Next Article in Journal
FALCON: Framework for Anomaly Detection in Industrial Control Systems
Next Article in Special Issue
Atmospheric Effects on OFDM Wireless Links Operating in the Millimeter Wave Regime
Previous Article in Journal
A Non-WSSUS Channel Simulator for V2X Communication Systems
Previous Article in Special Issue
QPSK MMW Wireless Communication System Based On p-i-n InGaAs Photomixer
 
 
Font Type:
Arial Georgia Verdana
Font Size:
Aa Aa Aa
Line Spacing:
Column Width:
Background:
Article

Innovative Reconfigurable Metasurface 2-D Beam-Steerable Reflector for 5G Wireless Communication

Department of Electrical and Electronic Engineering, Ariel University, Ariel 40700, Israel
*
Author to whom correspondence should be addressed.
Electronics 2020, 9(8), 1191; https://doi.org/10.3390/electronics9081191
Submission received: 23 June 2020 / Revised: 17 July 2020 / Accepted: 21 July 2020 / Published: 24 July 2020
(This article belongs to the Collection Millimeter and Terahertz Wireless Communications)

Abstract

A tunable reflector component based on metasurface (MS) with a low profile and reduced mass is offered for indoor and outdoor 5G communication methods to overcome obstacles such as buildings, walls, and turns, and to allow wireless quasi-line of sight path communication at 37 GHz. Integrating varactors with MS unit cells allows tunability and reconfigurability. This approach was presented in many studies, with frequencies of up to K–band. However, today, higher frequencies are used, especially in communication. This work presents the design of a reconfigurable MS reflector, at Ka-band frequencies, based on a new type of resonant unit cell, with uniformed reflection for wide-incident-angular-range, and a simple stimulating DC bias for each MS unit cell, which allows a two–dimensional (2-D) continuous reflection phase manipulation. The unit cell provides a dynamic reflection phase range of over 300° at a wide bandwidth. Simulations of one-dimensional (1-D) and (2-D) at 37 GHz are presented. A steering range of up to ±48° was obtained for azimuth or elevation. A simultaneous independent 2-D beam steering range of up to ±10° in azimuth and up to ± 5° in elevation, allowing obstacles to overcome covering at a practical angular spatial cone of 20° and 10°, is presented.

1. Introduction

The demand to increase data communication rates leads to an increase in used frequencies, as seen in the development of the fifth generation (5G) of cellular communications, which uses millimeter waves (MMW) (30–300 GHz) for indoor, short-range links, and outdoor point to point links. The nature of wave propagation in MMW radiation is approximately like the ray-tracing model. It is affected by atmospheric conditions, specular reflections and multi-path, and directivity of transmitters and receivers [1]. Implementing tuning reflectors for the 5G wireless communication allows a quasi-line of sight paths and improves the link. In outdoor communication, it requires bypassing obstacles such as buildings and other constructions in urban areas or mountains, and more, in non-urban areas [2,3,4]. In indoor communication, it requires tunable reflectors to bypass walls and turns [5].
In addition, the implementation of 5G cellular communication requires tracking the user’s location continuously and directing the MMW beam correctly. The tracking procedure is carried out nowadays using the existed 4G network. Knowing the exact user’s location enables the base station to find the best trajectory using tunable reflectors, between the base station and the user [6].
However, low-cost, low profiles, reduced masses, remote-controlled, and efficient solutions are required due to the network density and the number of components. A metasurface (MS) solution, which can be programmed remotely by the base station to bring the beam optimally to the user with low weight, low complexity, and low cost, is offered in this work.
Metasurfaces (MSs), and especially reconfigurable MSs, arouse great interest in science. There are many interdisciplinary applications where MSs play an important role [7]. For example, a millimeter-wave MS perfect absorber was designed to detect micro-poisons in drinking water [8], and a flat parabolic surface was used in W-band imaging and beam propagation [9]. These MSs are based on resonant unit cells and are limited to a narrow bandwidth around a fixed working frequency. Adding tunability to each unit cell enables a reconfigurable MS and expands the abilities and options of MS applications. Integrated electronic devices or tunable materials achieve the reconfigurability to the MS. For example, PIN switches, MEMS switches, liquid crystal or piezoelectric materials, and varactor diodes [10,11]. Using the switches, it becomes possible to connect and disconnect conductive elements on the unit cell, or between unit cells on the surface, thereby changing the electrical properties of the surface. Switches are conveniently integrated into standard PCB circuits. The PIN switch enables MS applications of up to 60 GHz [12], with fast switching time, high reliability, low cost, and low control voltage switches [10,13]. Recently, the MEMS switch arouses attention due to its small size and linearity, but it has a relatively slow switching time, compared to the pin switch [14]. The discrete nature of switches prevents their use in applications where a continuous phase change is required. Liquid crystal changes the dielectric coefficient of a unit cell by tens of percent and can be realized in the surface without any external element in the front. This method is more difficult to implement and can be used at K-band and above [15]. However, it has a slow response time compared to switches and varactors [16]. The piezoelectric method allows limited flexibility proportional to the change in its physical size, which is also its obvious drawback [11]. The varactor diodes allow continuous and high tuning ratio capacitance, constant Gamma for linear tuning, a convenient PCB assembly, and very low consuming power [17].
Reconfigurable MSs were implemented for various applications, such as: reconfigurable reflect arrays [10,18,19], reconfigurable antennae [20], leaky-wave antennae [21], tunable filters and absorbers [22], parabolic mirrors with a controlled focus [23], and tuning polarization rotators [24]. Reconfigurable MSs based on varactor diodes were realized at X-band and below [21,22,23,24,25,26,27,28]. For Ku-band frequencies, only simulation works have been published [29,30]. Adjusting the MS component by developing appropriate unit cells for the new, used frequencies is required.
However, manufacturing MS at higher frequencies bands such as K-band and Ka-band requires a decrease in unit cell dimensions. Thus, the varactor size becomes a significant part of the front MS area causing more absorption and diffusion. Design and consideration of a new reconfigurable MS reflector at K-band are presented and simulated. This MS reflector allows a simultaneous independent 2-D continuous steering ability of the reflection radiation and is suitable for indoor and outdoor 5G communication methods, to overcome obstacles such as buildings, walls, and turns. Using the continuous reflection phase method compared to the discrete reflection phase method, when using switches, allows avoiding beam steering quantization loss, of up to 3 dB [18]. To the best of our knowledge, such a 2-D continuous tunable MS for K-band frequencies has neither been demonstrated nor published. The paper is organized as follows. Section 2 describes the general resonant MS unit cell principles and parameters based on effective impedance surface model. Section 3 introduces the steering MS refractor mathematical method, based on the phased array theory. Section 4 describes the unit cell and MS design principles and considerations. Section 5 presents simulations results and analyzes the unit cell reflection and the dynamic reflection phase range. Section 6 presents the reconfigurable MS reflector steering simulations results in 1-D and 2-D. Section 7 concludes this paper.

