Design of Circularly Polarized Triple-Band Wearable Textile Antenna with Safe Low SAR for Human Health
Abstract
1. Introduction
2. Materials and Methods
Textile Antenna Structure
- Non-resonant methods;
- Resonance methods.
3. Parametric Study of Proposed Antenna
3.1. Variation of the Feed Width
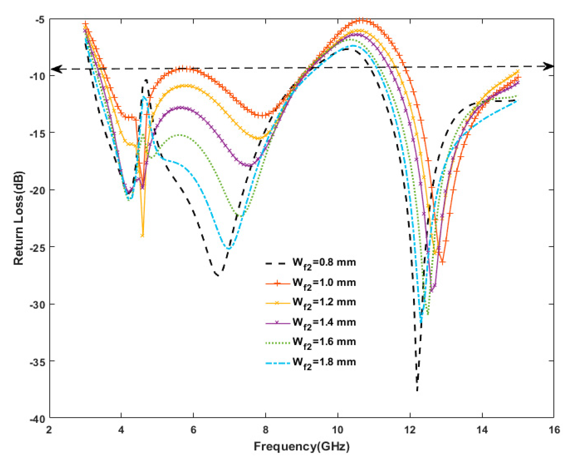
3.2. Effect of Variation on Wf2
3.3. Effect of Variation on lf2
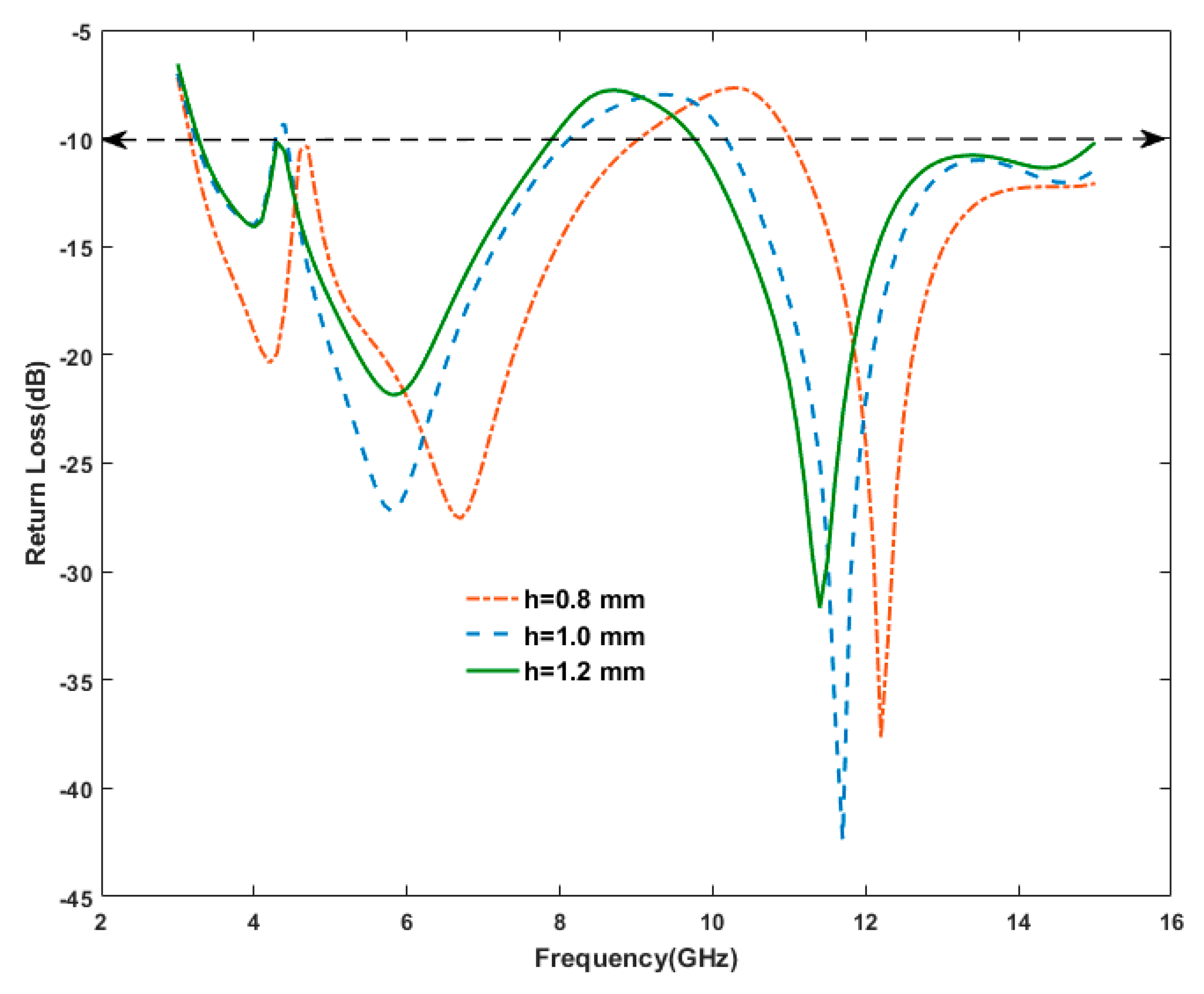
3.4. Variation of the Substrate Height with 2.5-mm Feed Width
4. Discussion
4.1. Comparative Analysis of Antenna I, Antenna II and the Anticipated Antenna
4.2. Experimental Return Loss of the Anticipated Antenna
4.3. Axial Ratio Performance
4.4. Analysis of Experimental Gain
4.5. Description of Radiation Pattern
4.6. Determination of Surface Current Distribution
4.7. Analysis of Specific Absorption Rate
- σ is the conductivity in S/m
- E is electric field in V/m
- is the mass density in kg/m3
4.8. Performance of Antenna on Human Body
- The proposed investigation offers an antenna flexible for WBAN application;
- This antenna requires less than about 100 mW of power to energize the radiator patch and minimize the radiation;
- This textile-based antenna offers impedance bandwidth of 110.99% under C band, X/Ku band (partially). It also offers ARBW (axial ratio bandwidth) of 25.49%, which has an additional advantage of this antenna to reduce the losses;
- This antenna offers safer SAR limit to protect the human body from undesired radiation.
5. Conclusions
Author Contributions
Funding
Acknowledgments
Conflicts of Interest
References
- Khaleel, H. Innovation in Wearable and Flexible Antennas; WIT: Southampton, UK, 2015. [Google Scholar]
- Silva, P.F., Jr.; Freire, R.C.S.; Serreset, A.J.R.; Silva, P.D.F.; Silva, J.C. Wearable textile bioinspired antenna for 2G, 3G, and 4G systems. Microw. Opt. Technol. Lett. 2016, 58, 2818–2823. [Google Scholar] [CrossRef]
- Pinapati, S.P.; Kaufmann, T.; Ranasinghe, D.C.; Fumeaux, C. Wearable dual-band stripline-fed half-mode substrate-integrated cavity antenna. Electron. Lett. 2016, 52, 424–426. [Google Scholar] [CrossRef]
- Sundarsingh, E.F.; Velan, S.; Kanagasabai, M.; Sarma, A.K.; Raviteja, C.; Alsath, M.G.N. Polygon-Shaped Slotted Dual-Band Antenna for Wearable Applications. IEEE Antennas Wirel. Propag. Lett. 2014, 13, 611–614. [Google Scholar] [CrossRef]
