Two-Step Multiuser Equalization for Hybrid mmWave Massive MIMO GFDM Systems
Abstract
1. Introduction
1.1. Previous Works on Hybrid Architectures
1.2. Previous Works on GFDM
1.3. Contributions
- The use of GFDM, which deals with multi-path effects as the OFDM scheme, but the OOB emissions and PAPR issues are decreased.
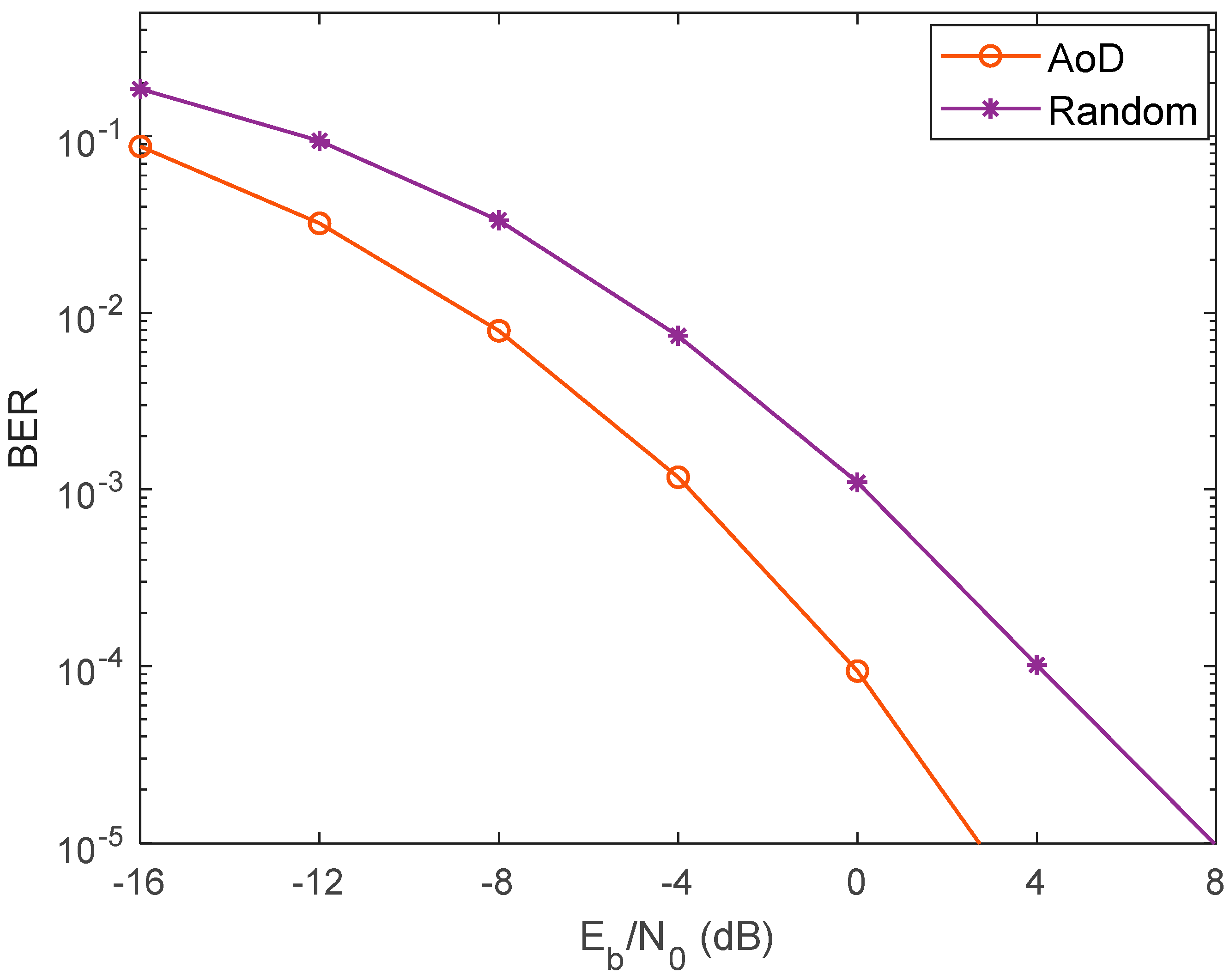
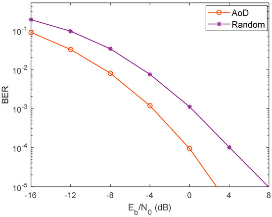
- The use of low-complexity UTs, employing a phase shifter network to perform the analog precoding. Two types of analog precoders are used based on the levels of CSI knowledge at the UTs: random and AoD-based precoders.
- The use of hybrid analog-digital receiver structure, because to have one dedicated RF chain per antenna would be impractical owing to hardware costs and power consumption.
