Carbon-Based Composite Microwave Antennas
Abstract
1. Introduction
2. Carbon Composite Materials in Antenna Technology
3. Dipole Antennas
3.1. Specialized Dipole Antennas at 200 MHz and 600 MHz
3.2. Standard Dipole Antennas at 540 MHz
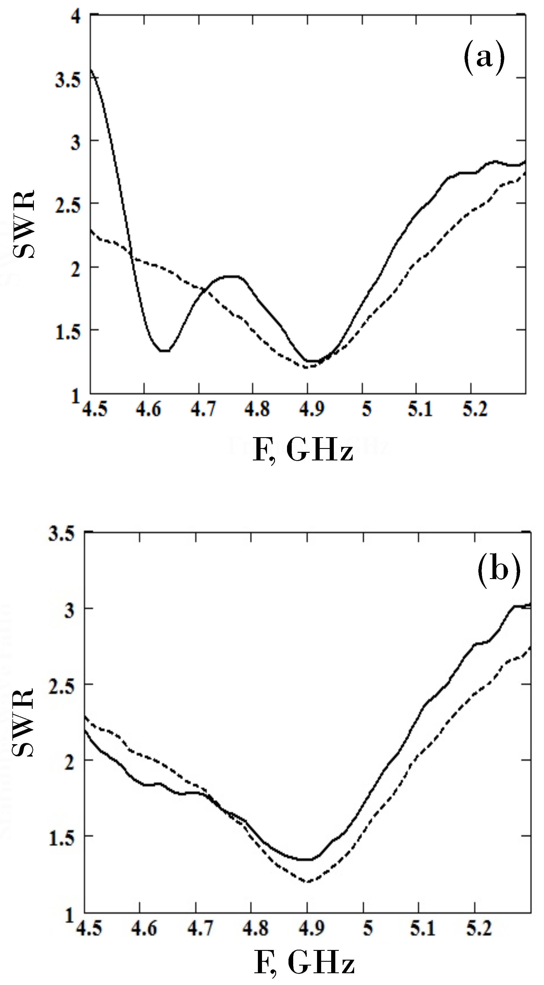
4. Horn Antennas
4.1. Manufacturing Horn Antennas
4.2. Radiation Properties of the Horn Antennas
4.3. Polarization Characteristics of Horn Antennas
5. Conclusions
6. Patents
Author Contributions
Funding
Conflicts of Interest
Abbreviations
| SWR | Standing wave ratio |
| GCM | Graphene-containing carbon composite material |
References
- Novoselov, K.S.; Jiang, D.; Schedin, F.; Booth, T.J.; Khotkevich, V.V.; Morozov, S.V.; Giem, A.K. Two-dimensional atomic crystals. Proc. Nat. Acad. Sci. USA 2005, 102, 10451–10453. [Google Scholar] [CrossRef] [PubMed]
- Novoselov, K.S.; Geim, A.K.; Morozov, S.V.; Jiang, D.; Zhang, Y.; Dubbonos, S.V.; Grigorieva, I.V.; Firsov, A.A. Electric field effect in atomically thin carbon films. Science 2004, 306, 666–669. [Google Scholar] [CrossRef] [PubMed]
- Berger, C.; Song, Z.; Li, T.; Li, X.; Ogbazghi, A.Y.; Feng, R.; Dai, Z.; Marchenkov, A.N.; Conrad, E.H.; First, P.N.; et al. Ultrathin epitaxial graphite: 2D electron gas properties and a route toward graphene-based nanoelectronics. J. Phys. Chem. B 2004, 108, 19912–19915. [Google Scholar] [CrossRef]
- Hernandez, Y.; Nicolosi, V.; Lotya, M.; Blighe, F.M.; Sun, Z.; De, S.; McGovern, I.T.; Holland, B.; Byrne, M.; Gun’Ko, Y.K.; et al. High-yield production of graphene by liquid-phase exfoliation of graphite. Nature Nanotech. 2008, 3, 563–568. [Google Scholar] [CrossRef]
- Engheta, N.; Ziolkowski, R.W. (Eds.) Metamaterials: Physics and Engineering Explorations; Wiley-IEEE: Hoboken, NJ, USA, 2006. [Google Scholar]
- Slyusar, V.I. Metamaterials in antenna technology: History and basic principles. Electronika NTV 2009, 7, 70–79. (In Russian) [Google Scholar]
- Lier, E. Review of soft and hard horn antennas, including metamaterial-based hybrid-mode horns. IEEE Antennas. Propag. Mag. 2010, 52, 31–39. [Google Scholar] [CrossRef]
- Tang, M.C.; Xiao, S.; Wang, B.; Guan, J.; Deng, T. Improved performance of a microstrip phased array using broadband and ultra-low-loss metamaterial slabs. IEEE Antennas. Propag. Mag. 2011, 53, 31–41. [Google Scholar] [CrossRef]
- Vendik, I.B.; Vendik, O.G. Metamaterials and their application in microwaves: A Review. Tech. Phys. 2013, 58, 1–24. [Google Scholar] [CrossRef]
- Veselago, V.G. The electrodynamics of substances with simultaneous negative values of ε and μ. Sov. Phys. Uspekhi 1967, 10, 509–514. [Google Scholar] [CrossRef]
