Marketing Innovation and New Product Portfolios. A Compositional Approach
Abstract
:1. Introduction
- innovated products introduced for the first time in a given market by the firm;
- innovated products which are new to the firm, but were introduced into the market for the first time by other companies (i.e., imitation); and
- products without significant changes.
2. Compositional Data Analysis (CoDa)
- Compositional data are non-normal.
- One component can increase only if some other decreases. This results in negative spurious correlations and prevents interpreting effects in the usual way of “keeping everything else constant”.
- Prediction interval limits of standard statistical models can fall below 0 or above 100.
- The sum of coefficients predicting the different components is zero, and the issue about which components decrease when the component which is modeled increases remains unclear.
- Ratios, geometric means and logarithms constitute natural ways of distilling the information about relative size.
- Log-ratios are unbounded and statistical analyses assuming unbounded variable distributions (e.g., normal) are appropriate.
- Log-ratios are compositionally equivalent, and yield the same result when computed from x or z, for any closure constant k.
- innovative products launched by the firm for the first time in its market (x1);
- innovative products launched by the firm but already extant in its market (x2); and
- unchanged or only marginally modified products (x3).
- Which innovation activities, including marketing innovation, lead to increasing the share of new-to-the-market products (x1) while reducing the share of the products with lower degrees of novelty (x2 and x3)? This is the first coordinate (y1) corresponding to the first partition. High values of this coordinate are interpreted as a greater weight of market firsts within the sales portfolio of the company:
- Which innovation activities lead to increasing the share of new-to-the-firm products (x2) while reducing the share of unchanged products (x3)? This corresponds to the second partition, and the second coordinate (y2). High values of this coordinate are interpreted as a greater weight of sales of new products for the company but already existing in the market, compared to products with few or no changes:
3. Data Description
- Binary variables indicating open innovation activities: (1) cooperation with suppliers of equipment, including also materials, components, or software; (2) cooperation with customers, both public and private; (3) cooperation with competitors, understood in a broad sense as other enterprises in the firms’ sector; (4) use of information from consultants and commercial labs; (5) use of information from universities and research institutes, including all higher education institutions and research institutions, governmental, public and private; (6) external R&D; (7) acquisition of machinery, equipment and software; and (8) acquisition of knowledge.
- Binary variables indicating closed innovation activities: (9) use of information from within the enterprise or enterprise group, and (10) in-house R&D.
