Next Article in Journal
Wide Voltage Resonant Converter Using a Variable Winding Turns Ratio
Previous Article in Journal
Hardware-Simulator Development and Implementation for Hydraulic Turbine Generation Systems in a District Heating System
 
 
Font Type:
Arial Georgia Verdana
Font Size:
Aa Aa Aa
Line Spacing:
Column Width:
Background:
Review

Nonlinear Dynamics, Switching Kinetics and Physical Realization of the Family of Chua Corsage Memristors

1
Division of Electronics and Information Engineering and Intelligent Robot Research Center, Jeonbuk National University, Jeonju, Jeonbuk 567-54896, Korea
2
Division of Electronics Engineering and Intelligent Robot Research Center, Jeonbuk National University, Jeonju, Jeonbuk 567-54896, Korea
*
Author to whom correspondence should be addressed.
Electronics 2020, 9(2), 369; https://doi.org/10.3390/electronics9020369
Submission received: 31 January 2020 / Revised: 18 February 2020 / Accepted: 19 February 2020 / Published: 21 February 2020
(This article belongs to the Section Artificial Intelligence)

Abstract

This article reviews the nonlinear dynamical attributes, switching kinetics, bifurcation analysis, and physical realization of a family of generic memristors, namely, Chua corsage memristors (CCM). CCM family contains three 1-st order generic memristor dubbed as 2-lobe, 4-lobe, and 6-lobe Chua corsage memristors and can be distinguished in accordance with their asymptotic stable states. The 2-lobe CCM has two asymptotically stable equilibrium states and regarded as a binary memory device. In contrast, the versatile 4-lobe CCM and 6-lobe CCM are regarded as a multi-bit-per-cell memory device as they exhibit three and four asymptotic stable states, respectively, on their complex and diversified dynamic routes. Due to the diversified dynamic routes, the CC memristors exhibit a highly nonlinear DC V-I curve. Unlike most published highly-nonlinear DC V-I curves with several disconnected branches, the DC V-I curves of CCMs are contiguous along with a locally active negative slope region. Moreover, the DC V-I curves and parametric representations of the CCMs are explicitly analytical. Switching kinetics of the CCM family can be demonstrated with universal formulas of exponential state trajectories xn(t), time period tfn, and applied minimum pulse amplitude VA and width Δw. These formulas are regarded universal as they can be applied to any piecewise linear dynamic routes for any DC or pulse input and with any number of segments. When local activity, and bifurcation and chaos theorems are employed, CMMs exhibit unique stable limit cycles spawn from a supercritical Hopf bifurcation along with static attractors. In addition, the nonlinear circuit and system theoretic approach is applied to explain the asymptotic stability behavior of CCMs and to design real memristor emulators using off-the-shelf circuit components.

1. Introduction

Memristor is a nonlinear two-terminal electrical component that completes a theoretical quartet of fundamental electrical components by relating electric charge and magnetic flux linkage. It was postulated by Leon Chua [1] and later generalized to a broader class of dynamical circuit-theoretic concept to a memristive system [2]. Memristor creates immense attention after the seminal paper published by hp in 2008, which reveals that the electrical resistance of the device is not constant, but depends on the history of previous inputs [3]. It is considered as one of the most promising element in emerging memory sector [4,5,6] and neural applications [7,8], due to its propitious attributes under DC or AC excitation and miniature nanoscale physical dimension along with synapse alike operation. Recently, numerous research activities are ongoing on binary and multistate phenomena in generic and extended memristors [9,10,11,12,13,14,15,16] which could lead to another stage of technical innovation in the memristor area. Nonlinear dynamics theory, and circuit and system theoretic concepts can be devoted to explaining the principle of the multistate memristors [9].
This review paper presents an in-depth and rigorous nonlinear and bifurcation analysis, switching kinetics, and physical realization of the three members of Chua corsage memristor (CCM) family. The CC memristors exhibit a highly nonlinear DC V-I curves, due to the presence of a higher degree of versatility in its dynamic route map (DRM) which has multiple stable equilibrium points. The DC V-I curves of CCMs are contiguous compared to most published highly-nonlinear DC V-I curves which have several disconnected branches. The DC V-I curves of CCMs have an explicit analytical equation with its parametric representation that rarely happens. In addition, each member of CCM family exhibits a negative slope region on its DC V-I curve which give rise to complexity by exploiting local activity; and complex phenomenon and information processing might emerge over the parameter ranges of CCMs either operating on or near the neighborhood of its edge of chaos domain [12,13,14,15,16].
The locally active CCM family exhibit asymptotical stability via the supercritical Hopf bifurcation [13,14,15,16]. The state altering of CCMs follows the nonlinear dynamic route of a chosen initial state xn(0) and repeats until the state reaches in a particularly stable state which is termed as an “attractor”. The state space of CCMs contain various attractors, and each attractor has its own basin of attraction [13,14,15,16]. The equilibrium state of these type of memristors moves by the amount of time integral of applied inputs or noises that are applied at a stable equilibrium state. However, the state of CCMs returns back to its original equilibrium state (attractor), unless the state moves beyond the boundary of the current basin of attraction [13,14,15,16]. Therefore, it can be utilized as a robust bistable or multistate memory device. However, the CC memristors lost a part of previous programming history in this procedure, where such a phenomenon is known as “local fading memory” in bistable and multistate memory devices [10,11].
Another feature of the multistate CCMs is the alteration of stable equilibria which requires an input pulse, either a sufficiently large amplitude with a short pulse width or a minimum pulse amplitude with lengthy pulse width. When input pulse is applied, the corsage memristors switch from one stable equilibrium state to another stable state by converging into the basin of the new stable attractor. The resistances or conductances of each attractor, i.e., stable equilibrium states, are distinguishably different from each other [12,13,14,15,16]. The successful alteration of the stable equilibria of CCMs is dependent on applied input pulse amplitude and width along with the initial condition. Trajectory movement of the altering equilibria can be demonstrated by computing the time-dependent exponential state trajectories xn(t) for an individual straight-line segment of PWL DRM where time t = tfn is required for the trajectory of xn(t) to move from any initial point to the end point of that particular segment.
In spite of theoretical insights, concepts from circuit and system theory, and techniques from nonlinear dynamics theory are devoted in this review to investigate the physical realization of the real emulator circuits for CCM family. To design a physical emulator circuit for CCMs, at least a passive nonlinear-resistive two-port along with a dynamic first-order one-port is required [10,11,12]. The passive nonlinear-resistive two-port is designed with two parallel connected Graetz bridges [17]. In contrast, the dynamic first-order one-port is designed with a capacitor in parallel with an active and locally active resistor where the resistor must exhibit the behavioral attributes of piecewise linear CCMs.
Rest of the article is organized as follows: Introduction of CCM family and their nonlinear dynamical attributes are presented in Section 2, followed by memory state switching kinetics in Section 3. Local activity and Hopf bifurcation are analyzed in Section 4, and the physical realization of CCM emulator is demonstrated in Section 5. Section 6 contains the concluding remarks.

