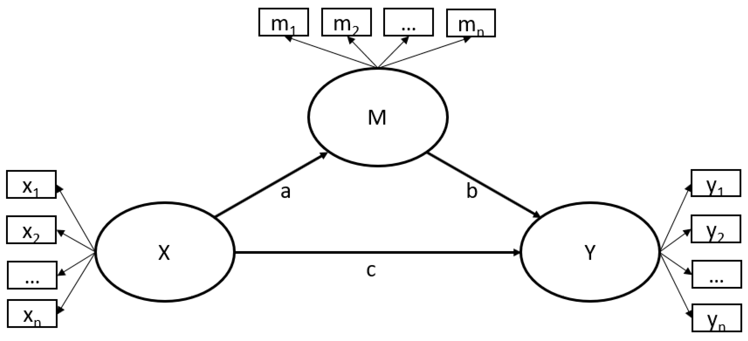
The path diagram in Figure 1 resembles a simple SEM of the kind widely used to assess the relationships among latent and observed variables [46]. In this idealized model, three constructs interact: the exogenous causal influence is defined as X, the endogenous causal influence (or mediator) corresponds to M, and the dependent variable is represented by Y [47]. X has a partial direct effect on Y, denoted as c, and an effect on M, denoted as a; M has an effect on Y, denoted as b. Intrinsically, M plays a dual role as the dependent variable and an independent variable. In the models used in this study, the total effect of X on Y comprises both a direct and an indirect effect [13]. The direct effect is the pathway from X to Y controlling for M; the indirect effect is the pathway from X to Y through M. The total effect measures the expected change in Y that arises owing to variation in X. The direct effect of a variable is not mediated by other variables in the model, whereas indirect effects are mediated by at least one variable and can be determined by subtracting the direct effect from the total effect.
Figure 1.
Research framework. Source: Created by the author, based on [13,47].
This paper uses the framework depicted in Figure 1 to build two models. In model 1 the exogenous causal influence is the strategic analysis of competitive pressure; the mediator is servitization capacity, while the dependent variable is performance assessment. Similarly, in model 2 the exogenous causal influence is knowledge of the business regulatory framework, while the mediator is servitization capacity and the dependent variable is performance assessment (see Appendix A for a representation of both models).
This paper makes two assumptions, which are both empirically verified. First, it assumes that the higher the strategic analysis level, the higher the business performance [48]. Indeed, strategy is assumed to be relevant in explaining variations in firm profitability and performance [49]. Second, it assumes that the higher the knowledge of the business regulatory framework, the higher the business performance. This construct aims to appraise the conditions set by regulatory bodies that can be considered to dynamically influence performance [7]. These assumptions and arguments lead to the following hypotheses:
Hypothesis 1.
Servitization capacity significantly mediates the relationship between strategic analysis and performance.
Hypothesis 2.
Servitization capacity significantly mediates the relationship between knowledge of the business regulatory framework and performance.
To test these hypotheses, this paper’s research method merges quantitative and qualitative analyses.
3.2. Data Collection and Sample
Professionals in energy efficiency and management were surveyed to learn more about Italian manufacturers’ perspectives on energy-efficiency services and the related trends. The survey was designed to ensure the clarity, accuracy, order, and effectiveness of the items [50]. Each question was answered on an ordinal (Likert) scale. The possible responses were arranged horizontally from one to seven, anchored with consecutive integers and with verbal labels connoting evenly spaced gradations from “strongly disagree” to “strongly agree” or from “very low” to “very high.” The labels were symmetrical about a neutral middle. Table 1 lists the codified survey questions.
Table 1.
List of variables and key statistics.
The questionnaire was aimed at energy managers, energy-efficiency experts, or dedicated professionals within the targeted firms. In partnership with a specialized energy business communication agency, email invitations to complete the online questionnaire were sent to 3124 individuals in the sampling frame. The survey was accompanied by a letter of invitation to participate, which included an explanation of the research objective. To encourage participation in the survey, participants were offered the opportunity to attend a workshop where the study’s main insights would be presented. During this workshop, additional feedback from qualified experts that enriched the analyses reported in this paper were received. The questionnaire link was opened by 784 recipients who at least started to fill in the questionnaire and of these, a total of 293 recipients returned a fully completed questionnaire, representing a response rate of 9.04%. The data collection period lasted three months and started in conjunction with a wider research program in partnership with the Italian industrial plant association. The respondents were analyzed by Nomenclature of Economic Activities (NACE Rev. 2), a European industrial activity classification set by Regulation (EC) 1893/2006, in Table 2.