- Temelkuara, B.; Bayindir, M.; Ozbay, E.; Biswas, R.; Sigalas, M.M.; Tuttle, G.; Ho, K.M. Photonic crystal-based resonant antenna with a very high directivity. J. Appl. Phys. 2000, 87, 603–605. [Google Scholar] [CrossRef]
- Ge, Z.C.; Zhang, W.X.; Liu, Z.G.; Gu, Y.Y. Broadband and high-gain printed antennas constructed from Fabry-Perot resonator structure using EBG or FSS cover. Microw. Opt. Technol. Lett. 2006, 48, 1272–1274. [Google Scholar] [CrossRef]
- Marques, R.; Martin, F.; Sorolla, M. Metamaterials with Negative Parameters: Theory, Design and Microwave Applications; Wiley Series in Microwave and Optical Engineering; Wiley-Blackwell: Hoboken, NJ, USA, 2008. [Google Scholar]
- Bychkov, I.V.; Zotov, I.S.; Fedii, A.A. Studing microwave transmission and reflection in multilayer CaSO4·2H2O—Graphite composites. Tech. Phys. Lett. 2011, 37, 689–691. [Google Scholar] [CrossRef]
- Weily, A.R.; Horvath, L.; Esselle, K.P.; Sanders, B.C.; Bird, T.S. A planar resonator antenna based on a woodpile EBG material. IEEE Trans. Antennas Propag. 2005, 53, 216–223. [Google Scholar] [CrossRef]
- Caiazzo, M.; Maci, S.; Engheta, N. A metamaterial surface for compact cavity resonators. IEEE Antennas Wirel. Propag. Lett. 2004, 3, 261–264. [Google Scholar] [CrossRef]
- Zhigang, X.; Xu, H. Low refractive metamaterials for gain enhancement of horn antenna. J. Infrared Millim. Terahertz Waves 2009, 30, 225–232. [Google Scholar]
- Lashab, M.; Hraga, H.I.; Read, A.A.; Zebiri, C.; Benabdelaziz, F.; Jones, S.M.R. Horn antennas loaded with metamaterial for UWB applications. PIERS Online 2011, 7, 161–165. [Google Scholar]
- Lai, A.; Caloz, C.; Itoh, T. Composite right/left-handed transmission line metamaterials. IEEE Microw. Mag. 2004, 5, 34–50. [Google Scholar] [CrossRef]
- Hu, J.; Yan, C.S.; Lin, Q.C. A new patch antenna with metamaterial cover. J. Zhejiang Univ. Sci. A 2006, 7, 89–94. [Google Scholar] [CrossRef]
- Rybin, V.V.; Kuznetsov, P.A.; Ulin, I.V.; Farmakovskii, B.V.; Bakhareva, V.E. Nanomaterials structural and functional class. Vopr. Mater. 2006, 1, 169–178. (In Russian) [Google Scholar]
- Maher, F.E.; Strong, V.; Dubin, S.; Kaner, R.B. Laser scribing of high-performance and flexible graphene-based electrochemical capacitors. Science 2012, 335, 1326–1330. [Google Scholar]
- Dugin, N.A.; Zaboronkova, T.M.; Chugurin, V.V.; Myasnikov, E.N. Antenna-Feeder the Microwave Device From Graphene-Containing Carbon Composite Material and Its Manufactoring. RF Patent N–RU2016/2577918 (C1), 18 February 2016. [Google Scholar]
- Dugin, N.A.; Zaboronkova, T.M.; Myasnikov, E.N.; Belyaev, G.R.; Lobastov, V.V. Electrodynamic characteristics of dipole antennas made of graphene-containing carbon composite materials. J. Commun. Technol. Electron. 2018, 63, 864–867. [Google Scholar] [CrossRef]
