A Novel Printable Tag of M-Shaped Strips for Chipless Radio-Frequency Identification in IoT Applications
Abstract
1. Introduction
2. Tag Design
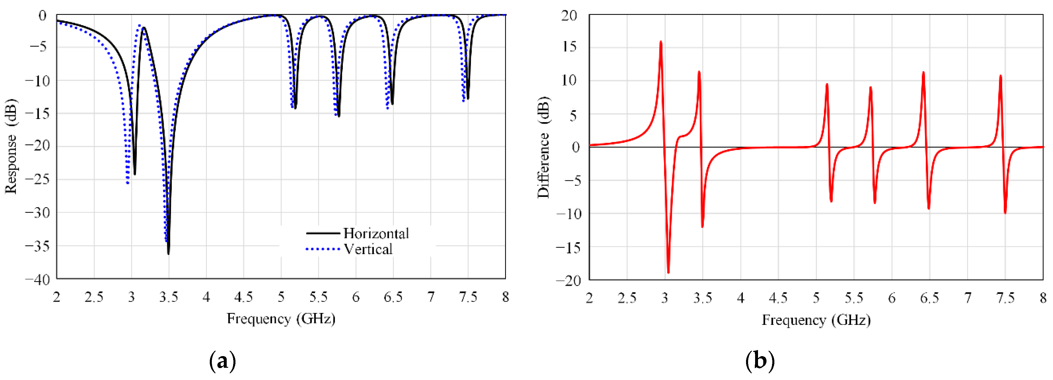
3. Simulation Results
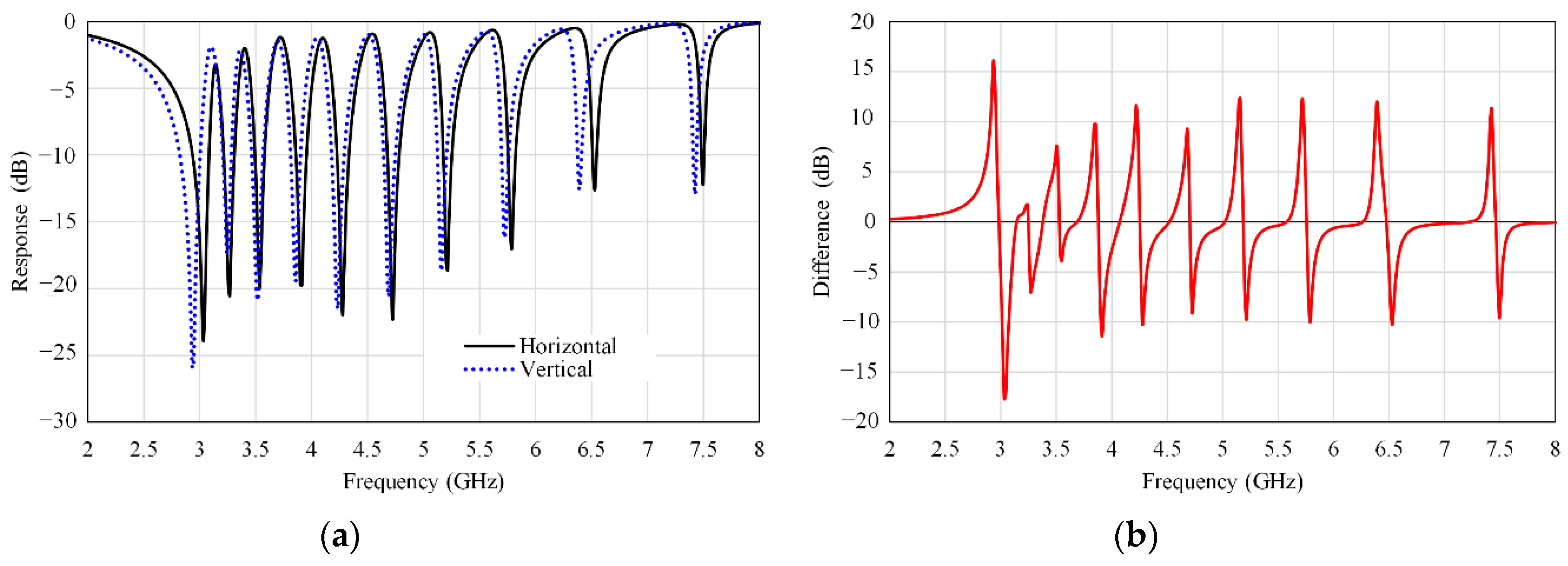
4. Strip Length Variation Method
5. Experimental Results
6. Conclusions
Author Contributions
Funding
Acknowledgments
Conflicts of Interest
References
- Mulloni, V.; Donelli, M. Chipless RFID Sensors for the Internet of Things: Challenges and Opportunities. Sensors 2020, 20, 2135. [Google Scholar] [CrossRef] [PubMed]
- Landaluce, H.; Arjona, L.; Perallos, A.; Falcone, F.; Angulo, I.; Muralter, F. A Review of IoT Sensing Applications and Challenges Using RFID and Wireless Sensor Networks. Sensors 2020, 20, 2495. [Google Scholar] [CrossRef] [PubMed]
- Babaeian, F.; Karmakar, N.C. Time and Frequency Domains Analysis of Chipless RFID Back-Scattered Tag Reflection. IoT 2020, 1, 7. [Google Scholar] [CrossRef]
- Kim, S. Inkjet-Printed Electronics on Paper for RF Identification (RFID) and Sensing. Electronics 2020, 9, 1636. [Google Scholar] [CrossRef]
- Forouzandeh, M.; Karmakar, N.C. Chipless RFID tags and sensors: A review on time-domain techniques. Wirel. Power Transf. 2015, 2, 62–77. [Google Scholar] [CrossRef]
- Xiao, Y.; Yu, S.; Wu, K.; Ni, Q.; Janecek, C.; Nordstad, J. Radio frequency identification: Technologies, applications, and research issues. Wirel. Commun. Mob. Comput. 2007, 7, 457–472. [Google Scholar] [CrossRef]
- Preradovic, S. Chipless RFID System for Barcode Replacement. Ph.D. Thesis, Department of Electrical and Computer Systems Engineering, Monash University, Melbourne, Australia, 2009. [Google Scholar]
- Herrojo, C.; Paredes, F.; Mata-Contreras, J.; Martín, F. Chipless-RFID: A Review and Recent Developments. Sensors 2019, 19, 3385. [Google Scholar] [CrossRef]
- Islam, M.A.; Karmakar, N.C. A novel compact printable dual-polarized chipless RFID system. IEEE Trans. Microw. Theory Tech. 2012, 60, 2142–2151. [Google Scholar] [CrossRef]
- Islam, M.A.; Karmakar, N.C. A 4 × 4 Dual Polarized mm-Wave ACMPA Array for a Universal mm-Wave Chipless RFID Tag Reader. IEEE Trans. Antennas Propag. 2015, 63, 1633–1640. [Google Scholar] [CrossRef]