- Binary variable indicating: (11) marketing innovation.
- Control variables: (12) firm size (large enterprise, 250 or more employees; small or medium enterprise (SME), 10 to 249 employees belonging to an enterprise group; and independent SME); and (13) industry coded from the NACE classification grouped into nine broad categories (food, mining and construction; textile, fur, wood and paper industries; rubber and plastic manufacturing; metal manufacturing; machinery and equipment manufacturing; other manufacturing industries; retailing, repair and transport; publishing, printing and recorded media industries; and other services).
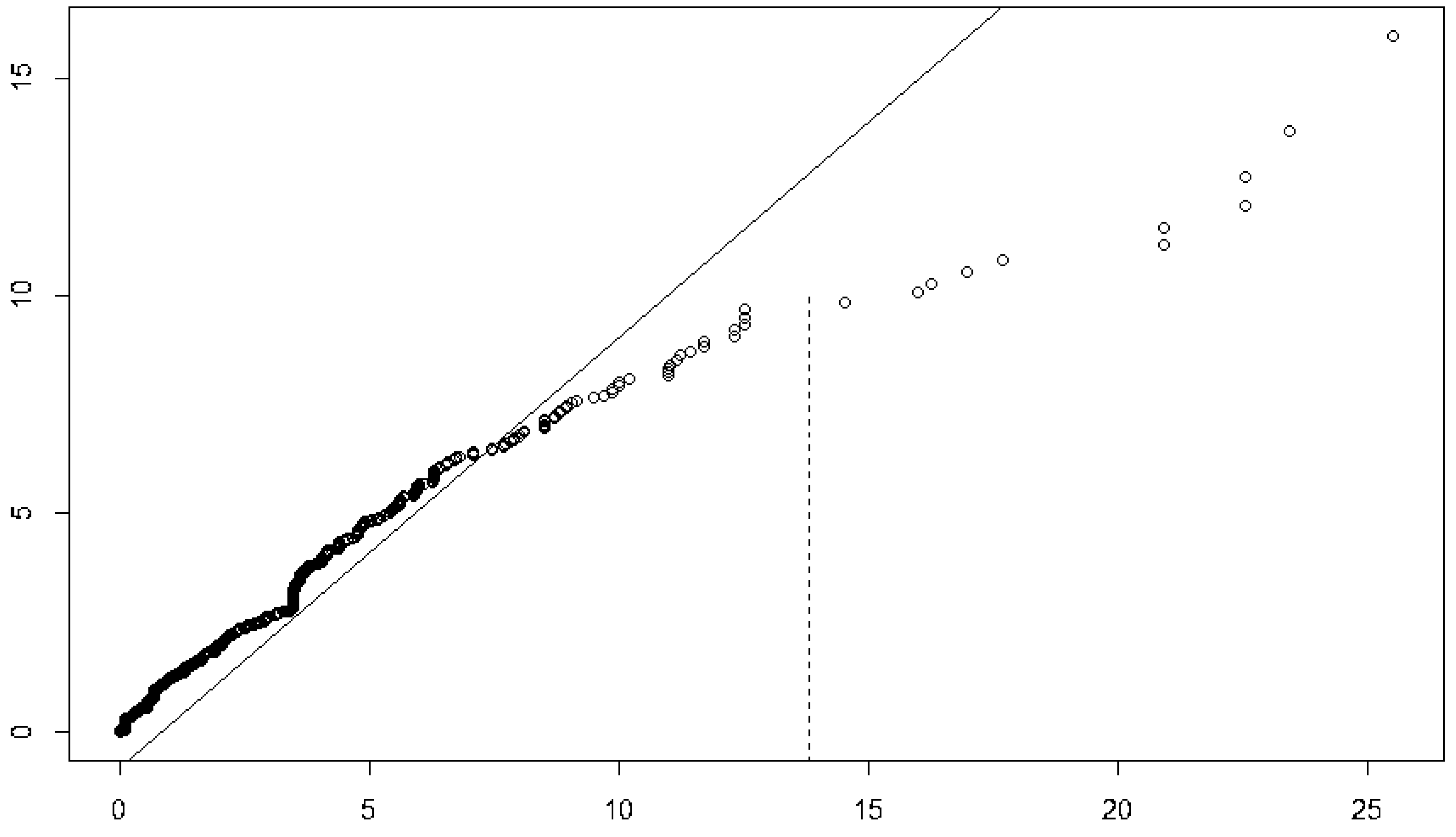
4. Results and Discussion
5. Conclusions
Author Contributions
Funding
Acknowledgments
Conflicts of Interest
Abbreviations
| CIS | Community Innovation Survey. |
| CoDa | Compositional Data Analysis. |
| EU | European Union. |
| NACE | Nomenclature statistique des Activités économiques dans la Communauté Européenne. |
| R&D | Research and Development. |
| SBP | Sequential Binary Partition. |
| SME | Small or Medium Enterprise. |
References
- Bogers, M.; Zobel, A.K.; Afuah, A.; Almirall, E.; Brunswicker, S.; Dahlander, L.; Gawer, A.; Gruber, M.; Haefliger, S.; Hagedoorn, J. The open innovation research landscape: Established perspectives and emerging themes across different levels of analysis. Ind. Innov. 2017, 24, 8–40. [Google Scholar] [CrossRef]
- Jeon, J.H.; Kim, S.K.; Koh, J.H. Historical review on the patterns of open innovation at the national level: The case of the roman period. J. Open Innov. Technol. Mark. Complex. 2015, 1, 20. [Google Scholar] [CrossRef]
- Chesbrough, H. Open Innovation: The New Imperative for Creating and Profiting from Technology; Harvard Business School Press: Boston, MA, USA, 2003. [Google Scholar]
- Hochleitner, F.P.; Arbussà, A.; Coenders, G. Inbound open innovation in SMEs: Indicators, non-financial outcomes and entry-timing. Technol. Anal. Strateg. Manag. 2017, 29, 204–218. [Google Scholar] [CrossRef]
- Laursen, K.; Salter, A. Open for innovation: The role of openness in explaining innovation performance among U.K. manufacturing firms. Strateg. Manag. J. 2006, 27, 131–150. [Google Scholar] [CrossRef]
- Spithoven, A.; Vanhaverbeke, W.; Roijakkers, N. Open innovation practices in SMEs and large enterprises. Small Bus. Econ. 2013, 41, 537–562. [Google Scholar] [CrossRef]
- Garcia, R.; Calantone, R. A critical look at technological innovation typology and innovativeness terminology: A literature review. J. Prod. Innov. Manag. 2002, 19, 110–132. [Google Scholar] [CrossRef]
- OECD. Oslo Manual, 3rd ed.; Guidelines for Collecting and Interpreting Technological Innovation Data; OECD: Paris, France, 2005. [Google Scholar]
- Hochleitner, F.P.; Arbussà, A.; Coenders, G. World-first innovations in an open innovation context. J. Technol. Manag. Innov. 2016, 11, 50–58. [Google Scholar] [CrossRef]
- Cesário, M.; Fernandes, S.; Jesus, B.; Monteiro Barata, J. Sources of innovation: The case of Portuguese consultancy sector. J. Technol. Manag. Innov. 2015, 10, 44–52. [Google Scholar] [CrossRef]