Table 2.
Sample by NACE Rev. 2 code.
Table 2 shows that respondents according to the NACE Rev. 2 code at two digits level.
Because 74.74% of the respondents were male, an independent t-test was performed to check whether a sample bias emerged under the null hypothesis that the difference between genders was non-zero. The gender group means are not statistically significantly different, as the p-values for the four constructs are as follows: P = 0.664, SC = 0.475, S = 0.548, R = 0.509. Noteworthy descriptive statistics of the sample composition are as follows: the average number of employees per firm was 103, 65.81% of the sample described their firms as “innovative” compared to the industry average, and 12.9% declared that their firms were members of a strategic alliance or network.
The manufacturers were geographically distributed across Italian regions as follows: Lombardy (79), Emilia-Romagna (53), Veneto (43), Piedmont (17), Lazio (15), Tuscany (8), Sardinia (8), Apulia (6), Sicily (6), Marche (4), Campania (4), Trentino-South Tyrol (3), Friuli-Venezia Giulia (3), Liguria (3), Abruzzo (3), Molise (3), Umbria (2), and Aosta Valley (1). No respondents reported being based in Calabria or Basilicata; location information was not provided by 32 manufacturers.
Given the growing motivation to improve and rising investment in energy efficiency, the market tends to function increasingly well for companies that sell complete packages of energy-efficiency services and for customers willing to pay to improve their energy efficiency. This study focuses on firms that operate in quasi-pure and incremental service areas, taking into consideration that the business models in these markets vary across NACE Rev. 2 sectors, reflecting differences in competitive environments and regulations.
4. Results
I designed four measurement constructs to build the two SEMs used in this study with maximum likelihood estimation. The constructs were then tested for quality and internal consistency to ensure reliability. The Cronbach’s alpha coefficients are reported in Table 3. Each measurement construct is based on seven observed variables, as detailed in Table 3. The 28 total variables were also tested for internal consistency to ensure reliability. The literature offers several different benchmarks for acceptable Cronbach’s alpha values; the acceptability threshold is normally set at 0.70, but some studies use a threshold of 0.6 [51]. The relatively low alpha value of the strategic analysis construct may be explained by the technical business units in which the respondents operated: respondents employed in technical and R&D units may have been unfamiliar with the strategic management terminology (e.g., “SWAT analysis” or “PEST analysis”) used in some questions.
Table 3.
Measurement constructs.
The literature shows that firm size affects the decision to invest in innovation, with a larger size increasing the likelihood of investing [52]. The models depicted in Appendix A respectively correspond to model 1 and model 2, which contain three constructs. Two of the constructs—those related to SC and PA—are found in both models, while one construct varies according to the model. Model 1 incorporates the construct related to strategic analysis of competitive pressure while model 2 incorporates the construct related to knowledge of the regulatory framework. The models should be interpreted by noting the unidirectional links between the component pairings.
Analysis
Table 4 presents key statistics for the two models. Based on the analysis of model 1, I note that, consistent with Hypothesis 1, strategic analysis is positively correlated with servitization capacity (0.693 ***). This phenomenon can be explained by the expectation that greater market awareness facilitates an appropriate response to stimuli related to market trends. Similarly, strategic analysis is positively correlated with business performance (0.528 ***), although the correlation is weaker. Model 1 also shows that servitization capacity positively affects business performance (0.277 ***), but the causal direction of this association is beyond this study’s scope. Regarding model 2, I identify weak effects of knowledge of the business regulatory framework on servitization capacity (0.250 ***) and on business performance (0.135 **).
Table 4.
Summary of the models.