2. CCM Family and their Nonlinear Dynamical Attributes

The versatile CCM family has three types of generic memristors, namely, 2-lobe CCM, 4-lobe CCM, and 6-lobe CCM. The state-dependent Ohm’s law and the piecewise linear state equations of the CCMs are defined as
State–Dependent Ohm’s Law:
i = G ( x ) v ,
where
G ( x ) = G 0 x 2 ,
and
State Equation:
d x d t = f m ( x ) + v ,
where x, v, and I denote the memristor state, voltage, and current, respectively. The intrinsic memductance scale of the memristor is fitted with scaling constant G0 and choose such a way so that the parameters of small-signal equivalent circuit or the current of CCMs will not be excessive. For simplicity in this review article, we choose G0 = 1. The state function fm(x) (“m = {2, 4, 6}” in Equation (3) represents the lobe number of the CCMs and determines one of the member of CCM family.) of the three types of CCM are different from each other and defined as
2 lobe   CCM :   f 2 ( x ) = 30 x + | x 20 | | x 40 | ,
4 lobe   CCM :   f 4 ( x ) = 59 x + | x 20 | | x 40 | + | x 65 | | x 95 | ,
and
6 lobe   CCM :   f 6 ( x ) = 33 x + | x 6 | | x 12 | + | x 20 | | x 30 | + | x 42 | | x 56 | .
The CCM family exhibits several interesting nonlinear dynamical attributes. Among them, this section analyzes the dynamic route map (DRM), power-off plot (POP), multivalued DC V-I curves and its explicit parametric representation.

2.1. Dynamic Route Map (DRM) and Power-off Plot (POP)

Any curve f(x, v) plotted in the phase plane, dx/dt vs. x plane, along with the direction of motion from the representative points is called a dynamic route in nonlinear circuit theory. It prescribes the dynamics of defining scalar nonlinear differential equation [18,19]. The dynamic route map (DRM) is the most powerful tool for analyzing the dynamics of any first-order differential equation dx/dt = f(x, v) despite its simplicity. It predicts the evolution of any initial state with increasing time [20]. However, the short-circuited (v = 0) dynamic route is known as the Power-off-Plot (POP) and defined as
d x d t | v = 0 = f m ^ ( x ,   0 ) ,
where
f m ^ ( x , 0 ) = f m ( x ) .
The power-off plot of CCM family is shown in Figure 1a–c. Observe from Figure 1a–c that any initial state x(0) on the upper half of the POP, where dx/dt > 0, the state variable x(t) must move to the right as x(t) increases with time. Contrarily, any initial state x(0) on the lower half of the POP, where dx/dt < 0, the state variable x(t) decreases with time and must move to the left. The stationary points, where dx/dt = 0 (i.e., f m ^ ( x ) intersects the x-axis), are known as equilibrium points in the theory of nonlinear dynamics [21]. According to nonlinear dynamics theory, the 2-lobe CCM has three equilibrium points (shown in Figure 1a), whereas, 4-lobe and 6-lobe CCMs contains five (shown in Figure 1b) and seven (shown in Figure 1c) equilibrium points, respectively. Equilibrium points Q1 (x = XQ1 = 3), Q3 (x = XQ3 = 15), Q5 (x = XQ5 = 35), and Q7 (x = XQ7 = 63), in Figure 1c, are stable, whereas, Q2 (x = XQ2 = 9), Q4 (x = XQ4 = 25), and Q6 (x = XQ6 = 49) are unstable equilibrium points because the state variable x(t) diverges away from Q2, Q4, and Q6. Similarly, equilibrium point Q2 (x = XQ2 = 30) in 2-lobe CCM, and the equilibrium points Q1 (x = XQ1 = 31) and Q3 (x = XQ3 = 81) in 4-lobe CCM are unstable equilibrium points, as shown in Figure 1a and b, respectively. Moreover, the equilibrium points Q1, Q3, Q5, and Q7 of 6-lobe CCM (in Figure 1c), Q0, Q2, Q4 of 4-lobe CCM (in Figure 1b), and Q0, Q1 of 2-lobe CCM (in Figure 1a) are stable as the corresponding eigenvalues of those equilibrium points of the CCMs are negative real numbers. In contrast, the unstable equilibrium points have positive real eigenvalues [22].
The dynamic route map of the 6-lobe CCM is shown in Figure 1d for input voltages v = V = {9 V, −7 V, −5 V, −3 V, 0 V, 3 V, 5 V, 7 V, 9 V}. Figure 1d shows that for any applied non-zero positive voltage (v = +VA), the red curve f(x, 0) is translated upward by VA units. For example, for v = +3 V, the corresponding DRM f(x, 3) (blue curve) is obtained by translating the red curve (parametrized by v = 0) upwards by 3 units. In contrast, for any non-zero negative voltage (v = −VA), the red curve f(x, 0) is translated downwards by VA units, as the DRM for f(x, −7) (burgundy curve) is obtained by translating the red curve (f(x, 0)) downward by 7 units for an input voltage v = −7 V, as shown in Figure 1d.

2.2. DC V-I Curve of CCM

DC V-I loci of the voltage-controlled CCMs are determined through circuit theoretic approach. For each value of voltage V, all equilibria (“k” represents the number of equilibrium points of a CCM.) x = X k of the CCMs are calculated using state equation (3) where dx/dt = 0 and defined as
f m ( x ) = V .
Then, the DC current i = I of the CCMs are determined at each corresponding equilibrium points as
I = G ( x )   V = G 0 X 2 f m ( x )
The DC V-I curves of CCM family are drawn in Figure 2 by plotting the coordinates (V, I) computed from Equations (9) and (10) for each value of X. The solid curves, in Figure 2, correspond to stable equilibrium states, and the dash curves correspond to unstable equilibrium states. Since the DC V-I curve, in Figure 2a, contains two contiguous lobes; hence, the V-I curve is called “two lobes corsage V-I curve” and the generic memristor is named as 2-lobe CCM. Similarly, the DC V-I curves in Figure 2b,c contain four and six contiguous lobes and known as “four lobes corsage V-I curve” and “six lobes corsage V-I curve”, respectively, and the generic memristors are named as 4-lobe CCM and 6-lobe CCM.
The five different colored DC V-I branches in Figure 2b represent the equilibrium points of corresponding colors in Figure 1b. The state variables at v = 0 V are x = 9 (red DC V-I curve Q0), x = 31 (green DC V-I curve Q1), x = 49 (blue DC V-I curve Q2), x = 81 (magenta DC V-I curve Q3), and x = 109 (purple DC V-I curve Q4) which reveals that the slopes (i.e., conductances G(x) = G0 x2) at origin are different and eventually indicates the presence of multiple states. The tabulated upper left inset of Figure 2b shows that the red DC V-I curve represents the lowest conductance state (resp., highest resistance state), whereas, the purple DC V-I curve represents the highest conductance state (resp., lowest resistance state). Similar to 4-lobe CCM, 6-lobe and 2-lobe CCM also exhibit the presence of multistate as shown in Figure 2c, and Figure 2a, respectively. However, the unstable dotted V-I curves correspond to unstable equilibrium points are going to converge either to the upper stable solid V-I curves (for any disturbance δx > XQn or δv > VQn) or lowering stable V-I curves (for δx < XQn or δv < VQn), where n determines the number of unstable equilibrium points. This affirms that the 2-lobe CCM has two stable states, whereas, 4-lobe and 6-lobe CCMs have three and four stable states. These stable equilibrium states can be utilized as memory states in a binary or multi-bit-per-cell memory device [12,13,14,15,16].
Moreover, Figure 2a and the lower right inset of Figure 2b and c show that each member of CCM family contain a negative-slope region on its DC V-I curves which reveals that the CC memristors are locally-active over its corresponding negative slope region as Re Z(iω) < 0 for DC input voltage (ω = 0) [14]. The locally-active negative slope region of Chua corsage memristors are significant in circuit theory as they might give rise to complexity through which complex phenomenon and information processing might emerge [23,24].