- Grimpe, C.; Sofka, W.; Bhargava, M.; Chatterjee, R. R&D, marketing innovation, and new product performance: A mixed methods study. J. Prod. Innov. Manag. 2017, 34, 360–383. [Google Scholar] [CrossRef]
- Medrano, N.; Olarte-Pascual, C. The effects of the crisis on marketing innovation: An application for Spain. J. Bus. Ind. Mark. 2016, 31, 404–417. [Google Scholar] [CrossRef]
- Ramirez, F.J.; Parra-Requena, G.; Ruiz-Ortega, M.J.; Garcia-Villaverde, P.M. From external information to marketing innovation: The mediating role of product and organizational innovation. J. Bus. Ind. Mark. 2018. [Google Scholar] [CrossRef]
- Zuñiga-Collazos, A.; Castillo-Palacio, M. Impact of image and satisfaction on marketing innovation. J. Technol. Manag. Innov. 2016, 11, 70–75. [Google Scholar] [CrossRef]
- Della Corte, V.; Iavazzi, A.; D’Andrea, C. Customer involvement through social media: The cases of some telecommunication firms. J. Open Innov. Technol. Mark. Complex. 2015, 1, 1–10. [Google Scholar] [CrossRef]
- Vega-Jurado, J.; Juliao-Esparragoza, D.; Paternina-Arboleda, C.D.; Velez, M.C. Integrating technology, management and marketing innovation through open innovation models. J. Technol. Manag. Innov. 2015, 10, 85–90. [Google Scholar] [CrossRef]
- Grzegorz, S.; Robert, S. The use of marketing innovations among SMES. J. Fundam. Appl. Sci. 2018, 10, 257–267. [Google Scholar] [CrossRef]
- Drechsler, W.; Natter, M.; Leeflang, P.S. Improving marketing’s contribution to new product development. J. Prod. Innov. Manag. 2013, 30, 298–315. [Google Scholar] [CrossRef]
- Divisekera, S.; Nguyen, V.K. Determinants of innovation in tourism evidence from Australia. Tour. Manag. 2018, 67, 157–167. [Google Scholar] [CrossRef]
- Camisón, C.; Villar-López, A. Non-technical innovation: Organizational memory and learning capabilities as antecedent factors with effects on sustained competitive advantage. Ind. Mark. Manag. 2011, 40, 1294–1304. [Google Scholar] [CrossRef]
- Ciliberti, S.; Carraresi, L.; Bröring, S. What drives marketing and organizational innovation in the food industry? A comparison between Italy and Germany. Proc. Syst. Dyn. Innov. Food Netw. 2017, 177–188. [Google Scholar] [CrossRef]
- Aksoy, H. How do innovation culture, marketing innovation and product innovation affect the market performance of small and medium-sized enterprises (SMEs)? Technol. Soc. 2017, 51, 133–141. [Google Scholar] [CrossRef]
- Ren, L.; Xie, G.; Krabbendam, K. Sustainable competitive advantage and marketing innovation within firms: A pragmatic approach for Chinese firms. Manag. Res. Rev. 2009, 33, 79–89. [Google Scholar] [CrossRef]
- Neyens, I.; Faems, D.; Sels, L. The impact of continuous and discontinuous alliance strategies on startup innovation performance. Int. J. Technol. Manag. 2010, 52, 392–410. [Google Scholar] [CrossRef]
- Aitchison, J. The Statistical Analysis of Compositional Data. Monographs on Statistics and Applied Probability; Chapman and Hall: London, UK, 1986. [Google Scholar]
- Van den Boogaart, K.G.; Tolosana-Delgado, R. Analyzing Compositional Data with R; Springer: Berlin, Germany, 2013. [Google Scholar]
