Efficient Isolation of an MIMO Antenna Using Defected Ground Structure
Abstract
1. Introduction
2. Design of the DGS in a MIMO Antenna
3. Simulation and Analysis of DGS
3.1. Discussion of Different Location of One Zigzag Groove Unit
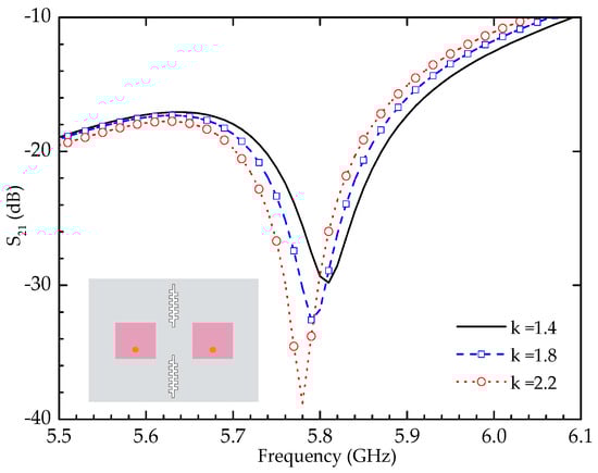
3.2. Further Study of DGS
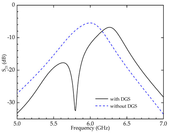
3.3. Effect of the DGS
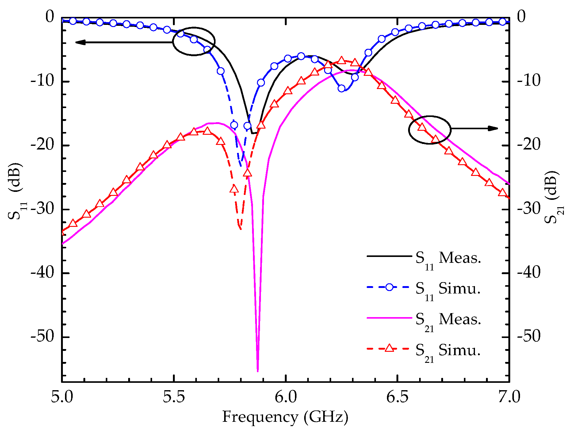
4. Measurement Results and Discussion
5. Conclusions
Author Contributions
Funding
Conflicts of Interest
References
- Iram, N.; Choi, D.-Y. Study on mutual coupling reduction technique for MIMO antennas. IEEE Access 2018, 7, 563–586. [Google Scholar]
- Adnan, A.; Rezaul, A.; Alam, M.-M.; Islam, M.-T. A low-profile wideband antenna for WWAN/LTE applications. Electronics 2020, 9, 393. [Google Scholar]
- Sun, Y.; Liu, S.; Zhao, W.-M.; Cheng, Y.-X.; Lv, M.-M. Defected ground structure suppressing microstrip antenna array mutual coupling. Inf. Res. 2017, 43, 39–41+44. [Google Scholar]
- Habashi, A.; Nourinia, J.; Ghobadi, C. Mutual coupling reduction between very closely spaced patch antennas using low-profile folded split-ring resonators (FSRRs). IEEE Antennas Wirel. Propag. Lett. 2011, 10, 862–865. [Google Scholar] [CrossRef]
- Deng, J.; Li, J.; Zhao, L.; Guo, L. A dual-band inverted-F MIMO antenna with enhanced isolation for WLAN applications. IEEE Antennas Wirel. Propag. Lett. 2017, 16, 2270–2273. [Google Scholar] [CrossRef]
- Zhang, S.; Pedersen, G. Mutual coupling reduction for UWB MIMO antennas with a wideband neutralization line. IEEE Antennas Wirel. Propag. Lett. 2016, 15, 166–169. [Google Scholar] [CrossRef]
- Femina, B.-S.; Mishra, S.-K. Compact WLAN band-notched printed ultrawideband MIMO antenna with polarization diversity. Prog. Electromagn. Res. 2016, 61, 149–159. [Google Scholar] [CrossRef]
- Li, M.; Jiang, L.-J.; Kwan, L.-Y. Novel and efficient parasitic decoupling network for closely coupled antennas. IEEE Trans. Antennas Propag. 2019, 67, 3574–3585. [Google Scholar] [CrossRef]
- Ding, K.; Gao, C.; Qu, D.; Yin, Q. Compact broadband MIMO antenna with parasitic strip. IEEE Antennas Wirel. Propag. Lett. 2017, 16, 2349–2353. [Google Scholar] [CrossRef]
- Amjad, I.; Abdul, B.; Amor, S.; Mallat, N.K.; Elfergani, I.; Rodriguez, J.; Kim, S. Electromagnetic bandgap backed millimeter-wave MIMO antenna for wearable applications. IEEE Access 2019, 7, 111135–111144. [Google Scholar]
- Jabire, A.-H.; Zheng, H.-X.; Abdu, A.; Song, Z.-W. Characteristic mode analysis and design of wide band MIMO antenna consisting of metamaterial unit cell. Electronics 2019, 8, 68. [Google Scholar] [CrossRef]
- Lee, J.-Y.; Kim, S.-H.; Jang, J.-H. Reduction of mutual coupling in planar multiple antenna by using 1-D EBG and SRR structures. IEEE Trans. Antennas Propag. 2015, 63, 4194–4198. [Google Scholar] [CrossRef]
- Anitha, R.; Sarin, V.P.; Mohanan, P.; Vasudevan, K. A four-port MIMO antenna using concentric square-ring patches loaded with CSRR for high isolation. IEEE Antennas Wirel. Propag. Lett. 2015, 15, 1196–1199. [Google Scholar]
- Fritz-Andrade, E.; Perez-Miguel, A.; Gomez-Villanueva, R.; Jardon-Aguilar, H. Characteristic mode analysis applied to reduce the mutual coupling of a four-element patch MIMO antenna using a defected ground structure. IET Micro. Antenna Propag. 2020, 14, 215–226. [Google Scholar] [CrossRef]
- Mahnoor, K.; Syeda Iffat, N.; Niamat, H.; Rahman, M.; Fawad; Mirjavadi, S.S.; Khan, M.J.; Amin, Y. 4-port MIMO antenna with defected ground structure for 5G millimeter wave applications. Electronics 2020, 9, 71. [Google Scholar]