2.3. Explicit Parametric Representation of CCM

In contrast to DC V-I analysis, the parametric representation of CCMs can be derived for each DC voltage v = V at the DC equilibrium state x = X, namely, d x d t | ( v = V ,   x = X ) = f m ( x ) + v = 0 . In particular, substituting v = V, x = X, and d x / d t = 0 in (3), and solving for V, one can obtain
V = f m ( x ) v ^ ( X ) .
The parametric representation of the DC curreIt i = I of the CCMs can be derived by substituting V given by (11) for v = V in (1); namely,
I = G ( x )   V = G 0 X 2 f m ( x ) i ^ ( X ) .
The parametric representations of 6-lobe CCM (Due to the page limit we only analyze the parameter representation of the 6-lobe CCM.) are shown in Figure 3. Figure 3a, and b show the loci of parametric representation of V   = v ^ ( x )   v s .   X , and I   = i ^ ( x )   v s .   X , respectively, and the loci of parametrically represented V   = v ^ ( x )   v s .   I   = i ^ ( x ) is shown in Figure 3c.
Observe from Figure 3a,b that the equilibrium state X spans the entire horizontal axis, namely, −∞ < X < ∞. For any value X ∈ (−∞, ∞), one can calculate the corresponding DC voltage V, and DC current I using the exact formulas in Equations (11) and (12), respectively. Each point on the DC V-I curve, shown in Figure 3c, corresponds to an equilibrium state X, which may be stable (solid line), or unstable (dotted line). Since, for voltage 7 V ≤ V ≤ 7 V, the DC V-I curve exhibits multiple values, due to corresponding equilibrium states, hence, known as multivalued DC V-I curve.
It is important to note that the DC V-I curve in Figure 3c is obtained without solving any algebraic, or differential equations. Indeed, it is obtained by substituting any desired value of X, where −∞ < X < ∞, into the explicit analytical equations (11) for V = v ^ ( x ) and (12) for I = i ^ ( x ) . This derivation of CCMs DC V-I curve by direct substitution into the explicit state-dependent Ohm’s law, and state equation is a truly remarkable example for future researchers.
In addition, one of the most important features of CCMs is that the DC V-I curve is contiguous, which is different from many other published nonlinear DC V-I curves which exhibit several disconnected branches [18]. Another impressive feature is that the parametric representation and DC V-I curve of the CCMs have an explicit analytical equation, which rarely happens.

3. Switching Kinetics of CCM Family

DC V-I analysis, in Figure 3, and power-off-plot, in Figure 2, explicitly indicate that the Chua corsage memristors can be used as a binary and multistate memory device at v = 0 V. Conceptually, the simplest way to switch the memory states of a memory device is to apply a pulse input with an appropriate pulse amplitude VA, and pulse width Δw. For successful switching between the memory states of CCM, the square pulse should have a minimum pulse width Δw for appropriate pulse amplitude, VA. Any square pulse with less than the minimum pulse width results in switching failure. The switching kinetics of CCMs can be represented through its dynamic route map where the solution of each straight-line segments of DRM is an exponential function of state variable xn(t). The complete solution of time-dependent x(t) is made of a sequence of the exponential waveforms joined at the various breakpoints in the dynamic routes [12]. Due to complex and diversified dynamic routes with multiple asymptotically stable equilibrium points, 6-lobe CCM is chosen to illustrate the successful switching from lower conductance state (resp., higher resistance state) to higher conductance state (resp., lower resistance state) or vice-versa along with switching failure.
Example 1.
Successful switching from lower conductance state Q1 to higher conductance state Q5.
The dynamic route map, in Figure 4a, shows the example of a successful switching of the 6-lobe CCM from low conductance state Q1 to high conductance state Q5 when a pulse input with an amplitude VA= 5.5 V, and width Δw = 7.48 s is applied. According to Sect. II-A, the applied pulse with VA = 5.5 V is equivalent to translating the red curve f(x, 0) upwards by 5.5 units, as shown by the blue curve f(x, 5.5). The dynamic route starting from low conductance state Q1 (x = 3) at t = 0- would jump abruptly from Q1 on red curve to a point directly above Q1 on the blue curve (yellow circle) at t = 0+ (shown with upward green arrow) as the pulse input increases from 0 V to 5.5 V. Since the blue curve is located above the x-axis (where dx/dt > 0), its motion can only move to the right until time t = Δw. At t = Δw, the square pulse returns to zero and the point xΔw(t = Δw) = 26.5 (shown with green circle) on the blue curve (f(x, 5.5)) reverts back abruptly to the same point on the red curve (shown with light cyan circle followed by a downward green arrowhead). On red curve (f(x, 0)), state variable x(t) = xΔw(t) diverges away from unstable equilibrium point Q4 (x = 25) and must continue to move rightward along the dynamical movement of DRM (i.e., dx/dt > 0) until it converges to the low-resistance memory state Q5 (x = 35), as indicated with black arrowheads in Figure 4a.
The exponential trajectories of xn(t) related to the individual piecewise linear segments are shown in Figure 4b. The total time period needed for the x(t) (x(t) is the collective trajectory of all exponential trajectories xn(t) that originated from each straight-line segments of DRM between Q1 and Q5.) trajectory to reach to Q5 from Q1 is tfp = 17.2 s, although the applied pulse is removed at t = Δw = 7.48 s. This phenomenon illustrates the local fading memory attributes of 6-lobe CCM, but reveals the opportunity of utilizing it as a multistate memory device.
Example 2.
Successful switching from higher conductance state Q5 to lower conductance state Q1.
To switch from high conductance state Q5 to low conductance state Q1 of the 6-lobe CCM, a negative pulse with amplitude VA = −5.5 V and width Δwb = 7.684 s is applied. The dynamic route and the state trajectories x(t) of switching kinetics from Q5 to Q1 are shown in Figure 4c,d, respectively. Figure 4c shows that the dynamic route starting from Q5 (x = 35) on red curve jumps abruptly downward by −5.5 units at t = 0+, as shown with blue curve f(x, −5.5). The state variable x(t) then moves towards the lower conductance state Q1 as dx/dt < 0. At tb = Δwb, when the negative input is removed, state variable xΔwb (tb = Δwb) = 8.9 on blue curve returns to the exact same position on the red curve and continues to move towards Q1 (x = 3) as dx/dt < 0. The exponential trajectories of xn(t) from memory state Q5 to Q1 is shown in Figure 4d where the xn(t) decreases as the time increases and converges to x(tf1b) = 3 which is regarded as the Q1 memory state. The 6-lobe CCM exhibits dissimilar switching time in spite of similar pulse amplitude and greater pulse width as the switching time from higher to lower conductance states, tfpb = 20.701 s, is greater than tf = 17.2 s. This reveals that the CCM exhibits similar anti-symmetrical switching complication like as other memristive multistate memory devices.
Example 3.
Switching failure from lower conductance state Q1 to higher conductance state Q5.
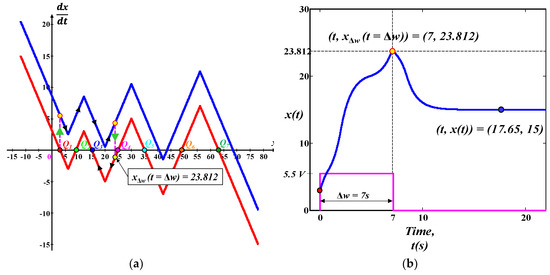
Amplitude VA and pulse width Δw of an applied input pulse plays a crucial role in the switching kinetics of memory states of the 6-lobe CCM. An inappropriate pulse amplitude or pulse width may result in switching failures which illustrated in Figure 5. An appropriate pulse amplitude VA = 5.5 V with a pulse width Δw = 7 s is applied to the 6-lobe CCM to switch the memory state from Q1 to Q5. Figure 5 shows that the exponential trajectories are converging to memory state Q3 (x = 15) rather than converging to memory state Q5 (x = 35). This switching failure happens as the state variable x(t) fails to cover the distance of x(t) > XQ4 = 25 with a pulse width Δw = 7 s. Before the removal of input, the trajectories of state variable x(t) reaches to a point xΔw(t = Δw) = 23.812 which lies in the left-hand side of Q4 (x = 25), as shown in Figure 5a. According to Section 2.1, any point lies in the left-side of Q4 (x = 25) should follow the dynamic route dx/dt < 0 (as shown with black arrowhead in Figure 2) and converges to equilibrium state Q3 and in this case, the state variable x(t) follows the same route dx/dt < 0 and converges to Q3 (x = 15) rather converging to memory state Q5 (x = 35), as shown in Figure 5b.
To overcome the switching failure problem, this review article includes the universal formulas (For detail derivation and explanation regarding the universal formulas please refer to ref. [12] and its supplementary materials.) that is required to determine the appropriate pulse amplitude VA and pulse width Δw. To do so, the exponential trajectories of state variable xn(t) and the time tfn that required for the trajectorial movement from any initial point x(tin) to the end of straight-line segment of DRM are computed. The exponential trajectory of state variable xn(t) of a straight-line segment of the DRM at an equilibrium point Qn is determined as
x n ( t ) = Q n m v ( t ) ( 1 e m ( t t i n ) ) ( Q n x ( t i n ) ) e m ( t t i n ) ,
where, n represents the number of equilibrium points and m represents the sign value of the straight-line slope,
m = s g n ( d x d t | s t a r t   d x d t | e n d x s t a r t   x e n d ) ,
and tin is the initial time of the straight-line segment; whereas, x(tin) represents the initial state at tin. The time (tfn), that required for the trajectory of xn(t) to move from any initial point x(tin) to the end of the straight-line segment of DRM, can be defined as
t f n = t i n + 1 m l n [ | Q n m v ( t ) x ( t f n ) Q n m v ( t ) x ( t i n ) | ] Δ t f n .
The complete movement of the exponential trajectories of state variable xn(t) can be determined by accumulating all the individual exponential trajectories of the straight-line segments of DRM,
x ( t ) = n = 1 p x n ( t )   ( t i n t < t f n ) ,  
where there trajectories of xn(t) only valid over tin ≤ t < tfn and p represent the total number of PWL segments of the DRM between initial point x(tin)and final converged equilibrium point Qn.
The appropriate pulse amplitude VA is determined as
V A >    Q ( n 1 )   x   ( t 0 ( n 1 ) ) ,
where Q(n-1) and x(t0(n-1)) represent the immediate before equilibrium point and the initial state of the resultant memory state Qn.
The pulse width Δw is defined as
Δ w = n = 0 q t f n   ( x ( t i n ) x ( t )   x Δ w ( t =   Δ w ) ) ) ,
where q represents the number of straight-line segments of the DRM over x(tin) ≤ x(t) ≤ xΔw (t = Δw) and xΔw is the user-defined state where the applied input is removed. The value of user-defined xΔw determines whether the alteration of memory states is going to be successful or not. For example, in spite choosing xΔw (t = Δw) > X = 25(Q4) in Figure 4a, any user-define state value xΔw (t = Δw) ≤ X = 25(Q4) results in unsuccessful switching between Q1 and Q5 and the resultant exponential trajectory converges to Q3 memory state, as shown in Figure 5.
These formulas (Equations (13)–(18)) are universal as they can be applicable to any piecewise linear dynamic routes for any DC or pulse input and with any number of segments. Moreover, the universal formulas in Equations (17) and (18) compute the minimum pulse amplitude and width, which can be used to solve the anti-symmetrical switching complications, in Example 2. Unlike other memristive multistate memory devices which require empirical approach, the CC memristors are defined by universal analytical formulas to determine the appropriate pulse amplitude and width for successful switching from lower conductance state to higher conductance state or vice-versa.