Table 5 summarizes the goodness of fit for both models. The root mean square error of approximation (RMSEA) is an index of fit for which a value of zero indicates the best fit and 0 < RMSEA < 0.1 indicates a good fit. In this respect, both models have a good fit, with model 2 (RMSEA 0.048) achieving a better fit than model 1 (RMSEA 0.069). For the standardized root mean residual (SRMR), a value of zero again indicates the best fit, and 0 < SRMR < 0.1 indicates a good fit. Again, both models achieve good fits, although model 1 (SRMR 0.067) achieves a better fit than model 2 (SRMR 0.076). The comparative fit index (CFI) compares a model’s fit with a hypothesized model. Its value ranges from 0 to 1; 1 indicates the best fit, and CFI > 0.9 indicates a good fit. The CFI value for model 1 is slightly below the desirable level of 0.9 (0.879), whereas the value for model 2 exceeds this level (0.942), indicating a better fit.
Table 5.
Goodness of fit of the models.
I next consider the magnitudes of the direct and indirect effects of strategic analysis and knowledge of the regulatory framework on business performance. As Table 6 shows, the total effect of strategic analysis on business performance in model 1 equals 1.10, and the direct effect is 0.807. These figures indicate that 73% of the effect of strategic analysis on business performance is direct after controlling for servitization capacity, while 27% is indirect. In model 2, the total effect of knowledge of the regulatory framework on business performance is 0.265, and the direct effect is 0.125. Thus, 47% of the effect of knowledge of the regulatory framework on business performance is direct after controlling for servitization capacity, and 53% is indirect.
Table 6.
Total, direct, and indirect effects in the models.
The results reported in Table 4 and Table 6 support Hypothesis 1 (servitization capacity significantly mediates the relationship between strategic analysis and performance) and Hypothesis 2 (servitization capacity significantly mediates the relationship between knowledge of the business regulatory framework and performance). The integration of product-service offerings is thus shown to be positively linked to business performance, and the impacts of strategic analysis of competitive pressure and knowledge of the business regulatory framework on performance are strengthened by the mediating role of servitization capacity.
5. Discussion
Our findings confirm that knowledge of the regulatory framework is positively related to performance and that market-oriented firms—those that continuously analyze and understand their industries’ structures—stand out in their ability to dynamically act and react to trends in their markets, gaining useful knowledge for anticipating and responding to developing needs by integrating products and services.
The results provide different degrees of support for Hypotheses 1 and 2. First, the results confirm that servitization capacity mediates the positive relationship between strategic analysis and business performance (Hypothesis 1). Indeed, after controlling for propensity to innovate, 73% of the total effect of strategic analysis on business performance is direct; the remaining 27% of the total effect is indirect and mediated by servitization capacity. Second, the results also confirm that servitization capacity mediates the positive relationship between knowledge of the regulatory framework and business performance (Hypothesis 2). Of the total effect of knowledge of the regulatory framework on business performance, 47% is the direct effect after controlling for servitization capacity, while 53% is the indirect effect, mediated by servitization capacity. The mediating role of servitization capacity is, therefore, stronger in model 2.
Servitization capacity is likely to become a prominent success factor for businesses. This capacity is a fundamental requirement for capturing new market opportunities. Indeed, mandatory regulatory policies are currently supplemented by other measures that incentivize higher energy-efficiency levels [8,53,54,55], including incentives to adopt energy-management systems and share information and other resources that improve energy-efficiency knowledge and skills. This is particularly important given that new energy-efficiency services also contribute to decarbonizing industry, which is a sustainable development goal.
Considering that there is public pressure on firms to be responsible for the environment, and customers tend to favor businesses with a greening strategy, many firms are succeeding in reducing their carbon footprint and make sure they are energy efficient. Indeed, the world is becoming more environmentally conscious and energy-efficient products can improve firms’ reputations, which in turn can improve performance. Many firms are releasing reports showing their environmental practices in light of the fact that focusing on energy efficiency gives companies a competitive edge when it comes to branding and marketing. Being a company that sells energy-efficient products means being innovative for potential employees and your customers, and as previously stated, innovation is important for firms.