2. Effective Impedance Surface Model of Unit Cells Array

Reflective MSs are based on resonance unit cells, which are smaller than the working radiation wavelength. A basic equivalent unit cell circuit is a parallel resonance circuit. When the unit cells are arranged in a 2-D periodic form, the MSs are characterized by effective impedance surface [25] and are shown in Equation (1):
Z s = j ω L 1 ω 2 L C
where L is the inductance and C is the total capacitance of each unit cell. The values of C and L are determined by the unit cell geometry, materials, varactor parameters, and PCB properties. The parallel resonance frequency fres of the circuit model is shown in Equation (2)
f r e s = 1 2 π L C
The bandwidth of the resonance frequency [31] is shown in Equation (3)
B W = 1 / ( R C ω 0 ) = ( L ω 0 ) / R L / C
where R is the dissipation resistive part of the unit cell. This kind of surface is also known as High Impedance Surface (HIS) [32] or Perfect Magnetic Conductor (PMC) [33]. For a resonance frequency, this surface reflects incident radiation at 0° phase in contrast to a normal metal surface, which reflects the radiation at 180° phase. The reflection phase changes around fres. Far below the fres, the surface reflects with a phase shift of 180°, like a metal surface, and approaches −180° for frequencies far above resonance, when for a wide BW, the change moderates and vice versa. Varactor diodes inserted into the unit cell provide variable capacitance Cd to enable tunability [25,26,27,28,29,30]. The unit cell reflection phase value around the resonance frequency changes significantly. Thus, changing the fres around the working frequency changes the reflection phase.
Controlling the phase of each unit cell in the surface allows the design of spatial phase distribution, which leads to steer reflection radiation to the desired angle [25]. This approach is well known in the literature, as mentioned above, but MS-based varactor diodes are demonstrated only in Ku-band and below. However, MS realization at higher frequency bands such as K-band and Ka-band requires decreasing product LC in Equation (2) to achieve higher fres. In the MS resonant unit cell, surface area size is proportional to intrinsic capacitance Cint, and thickness is proportional to intrinsic inductance Lint [34]. Considering Cd as a method of tuning, C = Cint + Cd, and L = Lint in Equations (2) and (3). Reducing unit cell dimensions leads to production difficulty and challenge. The reduction in L in the LC product in Equation (2) is limited since it decreases bandwidth and increases the sensitivity to phase errors according to Equation (3). In addition, since the Q factor is Q = 1/BW and total absorption is R × Q [34], decreasing C in Equation (2) reduces Q factor value, which reduces unit cell absorption. Thus, in decreasing product LC, the emphasis is C reduction, which requires careful design since it is accompanied by reducing the unit cell area. Thus, the varactor size becomes a significant part of the front MS area, causing more absorption and diffusion. The proposed simple, inexpensive, and innovative unit cell has a low intrinsic capacitance Cint, which, along with using a small-size varactor with the lowest capacitance available on the market today [17], enables MS realization for Ka-band with reasonable dimensions, allowing conventional PCB manufacturing and varactor assembly.

3. Mathematical Method of Steering MS Refractor

According to the phased array theory, each unit cell location on the MS is defined at its center [35]. A 2-D surface on XY plane with spatial array arrangement of a fixed distance and a 90° angle between the unit cells is defined as S (xj, yi), j = 1, 2, M and i = 1, 2, N when N and M are an integer leads to an array of N × M elements. The MS reflector side cross-section view scheme is described in Figure 1.
Figure 1 shows a reconfigurable MS reflector scheme. L1, L2, and LN are incident rays towards the surface. Due to a planned gradual phase provided by the unit cells MS reflector, the rays are reflected at the desired angle θ. The optical path difference (OPD) between the cells is defined as ΔL [9] and is shown in Equation (4)
Δ L = Δ X · sin ( θ )
where ΔX is the array constant. The conversion of OPD into phase difference is shown in Equation (5)
Δ φ x = 360 · Δ L / λ
A gradual accumulating phase by supplying a phase difference Δφx, between adjacent unit cells X(j) and X(j+1) in x ^ axis, yields to the desired steering angle θ in XZ plane. Using Equations (4) and (5), the connection between Δφx and Δx to the desired angle steering θ is shown in Equation (6)
θ = sin 1 ( λ · Δ φ x / 360 · Δ X )
For steering angle θ in the YZ plane, the same analysis in y ^ axis is valid using Δφy and Δy in Equations (4)–(6). A combination of independent steering in planes XZ and YZ results in 2-D steering ability. Those MS properties are frequency-sensitive, allowing us to steer the reflection direction of an incident beam in a limited frequency band.