4. Local Activity and Bifurcation Analysis

Local activity principle predicts the presence of complex phenomena in a nonlinear dynamical system [23]. Particularly it affirms that a nonlinear circuit made of 2-terminal circuit elements, and/or more complicated 2-terminal devices, can exhibit complex bifurcation phenomena, such as oscillation and chaos, if and only if the circuit contains at least one nonlinear locally-active element. The fundamental deep mathematical theorem given in [23] allows testing the locally active phenomenon of a device about some equilibrium points, i.e., DC operating points.
According to the theorem presented in [23], 2-lobe, 4-lobe and 6-lobe CCMs are locally active over the interval 10 V < V < −3.334 V (in Figure 2a), 9 V < V < −3 V (in Figure 2b), and −3 V < V < −1 V (Figure 2c), respectively, as the slope at any point Q over these intervals is negative, i.e., Re [Y()] < 0 at Q and ω = 0 (DC input), which satisfies the locally active criterion of Re [Z()] < 0, or Re [Y()] < 0, for at least one frequency ω [13,14,15,16]. Moreover, all the members of the CCM family exhibit an edge of chaos domains (Edge of Chaos is a relatively small subclass of local activity [16]. For details regarding local activity and edge of chaos please refer to ref. [23]) over the same voltage interval as that of local activities [13,14,15,16].
Nonlinear dynamical systems satisfying the edge of chaos criterion can exhibit bifurcation from a stable equilibrium point regime to a chaotic regime by forced excitation [25]. In a local bifurcation, called the Hopf bifurcation, an equilibrium point of the system’s differential equations loses its stability as a pair of complex conjugate eigenvalues, or equivalently poles of its associated admittance Y(s, V) or impedance Z(s, I), cross the imaginary axis of the complex plane at some critical parameter value μc [26]. Hopf bifurcation theorem asserts that under a relatively general situation, a small-amplitude sinusoidal oscillation will emerge for the control parameter μ > μc, and whose amplitude A increases proportional to μ μ c , for μ close to μc [26,27]. The oscillators made from Chua corsage memristors exhibits Hopf bifurcation as it is endowed with a pair of complex conjugate poles on the imaginary axis (known as Hopf bifurcation points) of the complex plane [13,14,15,16].
The Hopf bifurcation exhibited in the CCM oscillator circuits (The CCM oscillator circuits are designed by connecting the corsage memristors in series with an external inductor and a battery [13,14,15,16].) are classified as supercritical because the typical supercritical amplitude A v ( V ) = x ¯ 2 + i ¯ L 2 at Hopf bifurcation points, shown in Figure 6a,b, is quite similar to the curve computed from the analytical formulas (To avoid the emergence of complex number, the absolute value of (µ − µc) is used in the analytical formulas. The critical parameters are μc1 = −2.25 V and μc2 = −1.75 V for 6-lobe CCM and constants k1 = 2.65 and k2 = 8.75 are determined empirically for 6-lobe CCM oscillator circuit [16].) A m 1 ( V ) = k 1 [ | V + μ c 1 | ] and A m 2 ( V ) = k 2   [ | V + μ c 2 | ] with control parameter µ = V and critical parameter μc1 and μc2 [16]. In this review article, the supercritical Hopf bifurcation theorem is analyzed using 6-lobe CCM oscillator circuit. However, the same bifurcation analogies and amplitude equations hold for 2-lobe and 4-lobe CCM oscillator circuits except for the critical parameter of μc1 and μc2, and constants k1 and k2.
According to the supercritical Hopf bifurcation theorem [26,27], the 6-lobe CCM oscillator circuit must exhibit a small stable near-sinusoidal oscillation, i.e., a limit cycle, over a small range of V beyond the critical parameter value (For better understanding about the choice of critical parameters μc1 = −2.25 V and μc2 = 1.75 V please refer to Sect. 4.3 and Figure 13 of ref. [16]) μc1 = V = −2.25 V. Figure 7a and d show that the transient waveforms converge to 2 asymptotically stable equilibrium points Q 0 1 ( 0.7 ,   1.127 ) for the parameter value V = −2.3 V, (which is near, but to the left of the first Hopf bifurcation point μc1 = V = −2.25 V (see inset of Figure 13 in ref. [16])), and Q 0 2 ( 1.3 ,   2.873 ) for V = −1.7 V (which is near, but to the left of the second Hopf bifurcation point μc2 = V = −1.75 V), respectively. However, the transient waveforms generated by 6-lobe CCM from two different initial states (x(0) = 0.95, iL (0) = −2.031) and (x(0) = 0.8, iL (0) = −1.43) in Figure 7b converge to the yellow stable limit cycle for V = −2.23 V (which is near, but to the right of the first Hopf bifurcation point μc1 = V = −2.25 V). Moreover, transient waveforms generated from two different initial states (x(0) = 1.1, iL (0) = −2.431) and (x(0) = 1.2, iL (0) = −3.53) for V = −1.77 (which is near, but to the right of the second Hopf bifurcation point μc2 = V = −1.75 V (see inset of Figure 13 in ref. [16])) converge to a larger yellow limit cycle shown in Figure 7c. The numerical simulation results shown in Figure 7 affirm that the 6-lobe CCM oscillator circuit exhibits a stable limit cycle when the bifurcation parameter μ = V is chosen between the Hopf bifurcation points at μc1 = V = −2.25 V and μc1 = V = −1.75 V, as predicted by the supercritical Hopf bifurcation theorem [16]. Similar supercritical Hopf bifurcation analogies also exhibits in 2-lobe and 4-lobe CCM oscillator circuits [13,14,15].

5. Physical Realization of CCM Family

Chua corsage memristors, shown in Figure 8a, can be physically realized in circuit by including the switching kinetics closer to the behavioral attributes of each segment of PWL dynamic route map. A passive nonlinear-resistive two-port and a dynamic first-order one-port are cascaded to design an emulator circuit for CCM memristor [10], as shown in Figure 8b. The passive nonlinear-resistive two-port is composed of parallel connected Graetz bridges [17] with anti-serial diodes and the dynamic first-order one-port is made up of a C-R parallel circuit. Two set of Graetz bridge are used to supply double amount of input current to the dynamic first-order one-port, i.e., C-R parallel circuit, for faster switching of memory states.