- Gao, G.P.; Hu, B.; Tian, X.L.; Zhao, Q.L.; Zhang, B.T. Experimental study of a wearable aperture-coupled patch antenna for wireless body area network. Microw. Opt. Technol. Lett. 2017, 59, 761–766. [Google Scholar] [CrossRef]
- Singh, N.; Singh, A.K.; Singh, V.K. Design and performance of wearable ultra wide band textile antenna for medical applications. Microw. Opt. Technol. Lett. 2015, 57, 1553–1557. [Google Scholar] [CrossRef]
- Hu, B.; Gao, G.P.; He, L.L.; Cong, X.D.; Zhao, J.N. Bending and on-arm effects on a wearable antenna for 2.45 GHz body area network. Antennas Wirel. Propag. IEEE Lett. 2016, 15, 378–381. [Google Scholar] [CrossRef]
- Yadav, A.; Kumar Singh, V.; Kumar Bhoi, A.; Marques, G.; Garcia-Zapirain, B.; de la Torre Díez, I. Wireless Body Area Networks: UWB Wearable Textile Antenna for Telemedicine and Mobile Health Systems. Micromachines 2020, 11, 558. [Google Scholar] [CrossRef] [PubMed]
- Jiang, Z.H.; Brocker, D.E.; Sieber, P.E.; Werner, D.H. A compact, low-profile metasurface enabled antenna for wearable medical body-area network devices. IEEE Trans. Antennas Propag. 2014, 62, 4020–4030. [Google Scholar] [CrossRef]
- Yu, X.J.; Tang, Q.; Liang, M.; Xin, H. Study of power efficiency of non-foster impedance matching for electrically small antenna. In Proceedings of the 2014 USNC-URSI Radio Science Meeting, Memphis, TN, USA, 6–11 July 2014. [Google Scholar]
- Mourad, M.; Essaaidi, M. A dual ultra wide band slotted antenna for C and X-band application. Prog. Electromagn. Res. Lett. 2014, 47, 91–96. [Google Scholar]
- Yadav, A.; Singh, V.K.; Mohan, H. Design of a U-shaped circularly polarized wearable antenna with DGS on a fabric substrate for WLAN and C-band applications. J. Comput. Electron. 2019, 18, 1103–1109. [Google Scholar] [CrossRef]
- Ansari, J.A.; Verma, S.; Verma, M.K.; Agrawal, N. Novel Wide Band Microstrip-Line-Fed Antenna with Defected Ground for CP Operation. Prog. Electromagn. Res. C 2015, 58, 169–181. [Google Scholar] [CrossRef]
- Jain, A.K.; Kanaujia, B.K.; Dwari, S.; Pandey, G.P.; Singh, D.K. Wideband circularly polarized magnetoelectric dipole antenna with I-slot for C-band applications. J. Comput. Electron. 2019, 18, 660–670. [Google Scholar] [CrossRef]
- Wu, C.-M.; Syu, J.-W.; Liu, W.-C. Dual-band slotted patch antenna with defective ground forWLAN/WiMAX applications. Prog. Electromagn. Res. Lett. 2015, 53, 1–6. [Google Scholar] [CrossRef][Green Version]