- Pawlowsky-Glahn, V.; Egozcue, J.J.; Tolosana-Delgado, R. Modeling and Analysis of Compositional Data; Wiley: Chichester, UK, 2015. [Google Scholar]
- Morais, J.; Thomas-Agnan, C.; Simioni, M. Using compositional and Dirichlet models for market share regression. J. Appl. Stat. 2018, 45, 1670–1689. [Google Scholar] [CrossRef]
- Marine-Roig, E.; Ferrer-Rosell, B. Measuring the gap between projected and perceived destination images of Catalonia using compositional analysis. Tour. Manag. 2018, 68, 236–249. [Google Scholar] [CrossRef]
- Ferrer-Rosell, B.; Coenders, G. Destinations and crisis. Profiling tourists’ budget share from 2006 to 2012. J. Destin. Mark. Manag. 2018, 7, 26–35. [Google Scholar] [CrossRef]
- Ferrer-Rosell, B.; Coenders, G.; Martínez-Garcia, E. Determinants in tourist expenditure composition- the role of airline types. Tour. Econ. 2015, 21, 9–32. [Google Scholar] [CrossRef]
- Ferrer-Rosell, B.; Coenders, G.; Martínez-Garcia, E. Segmentation by tourist expenditure composition. An approach with compositional data analysis and latent classes. Tour. Anal. 2016, 21, 589–602. [Google Scholar] [CrossRef]
- Linares-Mustarós, S.; Coenders, G.; Vives-Mestres, M. Financial performance and distress profiles. From classification according to financial ratios to compositional classification. Adv. Account. 2018, 40, 1–10. [Google Scholar] [CrossRef]
- Vives-Mestres, M.; Martín-Fernández, J.A.; Kenett, R. Compositional data methods in customer survey analysis. Qual. Reliab. Eng. Int. 2016, 32, 2115–2125. [Google Scholar] [CrossRef]
- Coenders, G.; Martín-Fernández, J.A.; Ferrer-Rosell, B. When relative and absolute information matter. Compositional predictor with a total in generalized linear models. Stat. Model. 2017, 17, 494–512. [Google Scholar] [CrossRef]
- Egozcue, J.J.; Pawlowsky-Glahn, V.; Mateu-Figueras, G.; Barceló-Vidal, C. Isometric logratio transformations for compositional data analysis. Math. Geol. 2003, 35, 279–300. [Google Scholar] [CrossRef]
- Müller, I.; Hron, K.; Fišerová, E.; Šmahaj, J.; Cakirpaloglu, P.; Vančáková, J. Interpretation of compositional regression with application to time budget analysis. Austrian J. Stat. 2018, 47, 3–19. [Google Scholar] [CrossRef]
- Egozcue, J.J.; Pawlowsky-Glahn, V. Groups of parts and their balances in compositional data analysis. Math. Geol. 2005, 37, 795–828. [Google Scholar] [CrossRef]
- Martín-Fernández, J.A.; Pawlowsky-Glahn, V.; Egozcue, J.J.; Tolosona-Delgado, R. Advances in principal balances for compositional data. Math. Geosci. 2018, 5, 273–298. [Google Scholar] [CrossRef]
- Egozcue, J.J.; Pawlowsky-Glahn, V.; Daunis-i-Estadella, J.; Hron, K.; Filzmoser, P. Simplicial regression. The normal model. J. Appl. Probab. Stat. 2011, 6, 87–108. [Google Scholar]
- Martín-Fernández, J.A.; Daunis-i-Estadella, J.; Mateu-Figueras, G. On the interpretation of differences between groups for compositional data. SORT-Stat. Oper. Res. Trans. 2015, 39, 231–252. [Google Scholar]
- Yohai, V.; Stahel, W.A.; Zamar, R.H. A procedure for robust estimation and inference in linear regression. In Directions in Robust Statistics and Diagnostics, Part II; Stahel, W.A., Weisberg, S.W., Eds.; Springer: New York, NY, USA, 1991; pp. 365–374. [Google Scholar]