4. Unit Cell and MS Reflector Design

The unit cell design and its equivalent circuit model are shown in Figure 2.
The front-side, backside, profile, and 3-D inside view of two adjacent unit cells are shown in Figure 2a–d, and the unit cell equivalent circuit model is shown in Figure 2e. The unit cell is composed of two similar dielectric substrates of Rogers Company, model RT/Duroid 5880 with εr = 2.2 [36], and three copper layers of 35-micrometer thickness. There are two vertical strips in the top layer, each connected to a pad, according to the varactor layout [17]. One of the vertical strips is the same length of the unit cell width—W. The second strip is shorter—SL—and is connected by the via to the circle pad in the lower copper layer, which functions as the DC bias layer. The middle copper layer is for metal ground purposes and separated by clearance from the via which crosses it (see Figure 2d). In a single unit cell, there is a small violation of the x ^ axis symmetry, resulting from the use of one via and the different strip lengths. The right unit cell on the x ^ axis is a mirror image of the left unit cell, such that symmetric array is obtained (see Figure 2a–d).
Cint is governed by the radiation electric field component’s interaction, with the unit cell strips edges. Cint is inversely proportional to the distance between the strip’s edges D [37], as described in Equation (7)
C int   [ F / m ] = π ε 0 ε r ln ( 4 ( S w + D ) / S w )
where SW is the strip width. The length P of the unit cell is larger than the width W and allows the strips to be positioned such that Do, and Di lead to low intrinsic capacitance (see Figure 2a). According to Equation (7), the calculated capacitances contributions of the strip’s edges are 0.0451 pF and 0.0503 pF for Di = 0.9 mm and Do = 0.6 mm, respectively, and sum up to Cint = 0.0954 pF. Thus, the capacitance and coupling between adjacent unit cells decrease. This geometry enables operation at Ka-band frequencies, with sufficient surface area for the varactor integration, preventing significant absorbing and diffusing. The reduction in Sw increases the distance between the strips and decreases Cint but also increases unit cell losses, and therefore is limited. Furthermore, it distorts the uniformity of the electric field distribution on the unit cell and decreases bandwidth [25].
MACOM varactor diode model MAVR–011020–1411 [17] is used in this MS, which provides extremely low capacitance. The varactor is placed between the strips (see Figure 2 in green), adding variable capacitance Cd to the unit cell. The dynamic range of the capacitance Cd is Cmax = 0.216 pF to Cmin = 0.032 pF for 0–15 V reverse bias voltage, respectively. The package capacitance is included in Cd and provides a capacitance ratio of 7 [17]. The MS reflector structure with the DC bias scheme is shown in Figure 3.
The MS structure and the simple DC bias method of this geometry, which reduces the complexity and absorption of the unit cell, are shown in Figure 3, where the red dashed rectangles mark the location of a specific two adjacent unit cell. The via and the clearance add losses to the unit cell and are a constraint due to the need to provide DC voltages for each varactor. The longer strip in each unit cell is connected to other unit cell’s longer strips throughout the column. These strips function as a common DC ground for the varactors in each column, without the need for an additional via in each unit cell. The shorter strip receives a separate DC voltage from the back of the surface using the via, allowing each MS unit cell to be independently configurable (see Figure 3). The phase reflection is independently manipulated in 2-D, compared to [25], in which the varactors are between the adjacent unit cells, and each unit cell receives only a DC ground or a specific DC voltage. Thus, a constraint is created for the capacitance value between each unit cell and the four unit cells around it. This limitation does not allow the reflection phase to be independently configurable in 2-D. This is an improvement of our previous experimental work, which demonstrated beam steering in 1-D at the working frequencies of 21–23.5 GHz [38]. In this work, a simultaneous and independent 2-D beam steering is presented at a higher working frequency of 37 GHz, for the incident polarization, which is shown in Figure 3a.
Considerations in selecting the materials and determining the unit cell’s parameters values are described as follows: the selected RT/Duroid 5880 dielectric substrate has a low εr = 2.2, which supports the need to reduce the Cint, according to Equation (7). The substrate thickness is proportional to L [34]. Thus, increasing the substrate thickness increases BW and vice versa, according to Equation (2). The losses are in accordance with the Q factor, which is inversely proportional to BW; thus, decreasing the substrate thickness leads to an increase in the acquired dynamic range and higher losses at the working frequency. For the presented unit cell geometry, two commercial dielectric substrate thicknesses of 0.127 and 0.381 mm were simulated. Low losses of 2.17 dB were obtained at the working frequency of 37 GHz for a substrate thickness of 0.381 mm, but with low dynamic phase range of only 256°. A high dynamic phase range of 323° was obtained at the working frequency of 37 GHz for a substrate thickness of 0.254 mm, but with a loss of 7.35 dB. Optimization was performed for a substrate thickness of 0.254 mm, to achieve the targets of a loss lower than 5 dB and a dynamic phase range higher than 300°, at the working frequency of 37. Using 3-D electromagnetic simulation software, CST [39], the unit cell parameters of the simulations were swept with emphasis on W and Sw. The final optimized parameters, which are in accordance with the design principles, and suitable to standard PCB manufacturing, are summarized in Table 1.