- It is assumed that the analog coefficients are constant over the subcarriers owing to hardware constraints, because, if the analog equalizer is designed as a frequency selective filter, additional hardware would be needed. This assumption is followed by most of the previous works on hybrid beamforming [23,24,25].
- The analog coefficients are derived by minimizing the MSE between the hybrid approach and the full digital counterpart. They are computed by selecting a set of vectors from a dictionary based on array response vectors of channel.
- The ZF criterion is considered at the digital part on a per subcarrier basis to remove the interference not mitigated on the analog part.
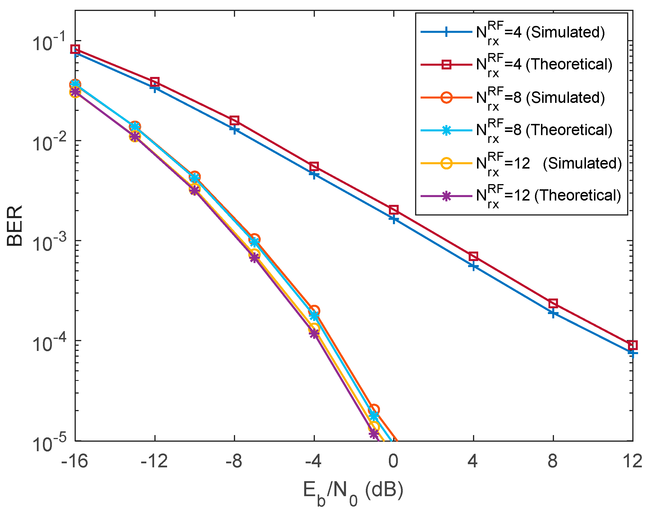
- A semi-analytical, yet accurate approach for obtaining the performance of the proposed hybrid GFDM system is also proposed.
1.4. Notations
2. System Model
- is the path loss (PL) between the UTs and the BSs;
- is the complex path gain at the ray of the scattering cluster;
- is the pulse shaping filter function, where ,, and are the sampling interval, the time delay of scattering cluster, and the relative time delay, respectively;
- denotes the normalized transmitting array response vector with the AoD and the relative angle of departure at the ray of the scattering cluster;
- denotes the normalized receiving array response vector with the angle of arrival (AoA) and the relative angle of arrival at the ray of the scattering cluster.
3. Transmitter Design
3.1. Transmitter Model
3.2. No CSI-Based Precoder
3.3. Partial CSI-Based Precoder
4. Receiver Design
4.1. Receiver Model
4.2. Semi-Analytical Performance Approximation
4.3. Hybrid Analog-Digital Equalizer