- Agneessens, S.; Rogier, H. Compact Half Diamond Dual-Band Textile HMSIW On-Body Antenna. IEEE Trans. Antennas Propag. 2014, 62, 2374–2381. [Google Scholar] [CrossRef]
- Azeez, H.I.; Yang, H.C.; Chen, W.S. Wearable Triband E-Shaped Dipole Antenna with Low SAR for IoT Applications. Electronics 2019, 8, 665. [Google Scholar] [CrossRef]
- Singh, V.K.; Dhupkariya, S.; Bangari, N. Wearable Ultra Wide Dual Band Flexible Textile Antenna for WiMax/WLAN Application. Int. J. Wirel. Pers. Commun. 2017, 95, 1075–1086. [Google Scholar] [CrossRef]
- Chaihongsa, W.; Phongcharoenpanich, C. Performance of Textile Antenna using Two Layers of Strip Line and Round-off Circular Patch. In Proceedings of the IEEE Conference on Antenna Measurements & Applications (CAMA), Chiang Mai, Thailand, 30 November–2 December 2015; pp. 1–3. [Google Scholar]
- Mersani, A.; Osman, L. Design of Dual-band Textile Antenna for 2.45/5.8-GHz Wireless Applications. In Proceedings of the IEEE International Conference on Multimedia Computing and Systems (ICMCS), Marrakech, Morocco, 29 September–1 October 2016; pp. 397–399. [Google Scholar]
- Verma, M.K.; Kanaujia, B.K.; Saini, J.P.; Saini, P. A novel circularly polarized gap-coupled wideband antenna with DGS for X/Ku-band applications. Electromagnetics 2018, 39, 186–197. [Google Scholar] [CrossRef]
- Sankaralingam, S.; Gupta, B. Determination of Dielectric Constant of Fabric Materials and Their Use as Substrates for Design and Development of Antennas for Wearable Applications. IEEE Trans. Instrum. Meas. 2010, 59, 3122–3130. [Google Scholar] [CrossRef]

















| S. No. | Parameter | Value (mm) |
| 1 | W | 25 |
| 2 | L | 25 |
| 3 | Wf | 2.5 |
| 4 | Lf | 8.8 |
| 5 | G | 0.8 |
| 6 | Wf1 | 1.5 |
| 7 | Wf2 | 0.8 |
| 8 | lf1 | 11 |
| 9 | lf2 | 7.2 |
| 10 | lf3 | 4 |
| 11 | lf4 | 4 |
| 12 | Wf3 | 0.8 |
| 13 | L1 | 11.5 |
| 14 | L2 | 6 |
| 15 | Ls | 17 |
| 16 | Lg | 8 |
| 17 | Ws | 23 |
| 18 | L6 | 1 |
| 19 | H | 1 |
| 20 | εr | 1.7 |
| 21 | Loss tangent | 0.025 |
| S. No. | Frequency (GHz) | Simulated Gain (dBi) Free Space | Measured Gain (dBi) Free Space | Measured Gain (dBi) On Body |
|---|---|---|---|---|
| 1 | 5.2 | 4.18 | 3.89 | 2.80 |
| 2 | 6.0 | 3.58 | 3.18 | 2.85 |
| 3 | 11.8 | 4.62 | 4.24 | 3.1 |
| 4 | 12.2 | 4.28 | 4.21 | 3.3 |
| Tissue | Permittivity (εr) | Conductivity (S/m) | Loss Tangent | Density (kg/m3) | Thickness (mm) |
|---|---|---|---|---|---|
| Skin | 42 | 1.5618 | 0.2725 | 1109 | 2 |
| Fat | 5.2853 | 0.10235 | 0.1450 | 911 | 4 |
