Effectiveness of Defocus Incorporated Multiple Segments in Slowing Myopia Progression in Pediatric Patients as a Function of Age: Three-Year Follow-Up
Abstract
1. Introduction
2. Methods
Statistical Analysis
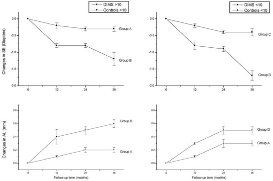
3. Results
4. Discussion
5. Conclusions
Author Contributions
Funding
Institutional Review Board Statement
Informed Consent Statement
Data Availability Statement
Acknowledgments
Conflicts of Interest
References
- Dhakal, R.; Verkicharla, P.K.; Li, D.; Mavi, S.; Kernohan, A.; Li, T.; Walline, J.J. Interventions for myopia control in children: A living systematic review and network meta-analysis. Cochrane Database Syst. Rev. 2023, 2, CD014758. [Google Scholar]
- Dolgin, E. The myopia boom. Nature 2015, 519, 276–278. [Google Scholar] [CrossRef] [PubMed]
- Nucci, P.; Lembo, A.; Schiavetti, I.; Shah, R.; Edgar, D.F.; Evans, B.J.W. A comparison of myopia control in European children and adolescents with defocus incorporated multiple segments (DIMS) spectacles, atropine, and combined DIMS/atropine. PLoS ONE 2023, 18, e0281816. [Google Scholar] [CrossRef] [PubMed]
- Chen, Y.X.; Liao, C.M.; Tan, Z.; He, M.G. Who needs myopia control? Int. J. Ophthalmol. 2021, 14, 1297–1301. [Google Scholar] [CrossRef] [PubMed]
- Donovan, L.; Sankaridurg, P.; Ho, A.; Naduvilath, T.; Smith, E.L., 3rd; Holden, B.A. Myopia progression rates in urban children wearing single-vision spectacles. Optom. Vis. Sci. 2012, 89, 27–32. [Google Scholar] [CrossRef]
- Tideman, J.W.; Snabel, M.C.; Tedja, M.S.; Van Rijn, G.A.; Wong, K.T.; Kuijpers, R.W.; Vingerling, J.R.; Hofman, A.; Buitendijk, G.H.; Keunen, J.E.; et al. Association of axial length with risk of uncorrectable visual impairment for Europeans with myopia. JAMA Ophthalmol. 2016, 134, 1355–1363. [Google Scholar] [CrossRef]
- Tang, Y.; Wang, X.; Huang, W.; Wang, J.; Gao, Y.; Lui, Y.; Lu, Y. Prevalence and causes of visual impairment in a Chinese adult population: The Taizhou Eye Study. Ophthalmology 2015, 122, 1480–1488. [Google Scholar] [CrossRef]
- Flitcroft, D.I. The complex interactions of retinal, optical and environmental factors in myopia aetiology. Prog. Retin. Eye Res. 2012, 31, 622–630. [Google Scholar] [CrossRef]
- Chua, S.Y.L.; Sabanayagam, C.; Cheung, Y.; Chia, A.; Valenzuela, R.K.; Tan, D.; Wong, T.; Cheng, C.; Saw, S. Age of onset of myopia predicts risk of high myopia in later childhood in myopic Singapore children. Ophthalmic Physiol. Opt. 2016, 36, 388–394. [Google Scholar] [CrossRef]
- Jensen, H. Myopia in teenagers: An eight-year follow-up study on myopia progression and risk factors. Acta Ophthalmol. Scand. 1995, 73, 389–393. [Google Scholar] [CrossRef]
- Saw, S.-M.; Tong, L.; Chua, W.-H.; Chia, K.-S.; Koh, D.; Tan, D.T.H.; Katz, J. Incidence and progression of myopia in Singaporean school children. Investig. Ophthalmol. Vis. Sci. 2005, 46, 51. [Google Scholar] [CrossRef] [PubMed]
- Lam, C.S.Y.; Tang, W.C.; Zhang, H.Y.; Lee, P.H.; Tse, D.Y.Y.; Qi, H.; Vlasak, N.; To, C.H. Long-term myopia control effect and safety in children wearing DIMS spectacle lenses for 6 years. Sci. Rep. 2023, 13, 5475–5485. [Google Scholar] [CrossRef] [PubMed]
- Eppenberger, L.S.; Grzybowski, A.; Schmetterer, L.; Ang, M. Myopia Control: Are We Ready for an Evidence Based Approach? Ophthalmol. Ther. 2024, 13, 1453–1477. [Google Scholar] [CrossRef] [PubMed]
- Zhang, X.J.; Zaabaar, E.; French, A.N.; Tang, F.Y.; Kam, K.W.; Tham, C.C.; Chen, L.J.; Pang, C.P.; Yam, J.C. Advances in myopia control strategies for children. Br. J. Ophthalmol. 2024. [Google Scholar] [CrossRef] [PubMed]