4.3.1. Optimization Problem
4.3.2. Analog Part of the Hybrid Equalizer
| Algorithm 1 Analog Equalizer |
| 1: |
| 2: |
| 3: |
| 4: |
| 5: |
| 6: |
| 7: |
| 8: |
| 9: end for |
| 10: |
4.3.3. Digital Part of the Hybrid Equalizer
4.3.4. Complexity Computation
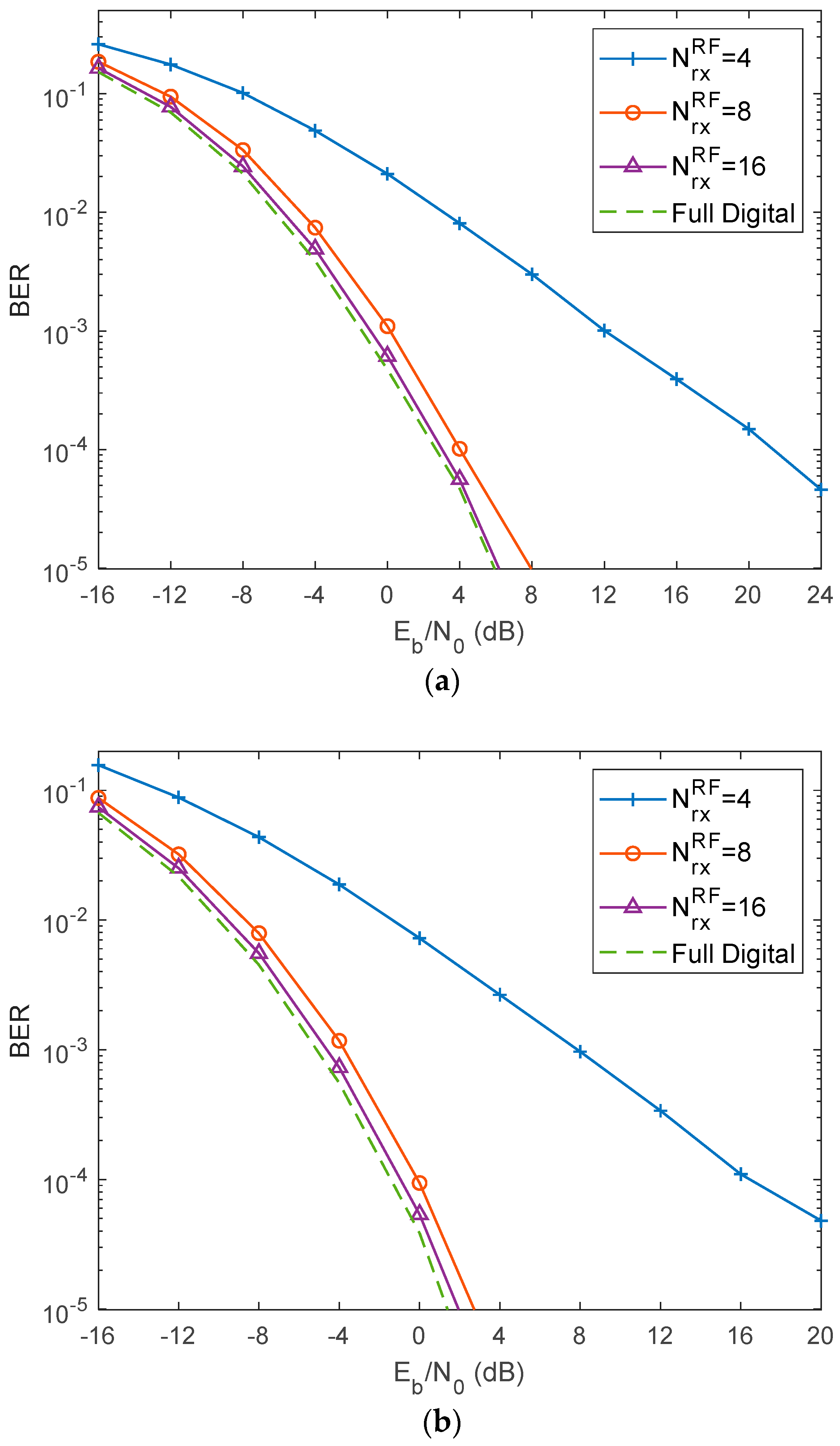
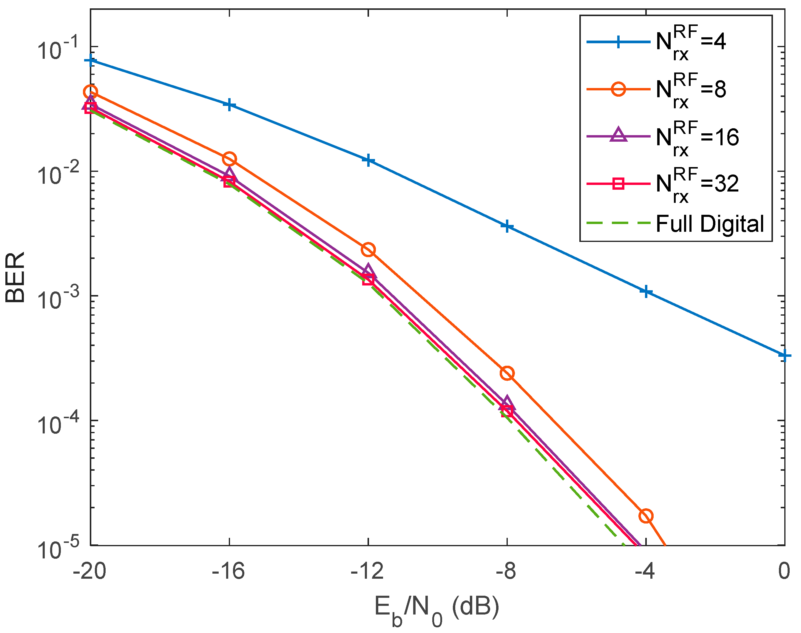
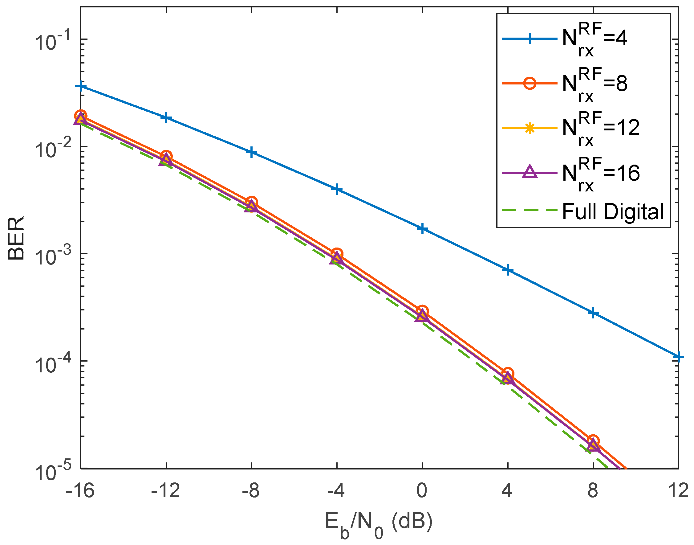
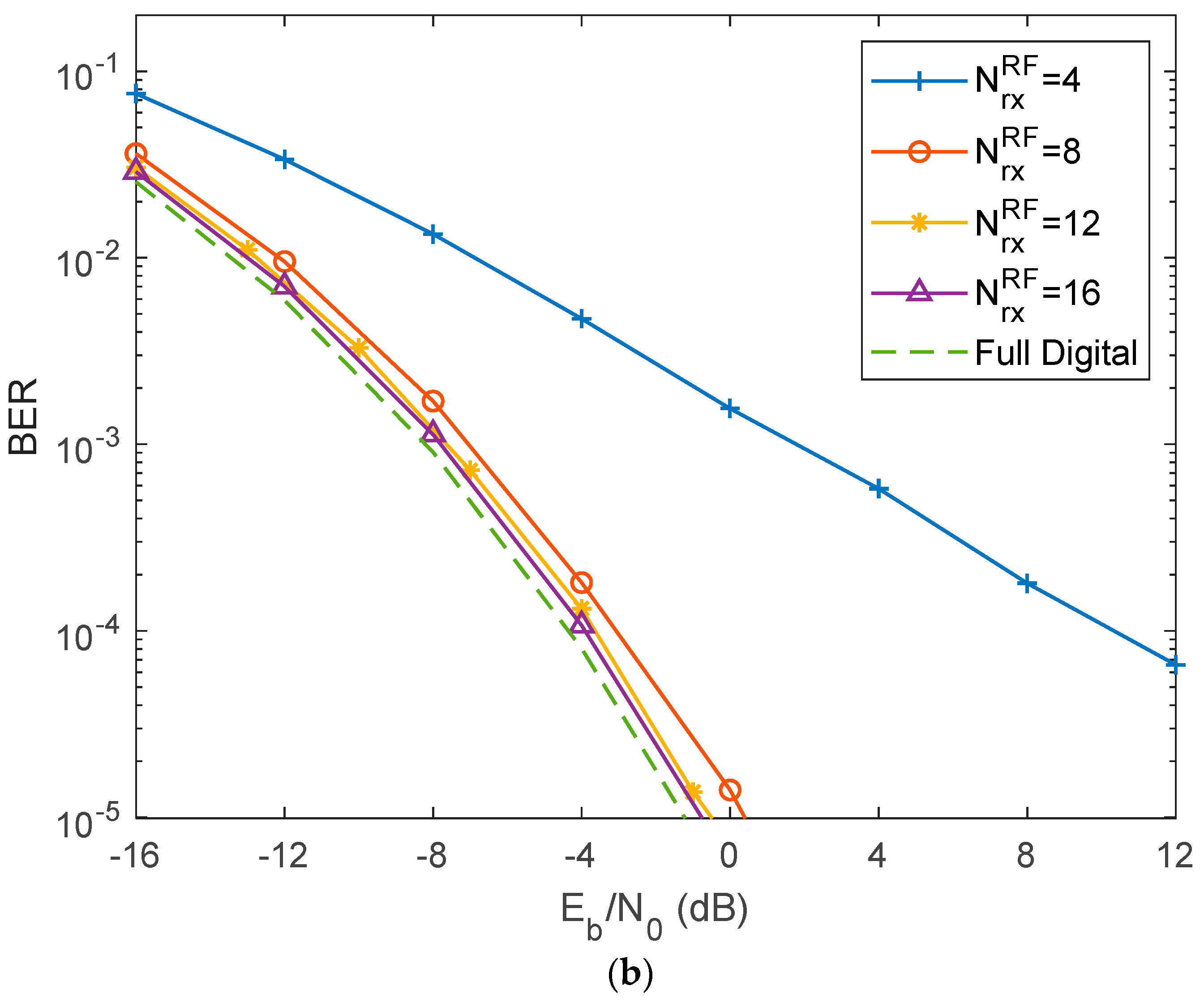
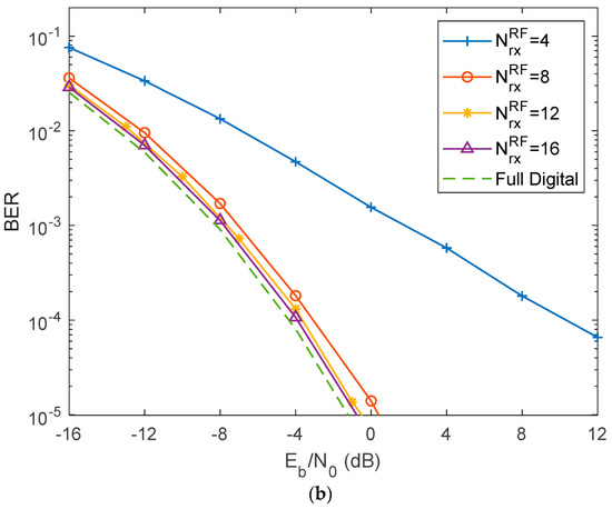
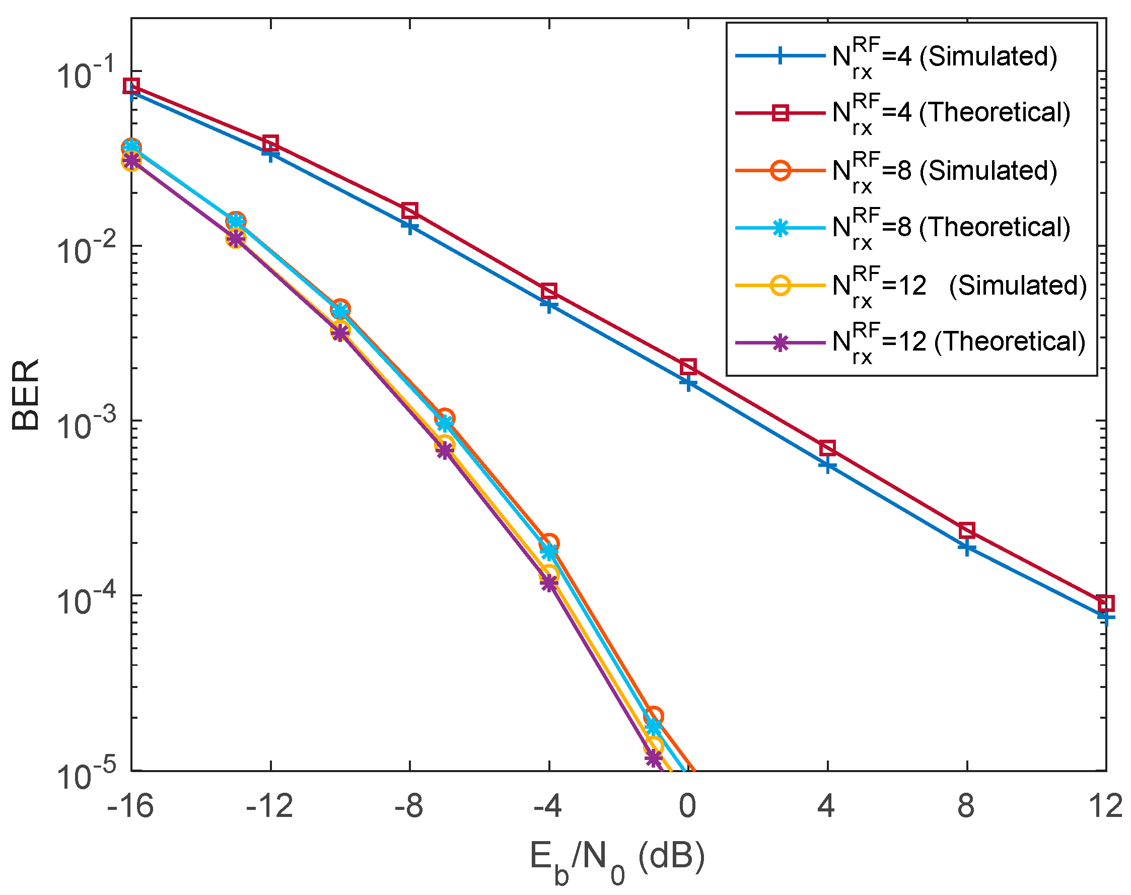
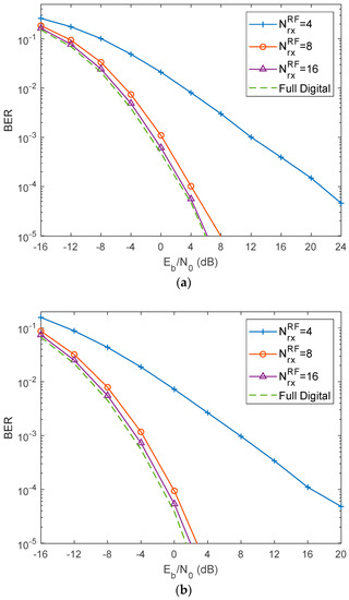
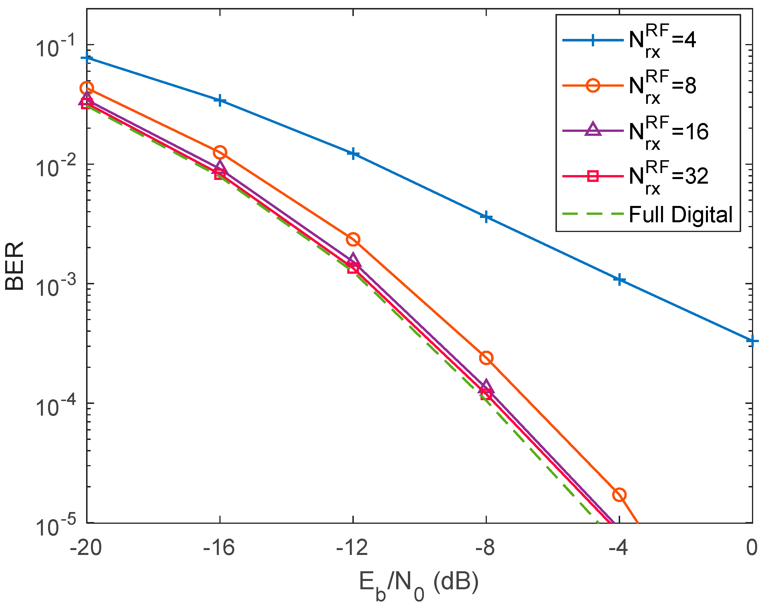
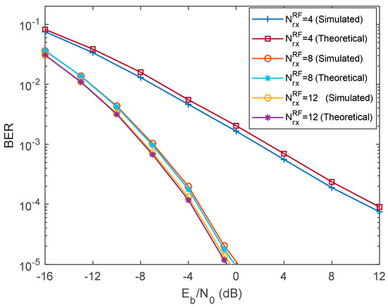
5. Performance Results
6. Conclusions
Author Contributions
Funding
Conflicts of Interest
Appendix A. Simplification from Equations (25) to (27)
References
- Yang, P.; Xiao, Y.; Xiao, M.; Li, S. 6G Wireless Communications: Vision and Potential Techniques. IEEE Netw. 2019, 33, 70–75. [Google Scholar] [CrossRef]
- Gao, Z.; Dai, L.; Mi, D.; Wang, Z.; Imran, M.A.; Shakir, M.Z. MmWave massive-MIMO-based wireless backhaul for the 5G ultra-dense network. IEEE Wirel. Commun. 2015, 22, 13–21. [Google Scholar] [CrossRef]
- Vu, T.K.; Liu, C.; Bennis, M.; Debbah, M.; Latva-aho, M.; Hong, C.S. Ultra-Reliable and Low Latency Communication in mmWave-Enabled Massive MIMO Networks. IEEE Commun. Lett. 2017, 21, 2041–2044. [Google Scholar] [CrossRef]
- Pi, Z.; Khan, F. A millimeter-wave massive MIMO system for next generation mobile broadband. In Proceedings of the 46th Asilomar Conference on Signals, Systems and Computers (ASILOMAR), Pacific Grove, CA, USA, 4–7 November 2012; pp. 693–698. [Google Scholar]