5. Simulations Results and Analysis of Unit Cell Reflection and Dynamic Phase Range

The proposed MS reflector was simulated using the TEM Floquet port with CST simulation software [39]. The reflection simulation of a unit cell as an infinite array for the normal incident corresponds to the polarization described in Figure 2a, as shown in Figure 4.
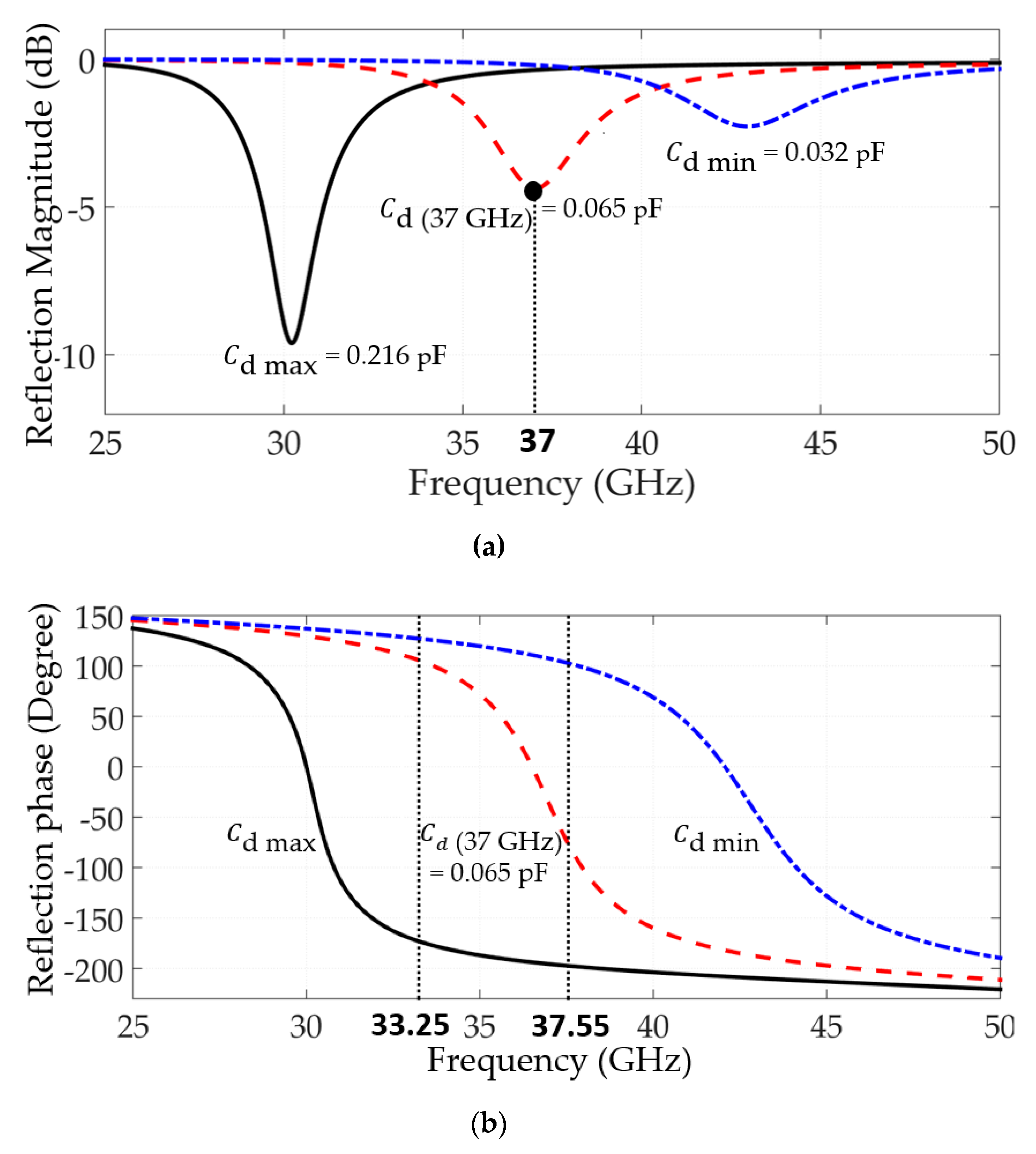
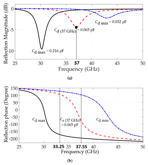
The simulation results of the unit cell magnitude and phase reflection are shown in Figure 4 as a function of frequency, for the following three capacitance values: Cd min = 0.032 pF, Cd max = 0.216 pF and Cd (37 GHz) = 0.065 pF, which is the varactor capacitance value that leads to the unit cell resonance frequency at 37 GHz. The unit cell resonance frequency is electronically changed from 30.3 to 43.1 GHz. It provides a dynamic reflection phase range of up to 303° and over 300° in wide bandwidth of over 4 GHz, marked between the dashed black crossers at 33.25 and 37.55 GHz, as shown in Figure 4b.
The unit cell equivalent circuit model with all the inherent parameters is shown in Figure 2e [7]. The total unit cell resistance R influences only the absorption losses intensity and is composed of Rdiel from dielectric losses, Rohm from ohmic losses, Rs from varactor serial resistance, and another resistance component Rp from inaccuracies and parasitics in production. While Rdiel and Rohm are well defined and quantified in CST simulation, the Rs value is unknown, and the Rp value depends on the production quality and not on unit cell inherent properties. Based on similar studies [40,41], and an accurate qualitative production assumption, the equivalent value of Rs and Rp in the simulations was determined as 4 Ω.
In this study, careful design and analysis are required due to very small capacities in this unit cell, mainly around Cd = Cmin. The varactor physical presence and its contact with the pads (see Figure 2) add parasitic capacitance to the unit cell and should be taken into consideration due to the low Cint and Cd in this realization. We define it as the second-order parasitic capacitance C2ndp. This value is influenced by the varactor environment and the varactor effective dielectric constant εeff, which depends on the varactor material. C2ndp is modeled in CST simulation as a rectangular dielectric slab of the varactor size with estimated value off εeff, as shown in green in Figure 2a–d. The dielectric values of the varactor compounds are silicon nitride—7.65 [42], polyimide—3.44, and gallium arsenide—12.9 (the values from the CST library). The value εeff = 6, which is around the middle of the extreme value and is set for the rectangular dielectric slab. According to the CST simulation, C2ndp = 0.008 pF, a value which is usually negligible but needs to be considered in this work because of the very low total capacitance. The unit cell dynamic capacitance range is shown in Equation (8)
(Cint + Cd min + C2ndp) < C < (Cint + Cd max + C2ndp)
where C is between 0.1354 and 0.3194 pF. Plugging C for different cases of Cd in (2) shows good agreement in the fres tuning simulations results, as shown in Figure 4. The reduction in Cint, combined with the chosen varactor, leads to a high capacitance ratio and allows wide tunability.
Gradual linear accumulated reflected phases throughout the MS reflector with uniform reflected intensities are required to achieve the desired steering angle θ described in (6). In practice, impurity in the intensity causes a minor change in θ, due to different losses in the MS reflector unit cells. The continuous tuning ability of each unit cell allows using error correction algorithms for improved results and accuracy. The maximum loss value is 4.37 dB for unit cells in the MS with a resonance frequency of 37 GHz, as shown in Figure 4a (middle red line). Losses of unit cells with higher or lower resonance frequency are less than 4.37 dB at 37 GHz with a negligible value for unit cells with resonance frequencies, which relate to Cd max and Cd min. This phenomenon of losses is unavoidable due to the nature of resonance element usage, but is minimized by using low loss materials and proper unit cell design, such as decreasing Q factor.
Sweeping the above unit cell reflection phase simulations versus varactor capacitance Cd at specific work frequency 37 GHz leads to the dynamic phase range as shown in Figure 5.
Figure 5 shows the whole dynamic phase range of unit cell reflection phase at 37 GHz as a function of Cd, for a normal incident (in black line) and off-normal incidents (in red dashed and blue dotted-dashed lines). The DC bias for each unit cell is determined based on the calibration curve in Figure 5, such that the ΔCx between adjacent unit cells in the x ^ axis provides the desired Δφx, and the ΔCy between adjacent unit cells in the y ^ axis provides the desired Δφy, as seen in Figure 3a. Phase values were normalized between 0° and 360° with a value of 0° for Cd max, and 303° for Cd min and allow MS spatial phase distribution value of 303° out of the ideal value of 360°, where the dynamic phase is used in a cyclic manner. For high steering θ, which requires Δφ ≥ 57° according to (6) or for large size MS, which requires the usage of more than 303° available range, the range part of 57° leads to a phase error. The fundamental array constant Δx = P or Δy = W can be doubled to reduce the influence of the missing phase range on Δφ in (6). This doubling increases the effective array constant parameters and compensates over the limitation in Δφ values. The multiplication of array constants Δx and Δy is achieved by applying the same DC voltage/capacitance value to adjacent unit cells in the x ^ or the y ^ axis, respectively, as seen in Figure 3a,b. The array constants Δx and Δy can also be multiplied further where a higher value leads to exceeding the MS definition, where unit cell dimensions are smaller than the working wavelength. Alternatively, any steering can be achieved without multiplying Δx or Δy with performance degradation due to phase mismatch [43]. For small-sized MS, Δφ can be used without limitation, as long as it is used in one dynamic phase range cycle. This is a typical limitation of MS reflector, which is seen in other lower frequency studies of different geometries [25,29,30].