The DC V-I curve of active and locally active resistor R0 in dynamic one-port, in Figure 8b, should exhibit the same number of contiguous breakpoints to that of the DC V-I curves of CCMs. For example, the DC V-I curve of R0 for 2-lobe CCM emulator must have two breakpoints, whereas, for 4-lobe and 6-lobe emulator the DC V-I curve of R0 should exhibit four and six contiguous breakpoints, respectively.
To design the nonlinear resistor R0 for CCM emulators, circuit theoretic analysis is conducted on opamps to obtain the desired DC V-I breakpoints at specific voltages to that of CC memristors. The driving point characteristic of a single positive and negative feedback op-amp circuit provides two breakpoints on its piecewise linear DC V-I curve [28]. Therefore, only a single positive and negative feedback op-amp circuit is sufficient to design an active and locally active R0 for 2-lobe CCM emulator, as shown in Figure 9a. However, two and three parallel-connected opamp circuits are required to design a four and six breakpoint piecewise linear DC V-I curves for 4-lobe and 6-lobe CCMs, respectively, as shown in Figure 9b,c. The circuit theoretic analysis for designing the CCM emulator circuit is conducted on 6-lobe CC memristor, as it has the highest number of breakpoints on its contiguous six lobes corsage DC V-I curve.
The circuit components and parameters of the parallel-connected opamps, in Figure 9c, are exactly same except the negative feedback resistances (R641, R642, and R643). The effective saturation voltage (βEsat) of an individual op-amp circuit is determine by the negative feedback resistance which plays a crucial role to achieve the desired V-I breakpoints at specified voltages, such as V= ±3 V, V= ±5 V, and V= ±7 V (The 6-lobe CCM has six breakpoints on its DC V-I curve at V = {±3 V, ±5 V, ±7 V} as shown in Figure 2c). However, the positive feedback path of the op-amp circuits might arise difficulties with the driving-point and transfer function. Such complication can be resolved by replacing the op-amp circuit with three ideal models, such as “– Saturation region”, “Linear region”, and “+ Saturation region”. According to the circuit theoretic approach presented in [12], the three ideal models generate the following combine current (in) of an individual opamp circuit for an input voltage v,
i n   = [ 1 R 67 n [ v ( 1 + R 67 n R 67 n ) + E s a t ] ] Saturation   Region   ( v β E s a t ) + [ 1 R 67 n [ v ( 1 + R 67 n R 67 n ) v o n ] ] Linear   Region   ( β E s a t v β E s a t ) + [ 1 R 67 n [ v ( 1 + R 67 n R 67 n ) E s a t ] ] + Saturation   Region   ( v β E s a t )
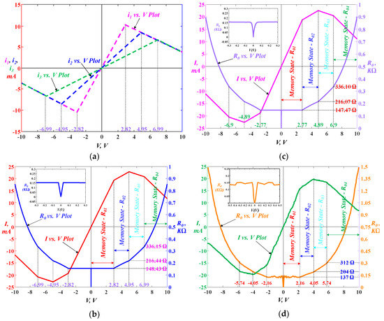
where n = {1, 2, and 3} denotes the operating opamp circuit. Figure 10a shows the mathematically computed V-in plots of the individual currents of opamp circuits. Observe that each V-I curves has two breakpoints at specific voltage at V = ± 2.82 V, V = ± 4.95 V, and V = ± 6.99 V. The value of the breakpoints are a bit dissimilar to that of 6-lobe CCM (V = {±3 V, ±5 V, ±7 V}) as the measured resistive parameters (R631 = R632 = R633 = 0.985K, R661 = R662 = R663 = 100.5K, R671 = R672 = R673 = 1.001K, R641 = 3.888K, R642 = 1.797K, R643 = 0.987K) are used in simulation.
The total current of parallel-connected opamp circuit is equal to the summation of all individual opamp currents, i   = n = 1 3 i n . The mathematical simulation of V-I curve and the resistance of active and locally active R0 (R0 = V/I) are shown in Figure 10b, whereas, the SPICE simulation and circuit implementation waveforms are shown in Figure 10c, and d, respectively. Observe from circuit implementation waveforms, in Figure 10d, that the locally active R0 remains almost constant at R01 = 137Ω over an input voltage range 2.16 V < V < 2.16 V, except for a tiny interval at the origin. For ±2.16 V < V < ± 4.05 V, ±4.05 V < V < ±5.74 V, and V > ±5.74 V, R0 increase from 137 to 204 , 204 to 312 Ω, and 312 Ω to Rmax (very large resistance value), respectively. However, the increment rate of R0 is dissimilar for each voltage range which reveals that the slope is constant in a particular voltage range, but inconstant for different voltage ranges. This suggests that the active and locally active R0 exhibits four distinct memory states, namely, R01, R02, R03, and R04 as shown in Figure 10b–d.
The numerical values of DC V-I breakpoints and the resistance ranges of nonlinear resistor R0 (in Figure 10b–d) for mathematical modeling, SPICE simulation, and circuit implementation are unequal. The reason behind such inequality is the non-ideal circuit components of the SPICE module and the non-ideal characteristic of the implemented opamps along with noise induction from DC power supply and oscilloscope probe. Although the breakpoints of DC V-I curves in Figure 2c and Figure 10b–d are quantitatively different, but qualitatively same. This reveals that the DC V-I curve of any real nonlinear resistor can be converted into a memristor by applying the basic method explained in [10,11,12] and [18].
However, unlike a passive nonlinear-resistive two-port emulator circuit, the bi-stability and multi-stability phenomena of Chua Corsage Memristors can be realized by a single device as demonstrated in recent literature [29,30,31]. The NbO2 Mott memristor [29,30] exhibits an analogous dynamic route to that of 2-lobe CCM which has two stable and one unstable equilibrium points on its dynamic route map (dT/dt vs. T (Figure 1 [29])). The state switching attributes of NbO2 memristor are identical to 2-lobe CCM and regarded as bi-stable device. The universal formulas of switching kinetics (in Section 3) can be applicable to NbO2 Mott memristor as the PWL dynamic route, and switching kinetics are explicitly similar to 2-lobe CCM. In addition, HfOx/AlOy-based homeothermic memristor [31] has a similar number of stable equilibrium states (i.e., four temperature-dependent equilibrium states corresponding to its four dynamic conductances (Figure 3 in [31])) to that of 6-lobe CCM. When driven by DC input, the homeothermic memristor exhibits four distinct DC V-I curves corresponding to its four temperature-dependent dynamic conductances (Figure 3e and f in [31]) which is identical to 6-lobe CCM (shown in Figure 2c and Figure 10). In spite of the quantitative dissimilarities, the NbO2 Mott memristor and homeothermic memristor qualitative exhibit the bi-stability and multi-stability phenomena of CC memristors.