- Rappaport, T.S.; MacCartney, G.R.; Samimi, M.K.; Sun, S. Wideband Millimeter-Wave Propagation Measurements and Channel Models for Future Wireless Communication System Design. IEEE Trans. Commun. 2015, 63, 3029–3056. [Google Scholar] [CrossRef]
- Abdullah, N.F.; Nordin, R.; Doufexi, A.; Nix, A.R. Effect of Beamforming on mmWave Systems in Various Realistic Environments. In Proceedings of the 2017 IEEE 85th Vehicular Technology Conference (VTC Spring), Sydney, NSW, Australia, 4–7 June 2017; pp. 1–5. [Google Scholar]
- He, H.; Wen, C.; Jin, S. Bayesian Optimal Data Detector for Hybrid mmWave MIMO-OFDM Systems With Low-Resolution ADCs. IEEE J. Sel. Top. Signal Process. 2018, 12, 469–483. [Google Scholar] [CrossRef]
- Swindlehurst, A.L.; Ayanoglu, E.; Heydari, P.; Capolino, F. Millimeter-wave massive MIMO: The next wireless revolution? IEEE Commun. Mag. 2014, 52, 56–62. [Google Scholar] [CrossRef]
- Rappaport, T.S.; Shu, S.; Heath, R.W.; Nix, A.; Rangan, S. Millimeter Wave Wireless Communications; Prentice-Hall: Englewood Cliffs, NJ, USA, 2014. [Google Scholar]
- Heath, R.W.; Gonzlez-Prelcic, N.; Rangan, S.; Roh, W.; Sayeed, A.M. An overview of signal processing techniques for millimeter wave MIMO systems. IEEE J. Sel. Top. Signal Process. 2016, 10, 436–453. [Google Scholar] [CrossRef]
- Li, H.; Li, M.; Liu, Q. Hybrid Beamforming With Dynamic Subarrays and Low-Resolution PSs for mmWave MU-MISO Systems. IEEE Trans. Commun. 2020, 68, 602–614. [Google Scholar] [CrossRef]
- Grami, A. Introduction to Digital Communications; Academic Press: Cambridge, MA, USA, 2015. [Google Scholar]
- Mohamad, M.; Nilsson, R.; Beek, J.V.D. An analysis of out-of-band emission and in-band interference for precoded and classical OFDM systems. In Proceedings of the 21th European Wireless Conference, Budapest, Hungary, 20–22 May 2015; pp. 1–5. [Google Scholar]