Because the study’s findings are based on a limited sample, they should be treated with caution. The first limitation is that using survey responses entails an unavoidable degree of subjectivity. Second, the study is based on cross-sectional data that do not allow causal inferences across time. Third, respondents may have considered a wide range of meanings for servitization, including alternative interpretations to that used in this paper. Nonetheless, this study advances current knowledge by providing insights to better understand how servitization capacity can create more value by enabling the transition from sales of products to sales of product-service systems, combining manufactured products with the provision of evolutionary maintenance and other services.
6. Conclusions
Since markets are becoming more environmentally conscious, energy-efficient products can enhance manufacturing firms’ performance. This paper investigated how integrating energy-efficiency solutions into products influences business performance, based on empirical data from a sample of manufacturers, primarily of electrical equipment and of machinery and equipment. Two models were developed to improve understanding of the mediating role of energy-efficiency solutions integrated into products: the first based on strategic analysis of the competitive structure, and the second based on knowledge of the regulatory framework.
The analyses results confirm that strategic analysis and knowledge of the regulatory framework are positively related to performance. Specifically, both the level of strategic analysis and knowledge of the regulatory framework facilitate the process of product-service integration and, in turn, positively influence business performance. Energy-efficiency solutions integrated into products are found to mediate these two relationships, as 27% of the effect of strategic analysis on performance and 53% of the effect of knowledge of the regulatory framework on business performance is indirect via servitization capacity.
The integration of product-service offerings is thus shown to be positively linked to business performance, and the impacts of strategic analysis of competitive pressure and knowledge of the business regulatory framework on performance are strengthened by the mediating role of servitization capacity. Overall, performance is influenced by how these innovations affect companies’ abilities to effectively adapt their operations to sector regulations and to analyze the industries in which they operate.
Business implications are straightforward since the transition to a low-carbon economy presents an opportunity to enhance the sustainability and competitiveness of manufacturing firms. The integration of energy-efficiency solutions into products by mean of servitization is now a key factor for business performance. So the transition to a low-carbon, energy-efficient economy provides opportunities for manufacturing firms to improve their sustainability and competitiveness. In fact, energy-efficient products can constitute a competitive advantage in global markets for products and related services. So manufacturing firms can give an important boost to energy-efficiency innovation and simultaneously offer fundamental resources for society and the environment. Policy implications are clear, too, when it comes to commitment to limiting global warming. Policy-makers must help firms to modernize industrial processes and exploit energy-efficient product opportunities by stimulating the development of new markets for efficient products by mean of financial support and regulatory frameworks aimed at steering the transition to a decarbonized economy.
Funding
This research received no external funding.
Institutional Review Board Statement
Not applicable.
Informed Consent Statement
Not applicable.
Data Availability Statement
Data available in a publicly accessible repository.
Conflicts of Interest
The authors declare no conflict of interest.
Appendix A
Figure A1.
Representations of Model 1 and Model 2.
Figure A1.
Representations of Model 1 and Model 2.

Appendix B
Figure A2.
Size of Firms and Turnover in the Sample.
Figure A2.
Size of Firms and Turnover in the Sample.

