Compact Dual-Band Rectenna Based on Dual-Mode Metal-Rimmed Antenna †
Abstract
1. Introduction
2. Rectenna Structure and Simulation
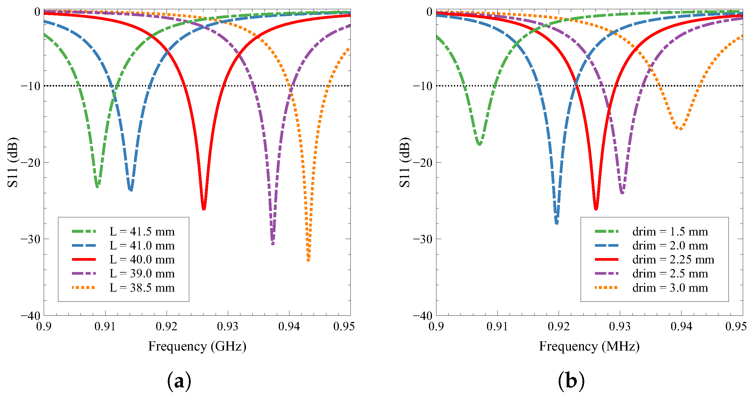
2.1. Antenna Design
2.2. Rectifier Design
2.3. Simulation Result
3. Experimental and Discussion
3.1. Antenna Measurement
3.2. Rectifier Measurement
4. Conclusions
Author Contributions
Funding
Conflicts of Interest
References
- Visser, H.J.; Vullers, R.J.M. RF Energy Harvesting and Transport for Wireless Sensor Network Applications: Principles and Requirements. Proc. IEEE 2013, 101, 1410–1423. [Google Scholar] [CrossRef]
- Valenta, C.R.; Durgin, G.D. Harvesting Wireless Power: Survey of Energy-Harvester Conversion Efficiency in Far-Field, Wireless Power Transfer Systems. IEEE Microw. Mag. 2014, 15, 108–120. [Google Scholar]
- Sun, H. An Enhanced Rectenna Using Differentially-Fed Rectifier for Wireless Power Transmission. IEEE Antennas Wirel. Propag. Lett. 2016, 15, 32–35. [Google Scholar] [CrossRef]
- Ahmed, S.; Zakaria, Z.; Husain, M.N.; Ibrahim, I.M.; Alhegazi, A. Efficient feeding geometries for rectenna design at 2.45 GHz. Electron. Lett. 2017, 53, 1585–1587. [Google Scholar] [CrossRef]
- Ho, D.; Kharrat, I.; Ngo, V.; Vuong, T.; Nguyen, Q.; Le, M. Dual-band rectenna for ambient RF energy harvesting at GSM 900 MHz and 1800 MHz. In Proceedings of the 2016 IEEE International Conference on Sustainable Energy Technologies (ICSET), Hanoi, Vietnam, 14–16 November 2016; pp. 306–310. [Google Scholar]
- Mattsson, M.; Kolitsidas, C.I.; Jonsson, B.L.G. Dual-Band Dual-Polarized Full-Wave Rectenna Based on Differential Field Sampling. IEEE Antennas Wirel. Propag. Lett. 2018, 17, 956–959. [Google Scholar] [CrossRef]
- Lin, D.; Yu, C.; Lin, C.; Lee, Y. Dual band rectenna with one rectifier. In Proceedings of the 2017 International Symposium on Electronics and Smart Devices (ISESD), Yogyakarta, Indonesia, 17–19 October 2017; pp. 268–272. [Google Scholar]
- Zeng, M.; Li, Z.; Andrenko, A.S.; Zeng, Y.; Tan, H.-Z. A Compact Dual-Band Rectenna for GSM900 and GSM1800 Energy Harvesting. Int. J. Antennas Propag. 2018, 2018, 4781465. [Google Scholar] [CrossRef]
- Aboualalaa, M.; Mansour, I.; Mansour, M.; Bedair, A.; Allam, A.; Abo-Zahhad, M.; Elsadek, H.; Yoshitomi, E.; Pokharel, R.K. Dual-band Rectenna Using Voltage Doubler Rectifier and Four-Section Matching Network. In Proceedings of the 2018 IEEE Wireless Power Transfer Conference (WPTC), Montreal, QC, Canada, 3–7 June 2018; pp. 1–4. [Google Scholar]
- Chandravanshi, S.; Akhtar, M.J. An efficient dual-band rectenna using symmetrical rectifying circuit and slotted monopole antenna array. Int. J. Microw. RF Comput.-Aided Eng. 2020, 30, e22117. [Google Scholar] [CrossRef]
- Almohaimeed, A.M.; Yagoub, M.E.E.; Lima, J.A.; Amaya, R.E. Dual-Band Harvester with Wide Range Input Power for WPT Applications. In Proceedings of the 2018 IEEE PELS Workshop on Emerging Technologies: Wireless Power Transfer (Wow), Montréal, QC, Canada, 3–7 June 2018; pp. 1–4. [Google Scholar]