| Muscle | 52.791 | 1.705 | 0.24191 | 1090 | 10 |
| Frequency (GHz) | Source Power(mW) | ||||
|---|---|---|---|---|---|
| 25 | 50 | 75 | 100 | 250 | |
| 5.2 | 0.4335 | 0.9539 | 1.4567 | 1.8418 | 4.025 |
| 5.5 | 0.5116 | 1.032 | 1.5348 | 1.9191 | 5.015 |
| S. No. | References | Substrate | Frequency Range (GHz) | Size (mm) | Impedance Band Width | Axial Ratio Band Width | Peak Gain (Free Space) | SAR (W/kg) |
|---|---|---|---|---|---|---|---|---|
| % | % | dBi | ||||||
| 1 | Ref [18] | Jeans | 3.01–5.03 | 40 × 40 × 1 | 46 | – | 5.6 | – |
| (1.7) | 8.12–12.35 | 41 | ||||||
| 2 | Ref [19] | Felt fabric | 2.16–2.63 | 26 × 47 × 1 | 19 | – | 3.2 | – |
| (εr = 1.90) | 4.45–5.90 | 28 | ||||||
| 3 | Ref [20] | Jeans cotton | 2.25–2.75 | 29 × 24 × 2.84 | 19.60 | – | 2.61 | – |
| (εr = 1.67) | 4.3–6.8 | 45.05 | ||||||
| 4 | Ref [21] | FR-4 | 8.46–15.26 | 21.5 × 21.5 × 1.59 | 57.33 | 28.64 | 4.08 | – |
| (εr = 4.4) | ||||||||
| 5 | Proposed | Jeans | 3.4–4.3 | 25 × 25 × 1 | 23.37 | 25.49 | 4.85 | 1.84 at 5.2 GHz and 1.91 at 5.5 GHz |
| (εr = 1.7) | 4.7–8.4 | 56.48 | ||||||
| 10.3–14.1 | 31.14 |
© 2020 by the authors. Licensee MDPI, Basel, Switzerland. This article is an open access article distributed under the terms and conditions of the Creative Commons Attribution (CC BY) license (http://creativecommons.org/licenses/by/4.0/).
Share and Cite
Yadav, A.; Singh, V.K.; Yadav, P.; Beliya, A.K.; Bhoi, A.K.; Barsocchi, P. Design of Circularly Polarized Triple-Band Wearable Textile Antenna with Safe Low SAR for Human Health. Electronics 2020, 9, 1366. https://doi.org/10.3390/electronics9091366
Yadav A, Singh VK, Yadav P, Beliya AK, Bhoi AK, Barsocchi P. Design of Circularly Polarized Triple-Band Wearable Textile Antenna with Safe Low SAR for Human Health. Electronics. 2020; 9(9):1366. https://doi.org/10.3390/electronics9091366
Chicago/Turabian StyleYadav, Ashok, Vinod Kumar Singh, Pranay Yadav, Amit Kumar Beliya, Akash Kumar Bhoi, and Paolo Barsocchi. 2020. "Design of Circularly Polarized Triple-Band Wearable Textile Antenna with Safe Low SAR for Human Health" Electronics 9, no. 9: 1366. https://doi.org/10.3390/electronics9091366
APA StyleYadav, A., Singh, V. K., Yadav, P., Beliya, A. K., Bhoi, A. K., & Barsocchi, P. (2020). Design of Circularly Polarized Triple-Band Wearable Textile Antenna with Safe Low SAR for Human Health. Electronics, 9(9), 1366. https://doi.org/10.3390/electronics9091366