6. Reconfigurable MS Reflector Steering Results

The final MS reflector is a fixed 2-D array size that was designed and simulated based on the above unit cell reflection results. The array size is 75.2 mm × 188 mm with 12 rows and 8 columns of unit cells, which sum up to 96-unit cells, and can be stimulated with separate DC voltages as needed. MS reflector with the axes steering definition and an example of a 3-D far-field reflection result, without phase manipulation, are shown in Figure 6.
For azimuth steering (− x ^ ), every unit cell in each column is connected to the same DC voltage/capacitance value, to achieve the desired Δφx while Δφy = 0, and for elevation steering ( y ^ ), every unit cell in each row gets the same DC voltage/capacitance value, to achieve the desired Δφy while Δφx = 0.
For 1-D steering mode, considering the dynamic phase range and MS size, the phase difference parameter—Δφx or Δφy—is limited, as shown in Equation (9)
303 °   7 × Δ φ x   ,   11 × Δ φ y  
For azimuth and elevation 1–D steering, several θ angles were calculated using (6) and simulated using CST for normal incident TEM plan wave around 37 GHz, which corresponds to the polarization described in Figure 6. The simulation results are shown in Figure 7.
Steering angles simulations results of 10°, 20°, 30°, and 48° in azimuth and 10°, 20°, and 30° in elevation compared to reference result at 0° are shown in Figure 7a,b, respectively.
Deviation for ± 200MHz around 37 GHz for the same TEM incident wave for steering angle 30° in azimuth and 10° in elevation is shown in Figure 7 (dotted and dashed lines). The results show overlap within frequency deviations, which leads to a bandwidth of about 400 MHz.
Table 2 and Table 3 summarize the parameters in Equation (6) for calculating the steering angles shown in Figure 7.
In 2-D steering mode, considering the dynamic phase range and MS size, the phase difference parameters, Δ φ x and Δ φ y , are limited, as shown in Equation (10)
303 ° 7 × Δ φ x + 11 × Δ φ y
In order to serve an angular spatial cone of 20° and 10°, steering abilities of ± 10° in azimuth and ± 5° in elevation are required and lead to maximum values of Δφx = 20.83° and Δφy = 6°, respectively. The total sum of MS phase distribution in use is 211.81°, which is smaller than 303° and meets the definition in Equation (10). In order to serve an angular spatial cone of 30° and 5°, steering abilities of ± 15° in azimuth and ± 2.5° in elevation are required and lead to maximum values of Δφx = 31.05° and Δφy = 3.3°, respectively. The total sum of MS phase distribution in use is 253.65°, which also meets the definition in (10).
Figure 7 shows the simulation results of the dynamic phase range for off-normal incident radiation, which comes from the above spatial cone example’s edges compared to the simulation results for a normal incident case. The simulation results coincide. Thus, a reasonable spatial cone can be supported and covered by the MS reflector. Two-dimensional steering simulation results at 37 GHz for the angular partial cone edges mentioned cases are shown in Figure 8.
Following the discussion in paragraph 5, the use of Equation (6) in the case of non-uniformed intensities, due to different losses in MS reflector unit cells, leads to a small gap between the simulated steering angles θ, shown in Figure 8, compared to the calculated steering angles θ, summarized in Table 4. This gap can be corrected by a slight change in the phase difference parameters— Δ φ x and Δ φ y —used in Equation (6). Due to MS reflector symmetry, the same steering results in 1-D and 2-D can be obtained in the opposite direction, by inversing the capacitance and phase distribution gradient. Comparison between continuous tunable MS reflector works with a varactor as a tuning method is presented in Table 5.

7. Conclusions

The concept and simulations of the MS reflector for 5G wireless communication based on a new resonant unit cell are presented. This unit cell offers a phase dynamic range of up to 303° and above 300° in Ka-band in more than 4 GHz bandwidth with relatively low losses, which allow 2-D beam steering (azimuth and elevation) with about 400 MHz bandwidth simulated at 37 GHz. The unit cell design fits the standard PCB technology using off-the-shelf products. Engineering limitations and parameters arising from phase sensitivity and high frequency were analyzed, such as resistance component from inaccuracies and parasitics in production and second-order parasitic capacitance phenomena from varactor assembly. There is a trade-off between the losses and the phase dynamic range of the unit cell. Optimization was performed on the unit cell parameters for a target of losses lower than 5 dB and a phase dynamic range higher than 300° at 37 GHz, one of the emerging 5G frequencies. Thus, a large dynamic phase range was achieved while maintaining relatively low losses, which improve reflector performance.

Author Contributions

Conceptualization, D.R.; methodology, D.R. and A.A.; software, D.R. and E.R.; validation, D.R.; data curation, D.R.; formal analysis, D.R.; investigation, D.R. and E.R.; resources, D.R and A.A.; writing—original draft preparation, D.R.; writing—review and editing, D.R., E.R. and A.A.; visualization, D.R.; supervision, A.A.; project administration, D.R.; funding acquisition, A.A. All authors have read and agreed to the published version of the manuscript.