- Adam, I.; Yasin, N.; Rahim, H.A.; Soh, P.J.; Abdulmalek, M. A compact dual-band rectenna for ambient RF energy harvesting. Microw. Opt. Technol. Lett. 2018, 60, 2740–2748. [Google Scholar] [CrossRef]
- Trinh, L.H.; Vu Ngoc Anh, H.; Trinh, V.H.; Duy Phan, D.; Thi Khanh, H.N.; Ferrero, F. Design of a Dual-band Rectenna for Small IoT Terminal. In Proceedings of the 2019 International Symposium on Electrical and Electronics Engineering (ISEE), Ho Chi Minh, Vietnam, 10–12 October 2019; pp. 150–154. [Google Scholar] [CrossRef]















| Parameter | Value (mm) | Parameter | Value (mm) |
|---|---|---|---|
| clr_W | 3.6 | gap_W | 1.1 |
| rad_elem_L | 18.2 | gap_L | 5.5 |
| rad_elem_W | 2.5 | gap | 0.8 |
| W | 30 | rim_H | 2.5 |
| L | 40 | rim_T | 0.3 |
| drim | 2.25 |
| Value (mm) | Value (mm) | ||||
|---|---|---|---|---|---|
| Parameter | Width | Length | Parameter | Width | Length |
| ML1 | 1.5 | 1 | ML7 | 3.6 | 0.9 |
| ML2 | 3.2 | 1 | ML8 | 1.5 | 1 |
| ML3 | 1.5 | 10.4 | ML9 | 1.5 | 1 |
| ML4 | 3.7 | 4.2 | ML10 | 3.3 | 3.3 |
| ML5 | 1.1 | 9.5 | ML11 | 4.5 | 5.5 |
| ML6 | 5.5 | 0.8 | ML_STUB | 3.3 | 9.4 |
| Ref. | Bands (MHz) | Max. Conversion Eff. (%) | Electrical Size | F.o.M. |
|---|---|---|---|---|
| [3] | 2450 | 73.9 | 1.58 | |
| [4] | 2450 | 75 | 1.32 | |
| [5] | 900/1800 | 72/69 | 16.86 | |
| [6] | 2400/5500 | 36/8 | 0.627 | |
| [7] | 2450/5480 | 56.3/37.8 | 2.57 | |
| [8] | 880/1850 | 62/50 | 21.72 | |
| [10] | 1800/2450 | 70/68 | 1.78 | |
| This Work | 925/2450 | 64/63 | 111.02 | |
| * is the wavelength at the center frequency for the single band or at the lowest frequency for the multi-band. | ||||
© 2020 by the authors. Licensee MDPI, Basel, Switzerland. This article is an open access article distributed under the terms and conditions of the Creative Commons Attribution (CC BY) license (http://creativecommons.org/licenses/by/4.0/).
Share and Cite
Vu Ngoc Anh, H.; Thien, N.M.; Trinh, L.H.; Nguyen Vu, T.; Ferrero, F. Compact Dual-Band Rectenna Based on Dual-Mode Metal-Rimmed Antenna. Electronics 2020, 9, 1532. https://doi.org/10.3390/electronics9091532
Vu Ngoc Anh H, Thien NM, Trinh LH, Nguyen Vu T, Ferrero F. Compact Dual-Band Rectenna Based on Dual-Mode Metal-Rimmed Antenna. Electronics. 2020; 9(9):1532. https://doi.org/10.3390/electronics9091532
Chicago/Turabian StyleVu Ngoc Anh, Ha, Nguyen Minh Thien, Le Huy Trinh, Truong Nguyen Vu, and Fabien Ferrero. 2020. "Compact Dual-Band Rectenna Based on Dual-Mode Metal-Rimmed Antenna" Electronics 9, no. 9: 1532. https://doi.org/10.3390/electronics9091532
APA StyleVu Ngoc Anh, H., Thien, N. M., Trinh, L. H., Nguyen Vu, T., & Ferrero, F. (2020). Compact Dual-Band Rectenna Based on Dual-Mode Metal-Rimmed Antenna. Electronics, 9(9), 1532. https://doi.org/10.3390/electronics9091532