References
- Zhang, Y.; Xiao, C.; Zhou, G. Willingness to pay a price premium for energy-saving appliances: Role of perceived value and energy efficiency labeling. J. Clean. Prod. 2020, 242, 118555. [Google Scholar] [CrossRef]
- Jovanovic, M.; Raja, J.Z.; Visnjic, I.; Wiengarten, F. Paths to service capability development for servitization: Examining an internal service ecosystem. J. Bus. Res. 2019, 104, 472–485. [Google Scholar] [CrossRef]
- Shah, S.A.A.; Jajja, M.S.S.; Chatha, K.A.; Farooq, S. Servitization and supply chain integration: An empirical analysis. Int. J. Prod. Econ. 2020, 229, 107765. [Google Scholar] [CrossRef]
- Thurner, T.W.; Roud, V. Greening strategies in Russia’s manufacturing—From compliance to opportunity. J. Clean. Prod. 2016, 112, 2851–2860. [Google Scholar] [CrossRef]
- Lightfoot, H.; Baines, T.; Smart, P. The servitization of manufacturing. Int. J. Oper. Prod. Manag. 2009, 20, 547–567. [Google Scholar] [CrossRef]
- Garcia Martin, P.C.; Schroeder, A.; Ziaee Bigdeli, A. The value architecture of servitization: Expanding the research scope. J. Bus. Res. 2019, 104, 438–449. [Google Scholar] [CrossRef]
- Kitching, J.; Hart, M.; Wilson, N. Burden or benefit? Regulation as a dynamic influence on small business performance. Int. Small Bus. J. Res. Entrep. 2015, 33, 130–147. [Google Scholar] [CrossRef]
- Cambini, C.; Meletiou, A.; Bompard, E.; Masera, M. Market and regulatory factors influencing smart-grid investment in Europe: Evidence from pilot projects and implications for reform. Util. Policy 2016, 40, 36–47. [Google Scholar] [CrossRef]
- Fliess, S.; Lexutt, E. How to be successful with servitization—Guidelines for research and management. Ind. Mark. Manag. 2019, 78, 58–75. [Google Scholar] [CrossRef]
- Annarelli, A.; Battistella, C.; Nonino, F. Competitive advantage implication of different Product Service System business models: Consequences of ‘not-replicable’ capabilities. J. Clean. Prod. 2020, 247, 119121. [Google Scholar] [CrossRef]
- Wang, W.; Lai, K.; Shou, Y. The impact of servitization on firm performance: A meta-analysis. Int. J. Oper. Prod. Manag. 2018, 38, 1562–1588. [Google Scholar] [CrossRef]
- Goldbach, K.; Rotaru, A.M.; Reichert, S.; Stiff, G.; Gölz, S. Which digital energy services improve energy efficiency? A multi-criteria investigation with European experts. Energy Policy 2018, 115, 239–248. [Google Scholar] [CrossRef]
- Wu, A.D.; Zumbo, B.D. Understanding and using mediators and moderators. Soc. Indic. Res. 2008, 87, 367–392. [Google Scholar] [CrossRef]
- Baines, T.; Ziaee Bigdeli, A.; Sousa, R.; Schroeder, A. Framing the servitization transformation process: A model to understand and facilitate the servitization journey. Int. J. Prod. Econ. 2020, 221, 107463. [Google Scholar] [CrossRef]
- Randhawa, K.; Scerri, M. Service Innovation: A Review of the Literature. In The Handbook of Service Innovation; Agarwal, R., Selen, W., Roos, G., Green, R., Eds.; Springer: London, UK, 2015; pp. 27–51. [Google Scholar]
- Jaakkola, E.; Meiren, T.; Witell, L.; Edvardsson, B.; Schäfer, A.; Reynoso, J.; Sebastiani, R.; Weitlaner, D. Does one size fit all? New service development across different types of services. J. Serv. Manag. 2017, 28, 329–347. [Google Scholar] [CrossRef]
- Biemans, W.G.; Griffin, A.; Moenaert, R.K. Perspective: New Service Development: How the Field Developed, Its Current Status and Recommendations for Moving the Field Forward. J. Prod. Innov. Manag. 2016, 33, 382–397. [Google Scholar] [CrossRef]
- Snyder, H.; Witell, L.; Gustafsson, A.; Fombelle, P.; Kristensson, P. Identifying categories of service innovation: A review and synthesis of the literature. J. Bus. Res. 2016, 69, 2401–2408. [Google Scholar] [CrossRef]
- Thrane, S.; Blaabjerg, S.; Møller, R.H. Innovative path dependence: Making sense of product and service innovation in path dependent innovation processes. Res. Policy 2010, 39, 932–944. [Google Scholar] [CrossRef]
- Ferraz, I.N.; de Melo Santos, N. The relationship between service innovation and performance: A bibliometric analysis and research agenda proposal. RAI Rev. Adm. Inovação 2016, 13, 251–260. [Google Scholar] [CrossRef]
- Gambardella, A.; McGahan, A.M. Business-model innovation: General purpose technologies and their implications for industry structure. Long Range Plan. 2010, 43, 262–271. [Google Scholar] [CrossRef]
- Calabrese, A.; Castaldi, C.; Forte, G.; Ghiron, N. Sustainability-oriented service innovation: An emerging research field. J. Clean. Prod. 2018, 193, 533–548. [Google Scholar] [CrossRef]
- Anttonen, M.; Halme, M.; Houtbeckers, E.; Nurkka, J. The other side of sustainable innovation: Is there a demand for innovative services? J. Clean. Prod. 2013, 45, 89–103. [Google Scholar] [CrossRef]
- Bertoldi, P.; Boza-Kiss, B.; Panev, S.; Labanca, N. ESCO Market Report 2013; European Union: Ispra, Italy, 2014; Available online: https://ec.europa.eu/jrc/en/publication/eur-scientific-and-technical-research-reports/european-esco-market-report-2013 (accessed on 31 December 2020).