- Liu, Y.; Yang, X.; Jia, Y.; Guo, Y.J. A low correlation and mutual coupling MIMO antenna. IEEE Access 2019, 7, 127384–127392. [Google Scholar] [CrossRef]
- Ibrahim, A.-A.; Abdalla, M.-A. Compact MIMO antenna with optimized mutual coupling reduction using DGS. Int. J. Micro. Wirel. Technol. 2014, 6, 173–180. [Google Scholar] [CrossRef]
- Syeda, F.-J.; Akram, A. Millimetre-wave T-shaped MIMO antenna with defected ground structures for 5G cellular networks. IET Microw. Antennas Propag. 2018, 12, 672–677. [Google Scholar]
- Yu, Y.; Yi, L.; Liu, X. Dual-frequency two-element antenna array with suppressed mutual coupling. Int. J. Antennas Propag. 2015, 2014, 1–6. [Google Scholar] [CrossRef]
- Rifaqat, H.; Muhammad, U.-K.; Sharawi, M.S. An integrated dual MIMO antenna system with dual-function GND-plane frequency-agile antenna. IEEE Antennas Wirel. Propag. Lett. 2018, 17, 142–145. [Google Scholar]
- Zhao, X.-W.; Riaz, S. A dual-band frequency reconfigurable MIMO patch-slot antenna based on reconfigurable microstrip feedline. IEEE Access 2018, 6, 41450–41457. [Google Scholar] [CrossRef]
- Salehi, M.; Motevasselian, A.; Tavakoli, A.; Heidari, T. Mutual coupling reduction of microstrip antennas using defected ground structure. In Proceedings of the 2006 10th IEEE Singapore International Conference on Communication Systems, Singapore, 30 October–1 November 2006; pp. 1–5. [Google Scholar]
- Bait-Suwailam, M.M.; Siddiqui, O.F.; Ramahi, O.M. Mutual coupling reduction between microstrip patch antennas using slotted-complementary split-ring resonators. IEEE Antennas Wirel. Propag. Lett. 2010, 9, 876–878. [Google Scholar] [CrossRef]
- Habib, U.; Saeed Ur, R.; Cao, Q.; Khan, I.; Ullah, H. Design of SWB MIMO antenna with extremely wideband isolation. Electronics 2020, 9, 194. [Google Scholar]

















| Dimension | Size (mm) | Dimension | Size (mm) |
|---|---|---|---|
| L | 45 | k | 1.8 |
| W | 55.6 | L2 | 16.85 |
| h | 1.524 | W2 | 0.5 |
| L1 | 12.48 | a | 1.29 |
| W1 | 13 | b | 0.7 |
| G | 2.2 | c | 2.29 |
| t | 2.6 | - | - |
| Reference | Working Frequency | The Reduction of Mutual Coupling | Distance of Edge-to-Edge | Design Complexity |
|---|---|---|---|---|
| [3] | 5.8 | 26.8 | 0.25 λ0 | moderate |
| [4] | 5.2 | 30 | 0.039 λ0 | moderate |
| [16] | 4.9 | 22 | 0.36 λ0 | high |
| [17] | 5.8 | 13 | 0.058 λ0 | low |
| [18] | 31.3 | 22 | 0.21 λ0 | moderate |
| This paper | 5.8 | 28.8 | 0.0502 λ0 | low |
© 2020 by the authors. Licensee MDPI, Basel, Switzerland. This article is an open access article distributed under the terms and conditions of the Creative Commons Attribution (CC BY) license (http://creativecommons.org/licenses/by/4.0/).
Share and Cite
Xing, H.; Wang, X.; Gao, Z.; An, X.; Zheng, H.-x.; Wang, M.; Li, E. Efficient Isolation of an MIMO Antenna Using Defected Ground Structure. Electronics 2020, 9, 1265. https://doi.org/10.3390/electronics9081265
Xing H, Wang X, Gao Z, An X, Zheng H-x, Wang M, Li E. Efficient Isolation of an MIMO Antenna Using Defected Ground Structure. Electronics. 2020; 9(8):1265. https://doi.org/10.3390/electronics9081265
Chicago/Turabian StyleXing, Haoran, Xinyan Wang, Zhenbin Gao, Xing An, Hong-xing Zheng, Mengjun Wang, and Erping Li. 2020. "Efficient Isolation of an MIMO Antenna Using Defected Ground Structure" Electronics 9, no. 8: 1265. https://doi.org/10.3390/electronics9081265
APA StyleXing, H., Wang, X., Gao, Z., An, X., Zheng, H.-x., Wang, M., & Li, E. (2020). Efficient Isolation of an MIMO Antenna Using Defected Ground Structure. Electronics, 9(8), 1265. https://doi.org/10.3390/electronics9081265