- Michailow, N.; Matthé, M.; Gaspar, I.; Caldevilla, A.; Mendes, L.; Festag, A.; Fettweis, G. Generalized frequency division multiplexing for 5th generation cellular networks (invited paper). IEEE Trans. Commun. 2014, 62, 3045–3061. [Google Scholar] [CrossRef]
- El Ayach, O.; Rajagopal, S.; Abu-Surra, S.; Pi, Z.; Heath, R.W., Jr. Spatially sparse precoding in millimeter wave MIMO systems. IEEE Trans. Wirel. Commun. 2014, 13, 1499–1513. [Google Scholar] [CrossRef]
- Li, J.; Xiao, L.; Xu, X.; Zhou, S. Robust and low complexity hybrid beamforming for uplink multiuser mmWave MIMO systems. IEEE Commun. Lett. 2016, 20, 1140–1143. [Google Scholar] [CrossRef]
- Wang, Z.; Li, M.; Tian, X.; Liu, Q. Iterative hybrid precoder and combiner design for mmWave multiuser MIMO systems. IEEE Commun. Lett. 2017, 21, 1581–1584. [Google Scholar] [CrossRef]
- Ahn, Y.; Kim, T.; Lee, C. A Beam Steering Based Hybrid Precoding for MU-MIMO mmWave Systems. IEEE Commun. Lett. 2017, 21, 2726–2729. [Google Scholar] [CrossRef]
- Payami, S.; Ghoraishi, M.; Dianati, M.; Sellathurai, M. Hybrid Beamforming with a Reduced Number of Phase Shifters for Massive MIMO Systems. IEEE Trans. Veh. Tech. 2018, 67, 4843–4851. [Google Scholar] [CrossRef]
- Alemaishat, S.; Saraereh, O.A.; Khan, I.; Affes, S.H.; Li, X.; Lee, J.W. An Efficient Precoding Scheme for Millimeter-Wave Massive MIMO Systems. Electronics 2019, 8, 927. [Google Scholar] [CrossRef]
- Mohammed, S.L.; Alsharif, M.H.; Gharghan, S.K.; Khan, I.; Albreem, M. Robust Hybrid Beamforming Scheme for Millimeter-Wave Massive-MIMO 5G Wireless Networks. Symmetry 2019, 11, 1424. [Google Scholar] [CrossRef]