- Islam, M.A.; Karmakar, N.C. Compact printable chipless RFID systems. IEEE Trans. Microw. Theory Tech. 2015, 63, 3785–3793. [Google Scholar] [CrossRef]
- Islam, M.A.; Karmakar, N.C. Real-World Implementation Challenges of a Novel Dual-Polarized Compact Printable Chipless RFID Tag. IEEE Trans. Microw. Theory Tech. 2015, 63, 4581–4591. [Google Scholar] [CrossRef]
- Pöpperl, M.; Parr, A.; Mandel, C.; Jakoby, R.; Vossiek, M. Potential and practical limits of time-domain reflectometry chipless RFID. IEEE Trans. Microw. Theory Tech. 2016, 64, 2968–2976. [Google Scholar] [CrossRef]
- Herrojo, C.; Mata-Contreras, J.; Paredes, F.; Núñez, A.; Ramon, E.; Martín, F. Near-Field Chipless-RFID System With Erasable/Programmable 40-bit Tags Inkjet Printed on Paper Substrates. IEEE Microw. Wirel. Compon. Lett. 2018, 28, 272–274. [Google Scholar] [CrossRef]
- Islam, M.A.; Karmakar, N. A Compact Printable Dual-Polarized Chipless RFID Tag Using Slot Length Variation in ‘I’ Slot Resonators. In Proceedings of the European Microwave Conference (EuMC), Paris, France, 6–11 September 2015; pp. 96–99. [Google Scholar]
- Adbulkawi, W.M.; Sheta, A.A. A Compact Chipless RFID Tag Based on Frequency Signature. In Proceedings of the 2017 9th IEEE-GCC Conference and Exhibition (GCCCE), Manama, Bahrain, 8–11 May 2017; pp. 1–4. [Google Scholar]
- Adbulkawi, W.M.; Sheta, A.A. Printable Chipless RFID Tags for IoT Applications. In Proceedings of the 2018 1st International Conference on Computer Applications & Information Security (ICCAIS), Riyadh, Saudi Arabia, 4–6 April 2018; pp. 1–4. [Google Scholar]
- Balbin, I.; Karmakar, N.C. Phase-Encoded Chipless RFID Transponder for Large-Scale Low-Cost Applications. IEEE Microw. Wirel. Compon. Lett. 2009, 19, 509–511. [Google Scholar] [CrossRef]
- Nguyen, D.H.; Zomorrodi, M.; Karmakar, N.C. Spatial-Based Chipless RFID System. IEEE J. Radio Freq. Identif. 2019, 3, 46–55. [Google Scholar] [CrossRef]
- Babaeian, F.; Karmakar, N.C. Hybrid Chipless RFID Tags- A Pathway to EPC Global Standard. IEEE Access 2018, 6, 67415–67426. [Google Scholar] [CrossRef]
- Vena, A.; Perret, E.; Tedjini, S. Chipless RFID tag using hybrid coding technique. IEEE Trans. Microw. Theory Tech. 2011, 59, 3356. [Google Scholar] [CrossRef]