- Baines, T.; Bigdeli, A.Z.; Shi, V.G.; Baldwin, J.; Ridgway, K. Servitization: Revisiting the state-of-the-art and research priorities. Int. J. Oper. Prod. Manag. 2017, 37, 256–278. [Google Scholar] [CrossRef]
- Lütjen, H.; Tietze, F.; Schultz, C. Service transitions of product-centric firms: An explorative study of service transition stages and barriers in Germany’ s energy market. Int. J. Prod. Econ. 2017, 192, 106–119. [Google Scholar] [CrossRef]
- Björkdahl, J. Technology cross-fertilization and the business model: The case of integrating ICTs in mechanical engineering products. Res. Policy 2009, 38, 1468–1477. [Google Scholar] [CrossRef]
- Di Foggia, G.; Beccarello, M. Improving efficiency in the MSW collection and disposal service combining price cap and yardstick regulation: The Italian case. Waste Manag. 2018, 79, 223–231. [Google Scholar] [CrossRef]
- Demartini, M.C.; Trucco, S. Fad and fashion? The relevance of subjective performance measures. Manag. Decis. 2018, 56, 2391–2407. [Google Scholar] [CrossRef]
- Vij, S.; Bedi, H. Are subjective business performance measures justified? Int. J. Product. Perform. Manag. 2016, 65, 603–621. [Google Scholar] [CrossRef]
- Crescenzi, R.; Gagliardi, L. The innovative performance of firms in heterogeneous environments: The interplay between external knowledge and internal absorptive capacities. Res. Policy 2018, 47, 782–795. [Google Scholar] [CrossRef]
- Cagno, E.; Micheli, G.J.L.; Di Foggia, G. Smart metering projects: An interpretive framework for successful implementation. Int. J. Energy Sect. Manag. 2018, 12, 244–264. [Google Scholar] [CrossRef]
- Beneito, P.; Coscollá-Girona, P.; Rochina-Barrachina, M.E.; Sanchis, A. Competitive pressure and innovation at the firm level. J. Ind. Econ. 2015, 63, 422–457. [Google Scholar] [CrossRef]
- Salavou, H.; Baltas, G.; Lioukas, S. Organisational innovation in SMEs. Eur. J. Mark. 2004, 38, 1091–1112. [Google Scholar] [CrossRef]
- Weerawardena, J.; O’Cass, A.; Julian, C. Does industry matter? Examining the role of industry structure and organizational learning in innovation and brand performance. J. Bus. Res. 2006, 59, 37–45. [Google Scholar] [CrossRef]
- Jiménez-Jiménez, D.; Sanz-Valle, R. Innovation, organizational learning, and performance. J. Bus. Res. 2011, 64, 408–417. [Google Scholar] [CrossRef]
- Lambert, S.C.; Davidson, R.A. Applications of the business model in studies of enterprise success, innovation and classification: An analysis of empirical research from 1996 to 2010. Eur. Manag. J. 2013, 31, 668–681. [Google Scholar] [CrossRef]
- Dwyer, L.; Edwards, D. Tourism product and service innovation to avoid “strategic drift”. Int. J. Tour. Res. 2009, 11, 321–335. [Google Scholar] [CrossRef]
- Di Foggia, G. Effectiveness of Energy Efficiency Certificates as Drivers for Industrial Energy Efficiency Projects. Int. J. Energy Econ. Policy 2016, 6, 273–280. [Google Scholar]
- Bach, T.; Niklasson, B.; Painter, M. The role of agencies in policy-making. Policy Soc. 2012, 31, 183–193. [Google Scholar] [CrossRef]