Funding

This research received no external funding.

Conflicts of Interest

The authors declare no conflict of interest.

References

  1. Rappaport, T.S.; Xing, Y.; MacCartney, G.R.; Molisch, A.F.; Mellios, E.; Zhang, J. Overview of Millimeter Wave Communications for Fifth-Generation (5G) Wireless Networks—With a Focus on Propagation Models. IEEE Trans. Antennas Propag. 2017, 65, 6213–6230. [Google Scholar] [CrossRef]
  2. Hong, T.; Yao, J.; Liu, C.; Qi, F. mmWave Measurement of RF Reflectors for 5G Green Communications. Wirel. Commun. Mob. Comput. 2018, 2018, 8217839. [Google Scholar] [CrossRef]
  3. Peng, Z.; Li, L.; Wang, M.; Zhang, Z.; Liu, Q.; Liu, Y.; Liu, R. An effective coverage scheme with passive-reflectors for urban millimeter-wave communication. IEEE Antennas Wirel. Propag. 2015, 15, 398–401. [Google Scholar] [CrossRef]
  4. Zhang, L.; Chen, X.; Fang, Y.; Huang, X.; Fang, X. Learning-Based mmWave V2I Environment Augmentation through Tunable Reflectors. In Proceedings of the 2019 IEEE Global Communications Conference (GLOBECOM), Waikoloa, HI, USA, 9–13 December 2019. [Google Scholar]
  5. Khawaja, W.; Ozdemir, O.; Yapici, Y.; Guvenc, I.; Kakishima, Y. Coverage Enhancement for mmWave Communications Using Passive Reflectors. In Proceedings of the 2018 11th Global Symposium on Millimeter Waves (GSMM), Boulder, CO, USA, 22–24 May 2018. [Google Scholar]
  6. Giordani, M.; Zorzi, M. Improved User Tracking in 5G Millimeter Wave Mobile Networks via Refinement Operations. In Proceedings of the 2017 16th Annual Mediterranean Ad Hoc Networking Workshop (Med-Hoc-Net), Budva, Montenegro, 28–30 June 2017. [Google Scholar]
  7. Li, A.; Singh, S.; Sievenpiper, D. Metasurfaces and their applications. Nanophotonics 2018, 7, 989–1011. [Google Scholar] [CrossRef]
  8. Rotshild, D.; Azoulay, D.Y.; Ochana, M.; Shulzinger, A.; Abramovich, A. Real time detection and recognition of micro-poisons in aqueous solutions and atmosphere using perfect absorber metamaterial in millimeter wavelength regime. In Proceedings of the 2015 IEEE International Conference on Microwaves, Communications, Antennas and Electronic Systems (COMCAS), Tel Aviv, Israel, 2–4 November 2015. [Google Scholar]
  9. Litmanovitch, G.; Rotshild, D.; Abramovich, A. Flat mirror for millimeter-wave and terahertz imaging systems using an inexpensive metasurface. Chin. Opt. Lett. 2017, 15, 011101. [Google Scholar] [CrossRef]
  10. Hum, S.V.; Perruisseau-Carrier, J. Reconfigurable reflectarrays and array lenses for dynamic antenna beam control. IEEE Trans. Antennas Propag. 2013, 62, 183–198. [Google Scholar] [CrossRef]
  11. Mavridou, M.; Feresidis, A.P. Dynamically reconfigurable high impedance and frequency selective metasurfaces using piezoelectric actuators. IEEE Trans. Antennas Propag. 2016, 64, 5190–5197. [Google Scholar] [CrossRef]
  12. Kamoda, H.; Iwasaki, T.; Tsumochi, J.; Kuki, T. 60-GHz electrically reconfigurable reflectarray using p-i-n diode. In Proceedings of the 2009 IEEE MTT-S International Microwave Symposium Digest, Boston, MA, USA, 7–12 June 2009. [Google Scholar]
  13. Solderable AlGaAs Flip Chip PIN. Available online: https://cdn.macom.com/datasheets/MADP-000907-14020x.pdf (accessed on 11 June 2020).
  14. Tian, W.; Li, P.; Yuan, L. Research and analysis of MEMS switches in different frequency bands. Micromachines 2018, 9, 185. [Google Scholar] [CrossRef]
  15. Foo, S. Liquid-crystal-tunable metasurface antennas. In Proceedings of the 2017 11th European Conference on Antennas and Propagation (EUCAP), Paris, France, 19–24 March 2017. [Google Scholar]
  16. Yaghmaee, P.; Karabey, O.H.; Bates, B.; Fumeaux, C.; Jakoby, R. Electrically tuned microwave devices using liquid crystal technology. Int. J. Antennas Propag. 2013, 2013, 824214. [Google Scholar] [CrossRef]
  17. MACOM. MAVR-011020-1411, Solderable GaAs Constant Gamma Flip-Chip Varactor Diode. Available online: https://cdn.macom.com/datasheets/MAVR-011020-1141.pdf (accessed on 11 June 2020).
  18. Yang, H.; Yang, F.; Cao, X.; Xu, S.; Gao, J.; Chen, X.; Li, M.; Li, T. A 1600-element dual-frequency electronically reconfigurable reflectarray at X/Ku-band. IEEE Trans. Antennas Propag. 2017, 65, 3024–3032. [Google Scholar] [CrossRef]
  19. Guclu, C.; Perruisseau-Carrier, J.; Civi, O. Proof of concept of a dualband circularly-polarized RF MEMS beam-switching reflectarray. IEEE Trans. Antennas Propag. 2012, 60, 5451–5455. [Google Scholar] [CrossRef]
  20. Chaimool, S.; Hongnara, T.; Rakluea, C.; Akkaraekthalin, P.; Zhao, Y. Design of a PIN diode-based reconfigurable metasurface antenna for beam switching applications. Int. J. Antenn. Propag. 2019, 2019, 7216324. [Google Scholar] [CrossRef]
  21. Jang, T.; Lim, S. Novel capacitor-loaded substrate-integrated-waveguide structure and its electronically controlled leaky-wave antenna application. Electromagnetics 2014, 34, 585–592. [Google Scholar] [CrossRef]
  22. Yang, Z.; Zhu, B.O.; Feng, Y. Free Space Electromagnetic Wave Modulation Using Metasurface Absorber. In Proceedings of the 2015 Asia-Pacific Microwave Conference (APMC), Nanjing, China, 6–9 December 2015. [Google Scholar]
  23. Wang, Z.; Liao, D.; Zhang, T.; Chen, T.; Ruan, Y.; Zheng, B. Metasurface-based focus-tunable mirror. Opt. Express 2019, 27, 30332–30339. [Google Scholar] [CrossRef] [PubMed]
  24. Wu, Z.; Ra’di, Y.; Grbic, A. Tunable metasurfaces: A polarization rotator design. Phys. Rev. X 2019, 9, 011036. [Google Scholar] [CrossRef]
  25. Sievenpiper, D.; Schaffner, J.; Song, H.J.; Loo, R.; Tangonan, G. Two-dimensional beam steering using an electrically tunable impedance surface. IEEE Trans. Antennas Propag. 2003, 51, 2713–2722. [Google Scholar] [CrossRef]
  26. Liang, B.; Sanz-Izquierdo, B.; Parker, E.A.; Batchelor, J.C. A Frequency and Polarization Reconfigurable Circularly Polarized Antenna Using Active EBG Structure for Satellite Navigation. IEEE Trans. Antennas Propag. 2015, 63, 33–40. [Google Scholar] [CrossRef]
  27. Kitayama, D.; Yaita, M.; Song, H.-J.; Nosaka, H. High-speed and high-ON/OFF ratio split-ring-resonator-based active metamaterial using varactor diodes. In Proceedings of the 2016 41st International Conference on Infrared, Millimeter, and Terahertz waves (IRMMW-THz), Copenhagen, Denmark, 25–30 September 2016. [Google Scholar]
  28. Ratni, B.; de Lustrac, A.; Piau, G.P.; Burokur, S.N. Active metasurface for reconfigurable reflectors. Appl. Phys. A 2018, 124, 104. [Google Scholar] [CrossRef]
  29. Nie, J.; Tan, Y.Q.; Ji, C.; Liu, R.P. Analysis of Ku-Band Steerable Metamaterials Reflectarray with Tunable Varactors. In Proceedings of the 2016 Progress in Electromagnetic Research Symposium (PIERS), Shanghai, China, 8–11 August 2016; pp. 709–713. [Google Scholar]
  30. Rotshild, D.; Abramovich, A. Wideband reconfigurable entire Ku-band metasurface beam-steerable reflector for satellite communications. IET Microw. Antennas Propag. 2018, 13, 334–339. [Google Scholar] [CrossRef]
  31. Pozar, D.M. Microwave Engineering, 4th ed.; John Wiley & Sons, Inc.: Hoboken, NJ, USA, 2012; pp. 272–277. [Google Scholar]