6. Concluding Remarks

This review article presents an in-depth and rigorous analysis of the nonlinear dynamical attributes, switching kinetics, and physical realization of Chua corsage memristors (CCMs). The versatile CCMs exhibit multiple stable equilibria on their complex and diversified, dynamic route map (DRM) and power-off plot (POP). Due to the presence of a higher degree of versatility in DRM, the CC memristors have a variety of dynamic paths in response to different initial conditions which reveals a highly nonlinear DC V-I curves. Unlike most published highly-nonlinear DC V-I curves which have several disconnected branches, the DC V-I curves of CCMs are contiguous. Moreover, the parametric representation and DC V-I curves of CCMs have an explicit analytical equation, which rarely happens.
The multiple stable equilibria on the DRM of CCMs reveal that it can be utilized as binary and multistate memory device whose exponential state trajectories for a particular linear piecewise segment, time period that required for the state trajectorial movement of the particular PWL segment, and the appropriate pulse amplitude and width that required for successful memory state switching can easily be determined from the universal formulas presented in Sect. 3. These universal formulas are applicable to any PWL DRM curves with any number of segments for any DC or pulse input.
Another impressive feature of CCMs is the locally active negative slope region of the DC V-I curves which gives rise to complex phenomenon, such as oscillation, by exploiting the edge of chaos and supercritical Hopf bifurcation theorem.
Last, but not least, the off-the-shelf active and locally active resistor (R0) in CCM emulators (designed with opamp or parallel-connected opamp circuits) is capable of emulating the attributes of the CCM DC V-I curves and proved that a memristor could be implemented using any real nonlinear resistor. Moreover, NbO2 Mott memristor and HfOx/AlOy-based homeothermic memristor reveals that the bi-stability and multi-stability phenomena of Chua corsage memristors can also be realized with a single physical device.

Author Contributions

Conceptualization, Z.I.M. and H.K.; methodology, Z.I.M. and H.K.; software, Z.I.M.; validation, Z.I.M. and H.K.; formal analysis, Z.I.M.; investigation, Z.I.M.; resources, Z.I.M. and H.K.; data curation, Z.I.M. and H.K.; writing—original draft preparation, Z.I.M.; writing—review and editing, Z.I.M. and H.K.; visualization, Z.I.M.; supervision, Z.I.M. and H.K.; project administration, H.K.; funding acquisition, H.K. All authors have read and agreed to the published version of the manuscript.

Funding

This work was supported in part by the Basic Science Research Program through the National Research Foundation of Korea (NRF) funded by the Ministry of Education (NRF-2019R1A6A1A09031717 and NRF-2019R1A2C1011297), and the US Air Force Office of Scientific Research under Grant no. FA9550-18-1-0016.

Conflicts of Interest

There is no conflict of interest.