- Dugin, N.A.; Zaboronkova, T.M.; Myasnikov, E.N. Using carbon-based composite materials for manufactoring C-range antenna devices. Latv. J. Phys. Tech. Sci. 2016, 53, 17–24. [Google Scholar]
- Dugin, N.A.; Zaboronkova, T.M.; Myasnikov, E.N. Antenna-waveguide microwave devices of carbon composition materials. Tech. Phys. Lett. 2016, 42, 598–600. [Google Scholar] [CrossRef]
- Ovechkin, G.I.; Golovanova, V.V.; Dvirnyi, G.V. Transformable Antenna of the Umbrella-Type Spacecraft. RF Patent N-RU2011/2427949 (C1), 20 April 2011. [Google Scholar]
- Chung-Yen Yang Method of Forming Antenna by Utilizing Graphene. U.S. Patent N-US2013/0004658 (A1), 3 January 2013.
- Gi, C.C.; Soon, O.S. Metamaterial And Manufacturing Method at the Same. U.S. Patent N-US2012/013989 (A1), 25 January 2012. [Google Scholar]
- Bychkov, I.V.; Zotov, I.S.; Fedii, A.A. Reflection properties of electromagnetic crystal based composite material. In Proceedings of the 3rd International Congress on Advanced Electromagnetic Materials in Microwaves and Optics, London, UK, 31 August–4 September 2009; p. 602. [Google Scholar]
- Kazantseva, N.E.; Ryvkina, N.G.; Chmutin, I.A. Promising materials for microwave absorbers. J. Commun. Technol. Electron. 2003, 48, 173–184. [Google Scholar]
- Giboney, K.S. Gap-Mode Waveguide. U.S. Patent N-US2012/0243823 (A1), 27 September 2012. [Google Scholar]
- Dugin, N.A.; Zaboronkova, T.M.; Chugurin, V.V.; Myasnikov, E.N. Study of electromagnetic properties of multylayer graphene fractal structures by remote method. In Proceedings of the 21th annual International Conference on Advanced Laser Technologies, Budva, Montenegro, 16–20 Spetember 2013; p. 192. [Google Scholar]
- Kudrin, A.V.; Zaitseva, A.S.; Zaboronkova, T.M.; Krafft, C. Analysis of a strip antenna located on the interface between a uniaxial plasma and an isotropic medium. In Proceedings of the 11th European Conference on Antennas and Propagation, Paris, France, 19–24 March 2017; pp. 3574–3578. [Google Scholar]
- Kudrin, A.V.; Zaitseva, A.S.; Zaboronkova, T.M.; Krafft, C. Current distribution and input impedance of a circular loop antenna located on the surface of a gyromagnetic cylinder. In Proceedings of the International Conference Days on Diffraction 2018, St-Petersburg, Russia, 4–8 June 2018; pp. 192–197. [Google Scholar]
- Kudrin, A.V.; Zaboronkova, T.M.; Zaitseva, A.S.; Spagnolo, B. Theory of strip antenna located at a plane interface of a uniaxial metamaterial and an isotropic magnetodielectric. IEEE Trans. Ant. Prop. 2020, 68, 195–206. [Google Scholar] [CrossRef]
- Zaboronkova, T.M.; Dugin, N.A.; Myasnikov, E.N. Microwave horn antenna made of a graphene-containing carbon composite material. In Proceedings of the 9th European Conference on Antennas and Propagation, Lisbon, Portugal, 13–17 April 2015; pp. 7228220-1–7228220-2. [Google Scholar]