- Kolawole, O.Y.; Biswas, S.; Singh, K.; Ratnarajah, T. Transceiver Design for Energy-Efficiency Maximization in mmWave MIMO IoT Networks. IEEE Trans. Green Commun. Netw. 2020, 4, 109–123. [Google Scholar] [CrossRef]
- Alkhateeb, A.; Heath, R.W. Frequency Selective Hybrid Precoding for Limited Feedback Millimeter Wave Systems. IEEE Trans. Commun. 2016, 64, 1801–1818. [Google Scholar] [CrossRef]
- Kong, L.; Han, S.; Yang, C. Hybrid precoding with rate and coverage constraints for wideband massive MIMO systems. IEEE Trans. Wirel. Commun. 2018, 17, 4634–4647. [Google Scholar] [CrossRef]
- Magueta, R.; Castanheira, D.; Pedrosa, P.; Silva, A.; Dinis, R.; Gameiro, A. Iterative Analog-Digital Multi-User Equalizer for Wideband Millimeter Wave Massive MIMO Systems. Sensors 2020, 20, 575. [Google Scholar] [CrossRef]
- Castanheira, D.; Teodoro, S.; Simões, R.; Silva, A.; Gameiro, A. Multi-User linear equalizer and precoder scheme for hybrid sub-connected wideband systems. Electronics 2019, 8, 436. [Google Scholar] [CrossRef]
- Magueta, R.; Castanheira, D.; Silva, A.; Dinis, R.; Gameiro, A. Hybrid multi-user equalizer for massive MIMO millimeter-wave dynamic subconnected architecture. IEEE Access 2019, 7, 79017–79029. [Google Scholar] [CrossRef]
- Sameen, M.; Khan, A.A.; Khan, I.U.; Azim, N.; Iqbal, N. Comparative analysis of OFDM and GFDM. Int. J. Adv. Comput. Tech. Appl. (IJACTA) 2016, 4, 267–274. [Google Scholar]
- Kumar, A.; Magarini, M. Improved nyquist pulse shaping filters for generalized frequency division multiplexing. In Proceedings of the 2016 8th IEEE Latin-American Conference on Communications (LATINCOM), New York, NY, USA, 15–17 November 2016; pp. 1–7. [Google Scholar]