- Lawrenson, J.G.; Shah, R.; Huntjens, B.; Downie, L.E.; Virgili, G.; Dhakal, R.; Verkicharla, P.K.; Li, D.; Mavi, S.; Kernohan, A.; et al. Interventions for myopia control in children: A living systematic review and network meta-analysis. Cochrane Database Syst. Rev. 2023, CD014758. [Google Scholar]
- Lam, C.S.; Tang, W.C.; Tse, D.Y.; Lee, R.P.; Chun, R.K.; Hasegawa, K.; Qi, H.; Hatanaka, T.; To, C.H. Defocus Incorporated Multiple Segments (DIMS) spectacle lenses slow myopia progression: A 2-year randomised clinical trial. Br. J. Ophthalmol. 2020, 104, 363–368. [Google Scholar] [CrossRef]
- Huang, J.; Wen, D.; Wang, Q.; McAlinden, C.; Flitcroft, I.; Chen, H.; Saw, S.M.; Chen, H.; Bao, F.; Zhao, Y.; et al. Efficacy comparison of 16 interventions for myopia control in children: A network meta-analysis. Ophthalmology 2016, 123, 697–708. [Google Scholar] [CrossRef]
- Smith, M.J.; Walline, J.J. Controlling myopia progression in children and adolescents. Adolesc. Health Med. Ther. 2015, 6, 133–140. [Google Scholar]
- Chia, A.; Chua, W.-H.; Cheung, Y.-B.; Wong, W.-L.; Lingham, A.; Fong, A.; Tan, D. Atropine for the treatment of childhood myopia: Safety and efficacy of 0.5%, 0.1%, and 0.01% doses (Atropine for the Treatment of Myopia 2). Ophthalmology 2012, 119, 347–354. [Google Scholar] [CrossRef]
- Clark, T.Y.; Clark, R.A. Atropine 0.01% Eyedrops Significantly Reduce the Progression of Childhood Myopia. J. Ocul. Pharmacol. Ther. 2015, 31, 541–545. [Google Scholar] [CrossRef]
- Yam, J.C.; Jiang, Y.; Tang, S.M.; Law, A.K.; Chan, J.J.; Wong, E.; Ko, S.T.; Young, A.L.; Tham, C.C.; Chen, L.J.; et al. Low-Concentration Atropine for Myopia Progression (LAMP) Study: A Randomized, Double-Blinded, Placebo-Controlled Trial of 0.05%, 0.025%, and 0.01% Atropine Eye Drops in Myopia Control. Ophthalmology 2019, 126, 113–124. [Google Scholar] [CrossRef] [PubMed]
- Chia, A.; Lu, Q.S.; Tan, D. (ATOM-2) five-year clinical trial on Atropine for the treatment of Myopia 2: Myopia control with atropine 0.01% eyedrops. Ophthalmology 2016, 123, 391–399. [Google Scholar] [CrossRef] [PubMed]
- Cheng, D.; Woo, G.C.; Drobe, B.; Schmid, K.L. Effect of bifocal and prismatic bifocal spectacles on myopia progression in children: Three-year results of a randomized clinical trial. JAMA Ophthalmol. 2014, 132, 258–264. [Google Scholar] [CrossRef] [PubMed]
- Tricard, D.; Marillet, S.; Ingrand, P.; Bullimore, M.A.; Bourne, R.R.A.; Leveziel, N. Progression of myopia in children and teenagers: A nationwide longitudinal study. Br. J. Ophthalmol. 2022, 106, 1104–1109. [Google Scholar] [CrossRef] [PubMed]
- Wallman, J.; Winawer, J. Homeostasis of eye growth and the question of myopia. Neuron 2004, 43, 447–468. [Google Scholar] [CrossRef]
- Liu, Y.; Wildsoet, C. The effect of two-zone concentric bifocal spectacle lenses on refractive error development and eye growth in young chicks. Investig. Ophthalmol. Vis. Sci. 2011, 52, 1078–1086. [Google Scholar] [CrossRef]
- Tse, D.Y.; Lam, C.S.; Guggenheim, J.A.; Lam, C.; Li, K.-K.; Liu, Q.; To, C.-H. Simultaneous defocus integration during refractive development. Investig. Ophthalmol. Vis. Sci. 2007, 48, 5352–5359. [Google Scholar] [CrossRef]
- McFadden, S.A.; Tse, D.Y.; Bowrey, H.E.; Leotta, A.J.; Lam, C.S.; Wildsoet, C.F.; To, C.-H. Integration of defocus by dual power Fresnel lenses inhibits myopia in the mammalian eye. Investig. Ophthalmol. Vis. Sci. 2014, 55, 908–917. [Google Scholar] [CrossRef]
- Benavente-Perez, A.; Nour, A.; Troilo, D. The effect of simultaneous negative and positive defocus on eye growth and development of refractive state in marmosets. Investig. Ophthalmol. Vis. Sci. 2012, 53, 6479–6487. [Google Scholar] [CrossRef]