- Abdulkawi, W.M.; Sheta, A.A. High coding capacity chipless radiofrequency identification tags. Microw. Opt. Technol. Lett. 2020, 62, 592–599. [Google Scholar] [CrossRef]
- Abdulkawi, W.M.; Sheta, A.-F.A. K-State Resonators for High-Coding-Capacity Chipless RFID Applications. IEEE Access 2019, 7, 185868–185878. [Google Scholar] [CrossRef]
- Abdulkawi, W.M.; Sheta, A.-F.A. Four-state coupled-line resonator for chipless RFID tags application. Electronics 2019, 8, 581. [Google Scholar] [CrossRef]
- Costa, F.; Genovesi, S.; Monorchio, A. Normalization-Free Chipless RFIDs by Using Dual-Polarized Interrogation. IEEE Trans. Microw. Theory Tech. 2016, 64, 310–318. [Google Scholar] [CrossRef]
- Marindra, A.M.J.; Tian, G.Y. Chipless RFID Sensor Tag for Metal Crack Detection and Characterization. IEEE Trans. Microw. Theory Tech. 2018, 66, 2452–2462. [Google Scholar] [CrossRef]
- Bibile, M.A.; Karmakar, N.C. Moving Chipless RFID Tag Detection Using Adaptive Wavelet-Based Detection Algorithm. IEEE Trans. Antennas Propag. 2018, 66, 2752–2760. [Google Scholar] [CrossRef]
- Issa, K.; Ashraf, M.A.; AlShareef, M.R.; Behairy, H.; Alshebeili, S.; Fathallah, H. A Novel L-Shape Ultra Wideband Chipless Radio-Frequency Identification Tag. Int. J. Antennas Propag. 2017, 2017. [Google Scholar] [CrossRef]
- Huang, H.-f.; Su, L. A compact dual-polarized chipless RFID tag by using nested concentric square loops. IEEE Antennas Wirel. Propag. Lett. 2017, 16, 1036–1039. [Google Scholar] [CrossRef]
- Islam, M.A.; Yap, Y.; Karmakar, N. ‘Δ’ Slotted Compact Printable Orientation Insensitive Chipless RFID Tag for Long Range Applications. In Proceedings of the 9th International Conference on Electrical and Computer Engineering (ICECE), Dhaka, Bangladesh, 20–22 December 2016; pp. 283–286. [Google Scholar]
- Rezaiesarlak, R.; Manteghi, M. Complex-natural-resonance-based design of chipless RFID tag for high-density data. IEEE Trans. Antennas Propag. 2014, 62, 898–904. [Google Scholar] [CrossRef]
- Wang, L.; Liu, T.; Sidén, J.; Wang, G. Design of chipless RFID tag by using miniaturized open-loop resonators. IEEE Trans. Antennas Propag. 2018, 66, 618–626. [Google Scholar] [CrossRef]
- Abdulkawi, W.M.; Sheta, A.-F.A.; Issa, K.; Alshebeili, S.A. Compact Printable Inverted-M Shaped Chipless RFID Tag Using Dual-Polarized Excitation. Electronics 2019, 8, 580. [Google Scholar] [CrossRef]