- Mishra, M.; Aich, S.; Kim, H.-C.; Pradhan, P.M. A novel rampbased pulse shaping filter for reducing out of band emission in 5g gfdm system. In Proceedings of the TENCON 2018-2018 IEEE Region 10 Conference, Jeju, Korea, 28–31 October 2018; IEEE: New York, NY, USA, 2018; pp. 0096–0101. [Google Scholar]
- Kalsotra, S.; Kumar, A.; Joshi, H.D.; Singh, A.K.; Dev, K.; Magarini, M. Impact of Pulse Shaping Design on OOB Emission and Error Probability of GFDM. In Proceedings of the IEEE 2nd 5G World Forum (5GWF), Dresden, Germany, 30 September–2 October 2019; pp. 226–231. [Google Scholar]
- Sim, Z.A.; Juwono, F.H.; Reine, R.; Zang, Z.; Gopal, L. Performance of GFDM Systems Using Quadratic Programming Pulse Shaping Filter Design. IEEE Access 2020, 8, 37134–37146. [Google Scholar] [CrossRef]
- De Almeida, I.B.F.; Mendes, L.L. Linear GFDM: A Low Out-of-band Emission Configuration for 5G Air Interface. In Proceedings of the 2018 IEEE 5G World Forum (5GWF), Silicon Valley, CA, USA, 9–11 July 2018; pp. 311–316. [Google Scholar]
- Gaspar, I.; Michailow, N.; Navarro, A.; Ohlmer, E.; Krone, S.; Fettweis, G. Low Complexity GFDM Receiver Based on Sparse Frequency Domain Processing. In Proceedings of the 2013 IEEE 77th Vehicular Technology Conference (VTC Spring), Dresden, Germany, 2–5 June 2013; pp. 1–6. [Google Scholar]
- Palomar, D.; Jiang, Y. MIMO transceiver design via majorization theory. Found. Trends Commun. Inf. Theory 2007, 3, 331–551. [Google Scholar] [CrossRef]









| Parameters | Value | |
|---|---|---|
| Modulation type | GFDM | |
| Number of subcarriers | ||
| Number of timeslots | ||
| Oversampling factor | ||
| Samples per symbol | ||
| Number of users | ||
| Transmitting antennas | ||
| Receiving antennas | ||