References

  1. Chua, L.O. Memristor-the missing circuit element. IEEE Trans. Circuit Theory 1971, 18, 507–519. [Google Scholar] [CrossRef]
  2. Chua, L.O.; Kang, S.M. Memristive devices and systems. Proc. IEEE 1976, 64, 209–223. [Google Scholar] [CrossRef]
  3. Strukov, G.; Snider, S.; Stewart, D.R.; Williams, R.S. The missing memristor found. Nature 2008, 453, 80–83. [Google Scholar] [CrossRef] [PubMed]
  4. Kim, S.; Jung, S.; Kim, M.; Chen, Y.; Chang, Y.; Ryoo, K.; Cho, S.; Lee, J.; Park, B. Scaling effect on silicon nitride memristor with highly doped si substrate. Small 2018, 14, 1704062. [Google Scholar] [CrossRef]
  5. Chang, Y.; Zhou, F.; Fowler, B.W.; Chen, Y.; Hsieh, C.; Guckert, L.; Swartzlander, E.E.; Lee, J.C. Memcomputing (memristor + computing) in intrinsic SiOx-based resistive switching memory: Arithmetic operations for logic applications. IEEE Trans. Electron Devices 2017, 64, 2977–2983. [Google Scholar] [CrossRef]
  6. Zhou, F.; Guckert, L.; Chang, Y.; Swartzlander, E.E.; Lee, J.C. Bidirectional voltage biased implication operations using SiOx based unipolar memristors. Appl. Phys. Lett. 2015, 107, 183501. [Google Scholar] [CrossRef]
  7. Kim, S.; Kim, H.; Hwang, S.; Kim, M.; Chang, Y.; Park, B. Analog synaptic behavior of a silicon nitride memristor. ACS Appl. Mater. Interfaces 2017, 9, 40420–40427. [Google Scholar] [CrossRef]
  8. Mannan, Z.I.; Adhikari, S.P.; Yang, C.; Budhathoki, R.K.; Kim, H.; Chua, L. Memristive imitation of synaptic transmission and plasticity. IEEE Trans. Neural Netw. Learn. Syst. 2019, 30, 3458–3470. [Google Scholar] [CrossRef]
  9. Stathopoulos, A.; Khiat, A.; Trapatseli, M.; Cortese, S.; Serb, A.; Valvo, I.; Prodromakis, T. Multibit memory operation of metal-oxide bi-layer memristors. Sci. Rep. 2017, 7, 17532. [Google Scholar] [CrossRef]
  10. Ascoli, A.; Tetzlaff, R.; Chua, L.O. The First Ever Real Bistable Memristors—Part I: Theoretical Insights on Local Fading Memory. IEEE Trans. Circuits Syst. II 2016, 63, 1091–1095. [Google Scholar] [CrossRef]
  11. Ascoli, A.; Tetzlaff, R.; Chua, L.O. The First Ever Real Bistable Memristors— Part II: Analysis of a Local Fading Memory. IEEE Trans. Circuits Syst. II 2016, 63, 1096–1100. [Google Scholar] [CrossRef]
  12. Mannan, Z.I.; Yang, C.; Adhikari, S.P.; Kim, H. Exact analysis and physical realization of the 6-lobe Chua Corsage Memristor. Complexity 2018, 2018, 8405978. [Google Scholar] [CrossRef]
  13. Mannan, Z.I.; Yang, C.; Kim, H. Oscillation with 4-lobe Chua corsage memristor. IEEE Circuit Syst. Mag. 2018, 18, 14–27. [Google Scholar] [CrossRef]
  14. Mannan, Z.I.; Choi, H.; Kim, H. Chua Corsage Memristor Oscillator via Hopf Bifurcation. Int. J. Bifurc. Chaos 2016, 26, 1630009–1-28. [Google Scholar] [CrossRef]
  15. Mannan, Z.I.; Choi, H.; Rajamani, V.; Kim, H.; Chua, L. Chua corsage memristor: Phase portraits, basin of attraction, and coexisting pinched hysteresis loops. Int. J. Bifurc. Chaos 2017, 27, 173001–1–36. [Google Scholar] [CrossRef]
  16. Mannan, Z.I.; Adhikari, S.P.; Kim, H.; Chua, L. Global dynamics of Chua Corsage Memristor circuit family: Fixed-point loci, Hopf bifurcation, and co-existing dynamic attractors. Nonlinear Dyn. 2019, in press. [Google Scholar] [CrossRef]
  17. Strzelecki, R.; Zinoviev, G.S. Overview of power converters and controls. In Power Electronics in Smart Electrical Energy Networks; Springer Limited: London, UK, 2008; Chapter 3, Section 3.1; p. 57. [Google Scholar]
  18. Chua, L. If it’s pinched it’s a memristor. Semicond. Sci. Technol. 2014, 29, 104001–1-42. [Google Scholar] [CrossRef]
  19. Chua, L. Everything you wish to know about memristors but are afraid to ask. Radio Eng. 2015, 24, 319–368. [Google Scholar] [CrossRef]
  20. Chua, L. Five non-volatile memristor enigmas solved. Appl. Phys. A 2018, 124, 1–43. [Google Scholar] [CrossRef]
  21. Chua, L.O. Introduction to Nonlinear Network Theory; McGraw-Hill: New York, NY, USA, 1969. [Google Scholar]
  22. Slotine, J.J.E.; Li, W. Advanced Stability Theory. In Applied Nonlinear Control; Prentice-Hall, Inc.: Englewood Cliffs, NJ, USA, 1991. [Google Scholar]
  23. Mainzer, K.; Chua, L. Local Activity Principle: The Cause of Complexity and Symmetry Breaking; Imperial College Press: London, UK, 2013. [Google Scholar]
  24. Sah, M.P.; Mannan, Z.I.; Kim, H.; Chua, L. Oscillator made of only one memristor and one battery. Int. J. Bifurc. Chaos 2015, 25, 1530010. [Google Scholar] [CrossRef]
  25. Itoh, M.; Chua, L. Chaotic oscillation via edge of chaos criteria. Int. J. Bifurc. Chaos 2017, 27, 1730035. [Google Scholar] [CrossRef]
  26. Kuznetsov, Y.A. Andronov: Hopf bifurcation. Scholarpedia 2006, 1, 1858. [Google Scholar] [CrossRef]
  27. Strogatz, S.H. Nonlinear Dynamics and Chaos, 2nd ed.; Perseus Books Publishing L. L. C.: New York, NY, USA, 1994. [Google Scholar]
  28. Chua, L.O.; Desoer, C.A.; Kuh, E.A. Operational-amplifier circuits. In Linear and Nonlinear Circuits; McGraw Hill: New York, NY, USA, 1985; Chapter 4, Section 3; pp. 187–212. [Google Scholar]
  29. Kumar, S.; Strachan, J.; Williams, R. Chaotic dynamics in nanoscale NbO2 Mott memristors for analogue computing. Nature 2017, 548, 318–321. [Google Scholar] [CrossRef]
  30. Kumar, S.; Wang, Z.; Davila, N. Physical origins of current and temperature controlled negative differential resistances in NbO2. Nat. Commun. 2017, 8, 658. [Google Scholar] [CrossRef]
  31. Kim, S.; Chen, J.; Chen, Y.; Jung, S.; Kim, M.; Kim, H.; Kwon, M.; Hwang, S.; Ismail, M.; Li, Y.; et al. Neuronal dynamics in HfOx/AlOy-based homeothermic synaptic memristors with low-power and homogeneous resistive switching. Nanoscale 2019, 11, 237–245. [Google Scholar] [CrossRef]
Figure 1. Dynamic route map (DRM) and power-off plot (POP) of Chua corsage memristors (CCMs). POP of (a) 2-lobe CCM, (b) 4-lobe CCM, (c) 6-lobe CCM, and (d) DRM of 6-lobe CCM.
Figure 1. Dynamic route map (DRM) and power-off plot (POP) of Chua corsage memristors (CCMs). POP of (a) 2-lobe CCM, (b) 4-lobe CCM, (c) 6-lobe CCM, and (d) DRM of 6-lobe CCM.
Electronics 09 00369 g001
Figure 2. DC V-I curves of (a) 2-lobe CCM, (b) 4-lobe CCM, and (c) 6-lobe CCM. The lower right insets of figure (b) and (c) show the zoomed portion of red DC V-I curves and the upper left insets show the slope and state variable X values at V = 0 V, respectively.
Figure 2. DC V-I curves of (a) 2-lobe CCM, (b) 4-lobe CCM, and (c) 6-lobe CCM. The lower right insets of figure (b) and (c) show the zoomed portion of red DC V-I curves and the upper left insets show the slope and state variable X values at V = 0 V, respectively.
Electronics 09 00369 g002
Figure 3. Parametric representation of the 6-lobe CCM. (a) Voltage V   = v ^ ( X ) vs. state variable X, and (b) current I   = i ^ ( x ) vs. state variable X. (c) DC V-I plot, where the coordinates (V, I) of each point are extracted from (a) and (b).