- Barge-Gil, A. Cooperation-based innovators and peripheral cooperators: An empirical analysis of their characteristics and behavior. Technovation 2010, 30, 195–206. [Google Scholar] [CrossRef]
- Frenz, M.; Ietto-Gillies, G. The impact on innovation performance of different sources of knowledge: Evidence from the UK Community Innovation Survey. Res. Policy 2009, 38, 1125–1135. [Google Scholar] [CrossRef]
- Hochleitner, F.; Arbussà, A.; Coenders, G. Evolution of inbound openness profiles in the innovation practices of small and medium-sized enterprises in Spain and Portugal. Int. J. Entrep. Innov. Manag. 2018, in press. [Google Scholar]
- Poot, T.; Faems, D.; Vanhaverbeke, W. Toward a dynamic perspective on open innovation: A longitudinal assessment of the adoption of internal and external innovation strategies in the Netherlands. Int. J. Innov. Manag. 2009, 13, 177–200. [Google Scholar] [CrossRef]
- Martín-Fernández, J.A.; Palarea-Albaladejo, J.; Olea, R.A. Dealing with zeros. In Compositional Data Analysis. Theory and Applications; Pawlowsky-Glahn, V., Buccianti, A., Eds.; Wiley: New York, NY, USA, 2011; pp. 47–62. [Google Scholar]
- Zachary, M.A.; Gianiodis, P.T.; Payne, G.T.; Markman, G.D. Entry-timing enduring lessons and future directions. J. Manag. 2015, 41, 1388–1415. [Google Scholar] [CrossRef]
- Huizingh, E.K.R.E. Open innovation: State of the art and future perspectives. Technovation 2011, 31, 2–9. [Google Scholar] [CrossRef]
- West, J.; Bogers, M. Leveraging external sources of innovation: A review of research on open innovation. J. Prod. Innov. Manag. 2014, 31, 814–831. [Google Scholar] [CrossRef]
- Parida, V.; Westerberg, M.; Frishammar, J. Inbound open innovation activities in high-tech SMEs: The impact on innovation performance. J. Small Bus. Manag. 2012, 50, 283–309. [Google Scholar] [CrossRef]
- Rothgang, M.; Cantner, U.; Dehio, J.; Engel, D.; Fertig, M.; Graf, H.; Hinzmann, S.; Linshalm, E.; Ploder, M.; Scholz, A.M.; Töpfer, S. Cluster policy: Insights from the German leading edge cluster competition. J. Open Innov. Technol. Mark. Complex. 2017, 3, 18. [Google Scholar] [CrossRef]
- Enkel, E.; Gassmann, O.; Chesbrough, H. Open R&D and open innovation: Exploring the phenomenon. R&D Manag. 2009, 39, 311–316. [Google Scholar] [CrossRef]
- Brunswicker, S.; Vanhaverbeke, W. Open innovation in small and medium-sized enterprises (SMEs): External knowledge sourcing strategies and internal organizational facilitators. J. Small Bus. Manag. 2015, 53, 241–1263. [Google Scholar] [CrossRef]
- Dubickis, M.; Gaile-Sarkane, E. Transfer of know-how based on learning outcomes for development of open innovation. J. Open Innov. Technol. Mark. Complex. 2017, 3, 4. [Google Scholar] [CrossRef]

| Large Enterprise (n = 302) | SME in an Enterprise Group (n = 477) | Independent SME (n = 687) | Overall Sample (n = 1466) | |
|---|---|---|---|---|
| Cooperation with suppliers of equipment | 0.542 | 0.296 | 0.223 | 0.312 |
| Cooperation with customers | 0.383 | 0.310 | 0.234 | 0.290 |
| Cooperation with competitors | 0.302 | 0.167 | 0.139 | 0.182 |