| Channel model parameters | Array configuration | ULA |
| Time in samples where the channel rays has a significant power | ||
| Carrier frequency | ||
| Antenna element spacing | ||
| Number of clusters | ||
| Number of rays per cluster | ||
| Angle spread for the transmitter and receiver | ||
| Decay from the first to the last channel cluster | ||
| Decay from the first to the last ray of each channel cluster | , | |
© 2020 by the authors. Licensee MDPI, Basel, Switzerland. This article is an open access article distributed under the terms and conditions of the Creative Commons Attribution (CC BY) license (http://creativecommons.org/licenses/by/4.0/).
Share and Cite
Kassam, J.; Miri, M.; Magueta, R.; Castanheira, D.; Pedrosa, P.; Silva, A.; Dinis, R.; Gameiro, A. Two-Step Multiuser Equalization for Hybrid mmWave Massive MIMO GFDM Systems. Electronics 2020, 9, 1220. https://doi.org/10.3390/electronics9081220
Kassam J, Miri M, Magueta R, Castanheira D, Pedrosa P, Silva A, Dinis R, Gameiro A. Two-Step Multiuser Equalization for Hybrid mmWave Massive MIMO GFDM Systems. Electronics. 2020; 9(8):1220. https://doi.org/10.3390/electronics9081220
Chicago/Turabian StyleKassam, Joumana, Manar Miri, Roberto Magueta, Daniel Castanheira, Pedro Pedrosa, Adão Silva, Rui Dinis, and Atílio Gameiro. 2020. "Two-Step Multiuser Equalization for Hybrid mmWave Massive MIMO GFDM Systems" Electronics 9, no. 8: 1220. https://doi.org/10.3390/electronics9081220
APA StyleKassam, J., Miri, M., Magueta, R., Castanheira, D., Pedrosa, P., Silva, A., Dinis, R., & Gameiro, A. (2020). Two-Step Multiuser Equalization for Hybrid mmWave Massive MIMO GFDM Systems. Electronics, 9(8), 1220. https://doi.org/10.3390/electronics9081220