  32. Rea, S.P.; Linton, D.; Orr, E.; McConnell, J. Broadband high-impedance surface design for aircraft HIRF protection. IEE Proc. Microw. Antennas Propag. 2006, 153, 307–313. [Google Scholar] [CrossRef]
  33. Kuse, R.; Hori, T.; Fujimoto, M. PMC and EBG characteristics of cross type artificial magnetic conductor. In Proceedings of the 2012 International Symposium on Antennas and Propagation (ISAP), Nagoys, Japan, 29 October–2 November 2012. [Google Scholar]
  34. Sievenpiper, D. High-Impedance Electromagnetic Surfaces. Ph.D. Thesis, University of California, Los Angeles, CA, USA, 1999; pp. 31–39, 42–44, 47–49. [Google Scholar]
  35. Bhattacharyya, A.K. Phased Array Antennas: Floquet Analysis, Synthesis, BFNs and Active Array Systems; John Wiley & Sons Press: Hoboken, NJ, USA, 2006; pp. 18–21. [Google Scholar]
  36. Rogers Corporation. RT/Duroid® 5880LZ. Available online: https://www.rogerscorp.com/-/media/project/rogerscorp/documents/advanced-connectivity-solutions/english/data-sheets/rt-duroid-5880lz-high-frequency-laminates.pdf (accessed on 11 June 2020).
  37. Mutual Inductance and Capacitance Algorithm. Available online: https://cecas.clemson.edu/cvel/emc/expert_systems/PCB/summaries/Mutual_LC_summary.pdf (accessed on 11 June 2020).
  38. Rotshild, D.; Abramovich, A. Realization and validation of continuous tunable metasurface for high resolution beam steering reflector at K-band frequency. Int. J. RF Microw. Comput.-Aided Eng. Under Review.
  39. Rütschlin, M.; Wittig, T.; Iluz, Z. Phased antenna array design with CST STUDIO SUITE. In Proceedings of the 2016 10th European Conference on Antennas Propag (EuCAP), Davos, Switzerland, 10–15 April 2016; pp. 1–5. [Google Scholar]
  40. Wang, M.; Ma, F.W.; Tang, W.X.; Zhang, H.C.; Wang, X.Z.; Cui, T.J. Programmable controls of multiple modes of spoof surface plasmon polaritons to reach reconfigurable plasmonic devices. Adv. Mater. Technol. 2019, 4, 1800603. [Google Scholar] [CrossRef]
  41. Wang, M.; Ma, F.W.; Tang, W.X.; Zhang, H.C.; Wang, X.Z.; Cui, T.H.; Jiang, W.X. A dual-band electronic-scanning leaky-wave antenna based on a corrugated microstrip line. IEEE Trans. Antennas Propag. 2019, 67, 3433–3438. [Google Scholar] [CrossRef]
  42. Zhang, T.; Zhang, S.R.; Wu, M.Q.; Sang, W.J.; Gao, Z.P.; Li, Z.P. Studies on dielectric properties of silicon nitride at high temperature. J. Electron. Sci. Technol. 2007, 5, 316–319. [Google Scholar]
  43. Boriskin, A.; Sauleau, R. (Eds.) Aperture Antennas for Millimeter and Sub-Millimeter Wave Applications; Springer: New York, NY, USA, 2017; pp. 146–150. [Google Scholar]
Figure 1. Property of 2-D reconfigurable reflective surface for incident rays L0–LN, normal to the metasurface (MS).
Figure 1. Property of 2-D reconfigurable reflective surface for incident rays L0–LN, normal to the metasurface (MS).
Electronics 09 01191 g001
Figure 2. Two adjacent unit cells design. (a) Unit cell frontside. (b) Unit cell backside. (c) Profile view of the unit cell. (d) Three-dimensional inside view of the unit cell. (e) Unit cell equivalent circuit model.
Figure 2. Two adjacent unit cells design. (a) Unit cell frontside. (b) Unit cell backside. (c) Profile view of the unit cell. (d) Three-dimensional inside view of the unit cell. (e) Unit cell equivalent circuit model.
Electronics 09 01191 g002
Figure 3. MS structure with varactors DC bias idea. (a) MS frontside. (b) MS backside with varactors DC bias indexes. (c) Three-dimensional inside view of MS closure of electrical circuit for each varactor.
Figure 3. MS structure with varactors DC bias idea. (a) MS frontside. (b) MS backside with varactors DC bias indexes. (c) Three-dimensional inside view of MS closure of electrical circuit for each varactor.
Electronics 09 01191 g003
Figure 4. Simulation results of unit cell reflection. (a) Magnitude. (b) Phase.
Figure 4. Simulation results of unit cell reflection. (a) Magnitude. (b) Phase.
Electronics 09 01191 g004
Figure 5. Unit cell dynamic range of reflection phase as a function of the Cd at 37 GHz for normal incident and two extreme off-normal incident cases.
Figure 5. Unit cell dynamic range of reflection phase as a function of the Cd at 37 GHz for normal incident and two extreme off-normal incident cases.
Electronics 09 01191 g005
Figure 6. Final array dimensions, with a 3-D far-field result of the reference case.
Figure 6. Final array dimensions, with a 3-D far-field result of the reference case.
Electronics 09 01191 g006
Figure 7. Results of far-field Radar Cross Section (RCS) for beam steering at 37 GHz in solid lines, where the black line is without phase manipulation for comparison. Steering results around 37 GHz in discontinuous lines. (a) Beam steering in azimuth axis. (b) Beam steering in elevation axis.
Figure 7. Results of far-field Radar Cross Section (RCS) for beam steering at 37 GHz in solid lines, where the black line is without phase manipulation for comparison. Steering results around 37 GHz in discontinuous lines. (a) Beam steering in azimuth axis. (b) Beam steering in elevation axis.
Electronics 09 01191 g007
Figure 8. Two-dimensional far-field beam steering results for several steering in azimuth and elevation simultaneously. (a) Reference result. (be) Two-dimensional steering results.
Figure 8. Two-dimensional far-field beam steering results for several steering in azimuth and elevation simultaneously. (a) Reference result. (be) Two-dimensional steering results.
Electronics 09 01191 g008
Table 1. Unit cell parameters.
Table 1. Unit cell parameters.
ParameterDescriptionValue [mm]
PUnit cell length2.7
WUnit cell width1.7
SLPad/Line length1.573
SwPad/Line width0.6
gHorizontal gap between the slots 0.127
DLVaractor diode length0.7615
DwVaractor diode width0.406
DHVaractor diode height0.203
DiDistance between outer strips0.6
DoDistance between inner strips0.9
hDielectric substrate thickness0.254
tCopper thickness0.035
PDPad diameter0.6
VDVia diameter0.3
CDClearness diameter0.6
Table 2. Value parameters in Equation (6) for Azimuth steering angles θ calculations.
Table 2. Value parameters in Equation (6) for Azimuth steering angles θ calculations.
Azimuth [Deg]Δφx [Deg]Δx [mm]
1020.832.7
2041.042.7
30602.7
48902.7
Table 3. Value parameters in (6) for Elevation steering angles θ calculations.
Table 3. Value parameters in (6) for Elevation steering angles θ calculations.
Elevation [Deg]Δφy [Deg]Δy [mm]
1013.121.7
2025.841.7
3075.553.4
Table 4. Value parameters in (6) for 2-D steering angles θ calculations.
Table 4. Value parameters in (6) for 2-D steering angles θ calculations.
Az, El [Deg]Δφx, Δφy [Deg]Δx, Δy [mm]
5, 510, 62.7, 1.7
10, 520.83, 62.7, 1.7
7.5, 2.515.66, 3.32.7, 1.7
15, 2.531.05, 3.32.7, 1.7
Table 5. Abilities comparison between MS reflector works.
Table 5. Abilities comparison between MS reflector works.
ReferenceFrequency (GHz)Phase Range (Deg)1-D Steering Range (Deg)2-D Steering Range (Deg)1\2 PolarizationMeasurement\Simulation
[25]4.5325 *40Not presented 2 separatelyMeas
[28]9–1129045Not presented 1Meas
[29]12.1300 *56Not presented 1Sim
[30]1533063Not presented 1Sim
[38]21–23.532057Not presented 1Meas
This work373034810/51Sim
* Estimated value from a graph [25].