- Sappington, D.E.M.; Weisman, D.L. Regulating regulators in transitionally competitive markets. J. Regul. Econ. 2012, 41, 19–40. [Google Scholar] [CrossRef][Green Version]
- Ruby, T.M. Innovation-enabling policy and regime transformation towards increased energy efficiency: The case of the circulator pump industry in Europe. J. Clean. Prod. 2015, 103, 574–585. [Google Scholar] [CrossRef]
- Zhang, Y.; Huang, T.; Yang, D. Impact of firms’ energy-saving effort and fixed asset characteristics on energy savings. J. Clean. Prod. 2020, 268, 122182. [Google Scholar] [CrossRef]
- Ahmed, R.; Stater, M. Is energy efficiency underprovided? An analysis of the provision of energy efficiency in multi-attribute products. Resour. Energy Econ. 2017, 49, 132–149. [Google Scholar] [CrossRef]
- Li, L.; Yu, S.; Tao, J. Design for energy efficiency in early stages: A top-down method for new product development. J. Clean. Prod. 2019, 224, 175–187. [Google Scholar] [CrossRef]
- Henseler, J.; Chin, W.W. A comparison of approaches for the analysis of interaction effects between latent variables using partial least squares path modeling. Struct. Equ. Model. 2010, 17, 82–109. [Google Scholar] [CrossRef]
- Little, T.D.; Card, N.A.; Bovaird, J.A.; Preacher, K.J.; Crandall, C.S. Structural Equation Modeling of Mediation and Moderation With Contextual Factors. In Modeling Contextual Effects in Longitudinal Studies; Little, T.D., Card, N.A., Bovaird, J.A., Eds.; Taylor & Francis: Abingdon, UK, 2007. [Google Scholar]
- Giones, F.; Brem, A.; Berger, A. Strategic decisions in turbulent times: Lessons from the energy industry. Bus. Horiz. 2019, 62, 215–225. [Google Scholar] [CrossRef]
- Teeratansirikool, L.; Siengthai, S.; Badir, Y.; Charoenngam, C. Competitive strategies and firm performance: The mediating role of performance measurement. Int. J. Product. Perform. Manag. 2013, 62, 168–184. [Google Scholar] [CrossRef]
- Brace, I. Questionnaire Design; Kogan Page: London, UK, 2004. [Google Scholar]
- Taber, K.S. The Use of Cronbach’s AlphaWhen Developing and Reporting Research Instruments in Science Education. Res. Sci. Educ. 2016, 48, 1273–1296. [Google Scholar] [CrossRef]
- Costa-Campi, M.T.; Duch-Brown, N.; García-Quevedo, J. R&D drivers and obstacles to innovation in the energy industry. Energy Econ. 2014, 46, 20–30. [Google Scholar] [CrossRef]
- Pirard, R.; Lapeyre, R. Classifying market-based instruments for ecosystem services: A guide to the literature jungle. Ecosyst. Serv. 2014, 9, 106–114. [Google Scholar] [CrossRef]
- Backlund, S.; Eidenskog, M. Energy service collaborations-it is a question of trust. Energy Effic. 2013, 6, 511–521. [Google Scholar] [CrossRef]
- Yan, S. The economic and environmental impacts of tax incentives for battery electric vehicles in Europe. Energy Policy 2018, 123, 53–63. [Google Scholar] [CrossRef]
Publisher’s Note: MDPI stays neutral with regard to jurisdictional claims in published maps and institutional affiliations. |
© 2021 by the author. Licensee MDPI, Basel, Switzerland. This article is an open access article distributed under the terms and conditions of the Creative Commons Attribution (CC BY) license (http://creativecommons.org/licenses/by/4.0/).