Figure 3. Parametric representation of the 6-lobe CCM. (a) Voltage V   = v ^ ( X ) vs. state variable X, and (b) current I   = i ^ ( x ) vs. state variable X. (c) DC V-I plot, where the coordinates (V, I) of each point are extracted from (a) and (b).
Electronics 09 00369 g003
Figure 4. Memory states switching kinetics of the 6-lobe CCM. (a) Successful switching from lower conductance state Q1 to higher conductance state Q5 and (b) movement of the exponential trajectories of xn(t) with respect to time, t, for an input square pulse VA = 5.5 V and Δw = 7.48 s. (c) Successful switching from higher conductance state Q5 to lower conductance state Q1 and (d) movement of the exponential trajectories of xn(t) with respect to time, t, for an input square pulse VA = −5.5 V and Δwb = 7.684 s.
Figure 4. Memory states switching kinetics of the 6-lobe CCM. (a) Successful switching from lower conductance state Q1 to higher conductance state Q5 and (b) movement of the exponential trajectories of xn(t) with respect to time, t, for an input square pulse VA = 5.5 V and Δw = 7.48 s. (c) Successful switching from higher conductance state Q5 to lower conductance state Q1 and (d) movement of the exponential trajectories of xn(t) with respect to time, t, for an input square pulse VA = −5.5 V and Δwb = 7.684 s.
Electronics 09 00369 g004
Figure 5. Switching failures of the 6-lobe corsage memristor from Q1 to Q5 for a pulse amplitude VA = 5.5 V and pulse width Δw = 7 s. (a) Dynamic routes of the switching kinetics, (b) movement of the exponential trajectories of xn(t) with respect to time, t. The switching failure happens due to insufficient pulse width.
Figure 5. Switching failures of the 6-lobe corsage memristor from Q1 to Q5 for a pulse amplitude VA = 5.5 V and pulse width Δw = 7 s. (a) Dynamic routes of the switching kinetics, (b) movement of the exponential trajectories of xn(t) with respect to time, t. The switching failure happens due to insufficient pulse width.
Electronics 09 00369 g005
Figure 6. Numerical verification of supercritical Hopf bifurcation of the 6-lobe CCM oscillator circuit. Verification of supercritical Hopf bifurcation as a parameter µ = V near (a) first Hopf bifurcation point µc1 = V = −2.25 V, and (b) second Hopf bifurcation point µc2 = V = −1.75 V where k1 = 2.65 and k2 = 8.75 obtained empirically [16].
Figure 6. Numerical verification of supercritical Hopf bifurcation of the 6-lobe CCM oscillator circuit. Verification of supercritical Hopf bifurcation as a parameter µ = V near (a) first Hopf bifurcation point µc1 = V = −2.25 V, and (b) second Hopf bifurcation point µc2 = V = −1.75 V where k1 = 2.65 and k2 = 8.75 obtained empirically [16].
Electronics 09 00369 g006
Figure 7. Numerical simulation results of supercritical Hopf bifurcation theorem of 6-lobe CCM oscillator circuit with external inductor L* = 355.5 mH. (a) Transient waveform converges to Q 0 1 ( 0.7 ,   1.127 ) for V = −2.3 V with initial condition (x(0), iL(0)) = (0.95, −2.031), (b) Transient waveforms generated from two different initial states (x(0), iL(0)) = (0.95, −2.031) and (x(0), iL (0)) = (0.8, −1.43) converge to a yellow limit cycle for V = −2.23 V, (c) Transient waveforms generated from two different initial states (x(0), iL(0)) = (1.1, −2.431) and (x(0), iL(0)) = (1.2, −3.53) converge to a large yellow limit cycle for V = −1.77 V, and (d) Transient waveform converges to Q 0 2 ( 1.3 ,   2.873 ) for V = −1.7V with initial condition (x(0), iL(0)) = (0.95, −2.031).
Figure 7. Numerical simulation results of supercritical Hopf bifurcation theorem of 6-lobe CCM oscillator circuit with external inductor L* = 355.5 mH. (a) Transient waveform converges to Q 0 1 ( 0.7 ,   1.127 ) for V = −2.3 V with initial condition (x(0), iL(0)) = (0.95, −2.031), (b) Transient waveforms generated from two different initial states (x(0), iL(0)) = (0.95, −2.031) and (x(0), iL (0)) = (0.8, −1.43) converge to a yellow limit cycle for V = −2.23 V, (c) Transient waveforms generated from two different initial states (x(0), iL(0)) = (1.1, −2.431) and (x(0), iL(0)) = (1.2, −3.53) converge to a large yellow limit cycle for V = −1.77 V, and (d) Transient waveform converges to Q 0 2 ( 1.3 ,   2.873 ) for V = −1.7V with initial condition (x(0), iL(0)) = (0.95, −2.031).
Electronics 09 00369 g007
Figure 8. Circuit diagram of (a) Chua corsage memristors and (b) Chua corsage memristor emulators with bi-stability or multi-stability input dynamics.
Figure 8. Circuit diagram of (a) Chua corsage memristors and (b) Chua corsage memristor emulators with bi-stability or multi-stability input dynamics.
Electronics 09 00369 g008
Figure 9. Circuit diagram of the active and locally active nonlinear resistor R0 for (a) 2-lobe CCM, (b) 4-lobe CCM, and (c) 6-lobe CCM.
Figure 9. Circuit diagram of the active and locally active nonlinear resistor R0 for (a) 2-lobe CCM, (b) 4-lobe CCM, and (c) 6-lobe CCM.
Electronics 09 00369 g009
Figure 10. (a) DC voltage V vs. current i1, i2, and i3 diagram, (b) I vs. V and R0 vs. V plot of mathematical model, (c) I vs. V and R0 vs. V plot of spice circuit simulation, and (d) I vs. V and R0 vs. V plot of the actual circuit implementation of the active and locally active resistor of the 6-lobe CCM emulator.
Figure 10. (a) DC voltage V vs. current i1, i2, and i3 diagram, (b) I vs. V and R0 vs. V plot of mathematical model, (c) I vs. V and R0 vs. V plot of spice circuit simulation, and (d) I vs. V and R0 vs. V plot of the actual circuit implementation of the active and locally active resistor of the 6-lobe CCM emulator.
Electronics 09 00369 g010

Share and Cite

MDPI and ACS Style

Mannan, Z.I.; Kim, H. Nonlinear Dynamics, Switching Kinetics and Physical Realization of the Family of Chua Corsage Memristors. Electronics 2020, 9, 369. https://doi.org/10.3390/electronics9020369

AMA Style

Mannan ZI, Kim H. Nonlinear Dynamics, Switching Kinetics and Physical Realization of the Family of Chua Corsage Memristors. Electronics. 2020; 9(2):369. https://doi.org/10.3390/electronics9020369

Chicago/Turabian Style

Mannan, Zubaer Ibna, and Hyongsuk Kim. 2020. "Nonlinear Dynamics, Switching Kinetics and Physical Realization of the Family of Chua Corsage Memristors" Electronics 9, no. 2: 369. https://doi.org/10.3390/electronics9020369

APA Style

Mannan, Z. I., & Kim, H. (2020). Nonlinear Dynamics, Switching Kinetics and Physical Realization of the Family of Chua Corsage Memristors. Electronics, 9(2), 369. https://doi.org/10.3390/electronics9020369

Note that from the first issue of 2016, this journal uses article numbers instead of page numbers. See further details here.

Article Metrics

Back to TopTop