| Information from consultants/commercial labs | 0.487 | 0.478 | 0.399 | 0.443 |
| Information from universities/research instit. | 0.630 | 0.567 | 0.467 | 0.533 |
| External R&D | 0.513 | 0.453 | 0.347 | 0.415 |
| Acquisition of machinery, equipment, software | 0.347 | 0.208 | 0.155 | 0.212 |
| Acquisition of knowledge | 0.094 | 0.022 | 0.034 | 0.043 |
| Information within the enterprise or group | 0.961 | 0.927 | 0.911 | 0.926 |
| In-house R&D | 0.857 | 0.853 | 0.820 | 0.838 |
| Marketing innovation | 0.620 | 0.561 | 0.585 | 0.585 |
| Large Enterprise (n = 302) | SME in an Enterprise Group (n = 477) | Independent SME (n = 687) | Overall Sample (n = 1466) | |
|---|---|---|---|---|
| New to the market (x1) | 12.1 | 14.0 | 17.8 | 15.2 |
| New to the firm (x2) | 12.5 | 14.5 | 17.4 | 15.4 |
| Unchanged or marginally modified (x3) | 75.4 | 71.5 | 64.8 | 69.4 |
| y1 Coordinate New to the Market over Less or No Novelty (R2 = 0.069) | y2 Coordinate New to the Firm over No Novelty (R2 = 0.065) | |||||
|---|---|---|---|---|---|---|
| s.e.() | p-Value | s.e.() | p-Value | |||
| Cooperation with suppliers of equipment | 0.17 | 0.11 | 0.131 | 0.33 | 0.16 | 0.039 |
| Cooperation with customers | 0.12 | 0.12 | 0.327 | −0.11 | 0.17 | 0.529 |
| Cooperation with competitors | −0.04 | 0.13 | 0.749 | −0.19 | 0.18 | 0.289 |
| Information from consultants/commercial labs | −0.01 | 0.09 | 0.897 | 0.03 | 0.13 | 0.818 |
| Information from universities/research instit. | 0.23 | 0.10 | 0.019 | 0.14 | 0.14 | 0.312 |
| External R&D | −0.16 | 0.10 | 0.107 | −0.27 | 0.14 | 0.052 |
| Acquisition of machinery, equipment, software | −0.18 | 0.11 | 0.095 | −0.10 | 0.15 | 0.522 |
| Acquisition of knowledge | 0.35 | 0.22 | 0.110 | 0.55 | 0.31 | 0.077 |
| Information within the enterprise or group | −0.05 | 0.17 | 0.764 | −0.04 | 0.25 | 0.865 |
| In-house R&D | 0.19 | 0.13 | 0.153 | 0.35 | 0.19 | 0.060 |
| Marketing innovation | 0.23 | 0.09 | 0.009 | 0.31 | 0.13 | 0.013 |
© 2018 by the authors. Licensee MDPI, Basel, Switzerland. This article is an open access article distributed under the terms and conditions of the Creative Commons Attribution (CC BY) license (http://creativecommons.org/licenses/by/4.0/).
Share and Cite
Joueid, A.; Coenders, G. Marketing Innovation and New Product Portfolios. A Compositional Approach. J. Open Innov. Technol. Mark. Complex. 2018, 4, 19. https://doi.org/10.3390/joitmc4020019
Joueid A, Coenders G. Marketing Innovation and New Product Portfolios. A Compositional Approach. Journal of Open Innovation: Technology, Market, and Complexity. 2018; 4(2):19. https://doi.org/10.3390/joitmc4020019
Chicago/Turabian StyleJoueid, Abdennassar, and Germà Coenders. 2018. "Marketing Innovation and New Product Portfolios. A Compositional Approach" Journal of Open Innovation: Technology, Market, and Complexity 4, no. 2: 19. https://doi.org/10.3390/joitmc4020019
APA StyleJoueid, A., & Coenders, G. (2018). Marketing Innovation and New Product Portfolios. A Compositional Approach. Journal of Open Innovation: Technology, Market, and Complexity, 4(2), 19. https://doi.org/10.3390/joitmc4020019