- Arumugam, B.; Hung, L.-F.; To, C.-H.; Holden, B.; Smith, E.L. The effects of simultaneous dual focus lenses on refractive development in infant monkeys. Investig. Ophthalmol. Vis. Sci. 2014, 55, 7423–7432. [Google Scholar] [CrossRef]
- Long, W.; Chen, K.; Yu, S.; Liang, M.; Zheng, B.; Zeng, J.; Cui, D. One-year Efficacy of the Defocus Incorporated Multiple Segment Lens in Chinese Myopic Children. Optom. Vis. Sci. 2023, 100, 111–116. [Google Scholar] [CrossRef] [PubMed]
- Brennan, N.A.; Toubouti, Y.M.; Cheng, X.; Bullimore, M.A. Efficacy in myopia control. Prog. Retin. Eye Res. 2021, 83, 100923. [Google Scholar] [CrossRef] [PubMed]





| TOTAL | DIMS | CONTROL | p | |
|---|---|---|---|---|
| Patients number | 80 | 40 | 40 | p > 0.05 |
| Age (years) | 11.5 ± 3 | 11.2 ± 2.9 | p > 0.05 | |
| SE ^ (diopters) | −2.9 ± 2 | −2.7 ± 2.4 | p > 0.05 | |
| AL * (mm) | 24.3 ± 1.1 | 24.4 ± 0.9 | p > 0.05 |
| Time (Months) | Patients Age (Years) | DIMS (SE ^, Diopters) | CONTROL (SE ^, Diopters) | DIMS (AL *, mm) | CONTROL (AL *, mm) |
|---|---|---|---|---|---|
| 12 | <10 | −0.2 ± 0.3 ** | −0.8 ± 0.5 | 0.1 ± 0.1 ** | 0.3 ± 0.1 |
| 12 | >10 | −0.2 ± 0.4 ** | −0.8 ± 0.3 | 0.1 ± 0.1 ** | 0.4 ± 0.4 |
| 24 | <10 | −0.4 ± 0.2 ** | −0.9 ± 0.4 | 0.3 ± 0.3 ** | 0.5 ± 0.3 |
| 24 | >10 | −0.3 ± 0.3 ** | −0.8 ± 0.3 | 0.2 ± 0.2 ** | 0.5 ± 0.3 |
| 36 | <10 | −0.4 ± 0.5 ** | −1.7 ± 0.7 | 0.3 ± 0.2 ** | 0.5 ± 0.3 |
| 36 | >10 | −0.3 ± 0.4 ** | −1.2 ± 0.9 | 0.2 ± 0.2 ** | 0.6 ± 0.3 |
| AUTHORS | DURATION (Years) | PROGRESSION SE (Ds) ^ | PROGRESSION AL (mm) * |
|---|---|---|---|
| Long et al. (2023) [31] | 1 | −0.51 ± 0.50 | NOT REPORTED |
| Lam et al. (2020) [16] | 2 | −0.38 ± 0.06 | 0.21 ± 0.02 |
| Lam et al. (2023) [12] | 6 | −0.40 ± 0.72 | 0.28 ± 0.28 |
Disclaimer/Publisher’s Note: The statements, opinions and data contained in all publications are solely those of the individual author(s) and contributor(s) and not of MDPI and/or the editor(s). MDPI and/or the editor(s) disclaim responsibility for any injury to people or property resulting from any ideas, methods, instructions or products referred to in the content. |
© 2024 by the authors. Licensee MDPI, Basel, Switzerland. This article is an open access article distributed under the terms and conditions of the Creative Commons Attribution (CC BY) license (https://creativecommons.org/licenses/by/4.0/).
Share and Cite
Buzzonetti, L.; Petroni, S.; Federici, M.; Valente, P.; Iarossi, G. Effectiveness of Defocus Incorporated Multiple Segments in Slowing Myopia Progression in Pediatric Patients as a Function of Age: Three-Year Follow-Up. Diseases 2024, 12, 222. https://doi.org/10.3390/diseases12090222
Buzzonetti L, Petroni S, Federici M, Valente P, Iarossi G. Effectiveness of Defocus Incorporated Multiple Segments in Slowing Myopia Progression in Pediatric Patients as a Function of Age: Three-Year Follow-Up. Diseases. 2024; 12(9):222. https://doi.org/10.3390/diseases12090222
Chicago/Turabian StyleBuzzonetti, Luca, Sergio Petroni, Matteo Federici, Paola Valente, and Giancarlo Iarossi. 2024. "Effectiveness of Defocus Incorporated Multiple Segments in Slowing Myopia Progression in Pediatric Patients as a Function of Age: Three-Year Follow-Up" Diseases 12, no. 9: 222. https://doi.org/10.3390/diseases12090222
APA StyleBuzzonetti, L., Petroni, S., Federici, M., Valente, P., & Iarossi, G. (2024). Effectiveness of Defocus Incorporated Multiple Segments in Slowing Myopia Progression in Pediatric Patients as a Function of Age: Three-Year Follow-Up. Diseases, 12(9), 222. https://doi.org/10.3390/diseases12090222