Share and Cite

MDPI and ACS Style

Rotshild, D.; Rahamim, E.; Abramovich, A. Innovative Reconfigurable Metasurface 2-D Beam-Steerable Reflector for 5G Wireless Communication. Electronics 2020, 9, 1191. https://doi.org/10.3390/electronics9081191

AMA Style

Rotshild D, Rahamim E, Abramovich A. Innovative Reconfigurable Metasurface 2-D Beam-Steerable Reflector for 5G Wireless Communication. Electronics. 2020; 9(8):1191. https://doi.org/10.3390/electronics9081191

Chicago/Turabian Style

Rotshild, David, Efraim Rahamim, and Amir Abramovich. 2020. "Innovative Reconfigurable Metasurface 2-D Beam-Steerable Reflector for 5G Wireless Communication" Electronics 9, no. 8: 1191. https://doi.org/10.3390/electronics9081191

APA Style

Rotshild, D., Rahamim, E., & Abramovich, A. (2020). Innovative Reconfigurable Metasurface 2-D Beam-Steerable Reflector for 5G Wireless Communication. Electronics, 9(8), 1191. https://doi.org/10.3390/electronics9081191

Note that from the first issue of 2016, this journal uses article numbers instead of page numbers. See further details here.

Article Metrics

Back to TopTop