- Dugin, N.A.; Belyaev, G.R.; Zaboronkova, T.M.; Lobastov, V.G. Polarization characteristics of graphene-containing composite horn antenna. In Proceedings of the International Conference Days on Diffraction 2018, St-Petersburg, Russia, 4–8 June 2018; pp. 88–92. [Google Scholar]
- Dugin, N.A.; Zaboronkova, T.M.; Myasnikov, E.N.; Belyaev, G.R. Electrodynamic characteristics of horn microwave antennas made of graphene-containing carbon–composite materials. Tech. Phys. 2018, 63, 268–273. [Google Scholar] [CrossRef]
- Available online: https://zoltek.com/products/px35/ (accessed on 20 January 2020).
- Tseitlin, N.M. Methods of Measurement of Antenna Characteristics; Radio i Svyaz’: Moscow, Russia, 1985. (In Russian) [Google Scholar]
- Felsen, L.B.; Marcuvitz, N. Radiation and Scattering of Waves; Prentice-Hall: Englewood Cliffs, NJ, USA, 1973. [Google Scholar]















| Antenna Properties | Material Type | DA 200 MHz | DA 600 MHz | DA 540 MHz | HA 1.6 GHz without PU | HA 1.6 GHz with PU | HA 5 GHz without PU |
|---|---|---|---|---|---|---|---|
| SWR | |||||||
| Polarization | |||||||
| Weight (kg) | |||||||
| Size (m) |
| PARAMETERS | Zoltek Px 35 | Brass | Al (Aluminium) |
|---|---|---|---|
| Electrical resistivity (Ωm) | 15.5 · 10−6 | 6 · 10−8 | 3 · 10−8 |
| Tensile strength (MPa) | 4137 | 450 | 100 |
| Tensile modulus (GPa) | 242 | 100 | 75 |
| Density (kg·m−3) | 1810 | 8500 | 2700 |
| Coefficient of thermal expansion (°K−1) | 8 · 10−8 | 19.1 · 10−6 | 23.8 · 10−6 |
| Temperature of melting (decomposition) of metal (GCM) (°C) | >650 | 900 | 650 |
© 2020 by the authors. Licensee MDPI, Basel, Switzerland. This article is an open access article distributed under the terms and conditions of the Creative Commons Attribution (CC BY) license (http://creativecommons.org/licenses/by/4.0/).
Share and Cite
Dugin, N.A.; Zaboronkova, T.M.; Krafft, C.; Belyaev, G.R. Carbon-Based Composite Microwave Antennas. Electronics 2020, 9, 590. https://doi.org/10.3390/electronics9040590
Dugin NA, Zaboronkova TM, Krafft C, Belyaev GR. Carbon-Based Composite Microwave Antennas. Electronics. 2020; 9(4):590. https://doi.org/10.3390/electronics9040590
Chicago/Turabian StyleDugin, Nikolai A., Tatiana M. Zaboronkova, Catherine Krafft, and Grigorii R. Belyaev. 2020. "Carbon-Based Composite Microwave Antennas" Electronics 9, no. 4: 590. https://doi.org/10.3390/electronics9040590
APA StyleDugin, N. A., Zaboronkova, T. M., Krafft, C., & Belyaev, G. R. (2020). Carbon-Based Composite Microwave Antennas. Electronics, 9(4), 590. https://doi.org/10.3390/electronics9040590