- Costa, F.; Genovesi, S.; Monorchio, A. A chipless RFID based on multiresonant high-impedance surfaces. IEEE Trans. Microw. Theory Tech. 2013, 61, 146–153. [Google Scholar] [CrossRef]
- Islam, M.A.; Karmakar, N. Design of a 16-bit Ultra-Low Cost Fully Printable Slot-Loaded Dual-Polarized Chipless RFID Tag. In Proceedings of the Asia-Pacific Microwave Conference, Melbourne, Victoria, Australia, 5–8 December 2011; pp. 1482–1485. [Google Scholar]
- Azim, R.-E.; Karmakar, N. A Collision Avoidance Methodology for Chipless RFID Tags. In Proceedings of the Asia-Pacific Microwave Conference, Melbourne, Victoria, Australia, 5–8 December 2011; pp. 1514–1517. [Google Scholar]
- Rezaiesarlak, R.; Manteghi, M. A space–time–frequency anticollision algorithm for identifying chipless RFID tags. IEEE Trans. Antennas Propag. 2013, 62, 1425–1432. [Google Scholar] [CrossRef]
- Rezaiesarlak, R.; Manteghi, M. A New Anti-Collision Algorithm for Identifying Chipless Rfid Tags. In Proceedings of the 2013 IEEE Antennas and Propagation Society International Symposium (APSURSI), Orlando, FL, USA, 7–13 July 2013; pp. 1722–1723. [Google Scholar]
- Rezaiesarlak, R.; Manteghi, M. On the application of short-time matrix pencil method for wideband scattering from resonant structures. IEEE Trans. Antennas Propag. 2014, 63, 328–335. [Google Scholar] [CrossRef]
- Karmakar, N.C. Anti-Collision Methods for Chipless RFID Systems. In Proceedings of the 2015 Asia-Pacific Microwave Conference (APMC), Nanjing, China, 6–9 December 2015; pp. 1–3. [Google Scholar]
- Barahona, M.; Betancourt, D.; Ellinger, F. Using UWB IR Radar Technology to Decode Multiple Chipless RFID Tags. In Proceedings of the 2016 IEEE International Conference on Ubiquitous Wireless Broadband (ICUWB), Nanjing, China, 16–19 October 2016; pp. 1–6. [Google Scholar]
- El-Awamry, A.; Khaliel, M.; Fawky, A.; Kaiser, T. A Novel Multi-Tag Identification Technique for Frequency Coded Chipless RFID Systems Based on Look-up-Table Approach. In Proceedings of the 2017 11th European Conference on Antennas and Propagation (EUCAP), Paris, France, 19–24 March 2017; pp. 2070–2074. [Google Scholar]
- Li, Z.; Lan, Y.; He, G.; He, S.; Wang, S. Chipless RFID Tag Anti-Collision Algorithm Based on Successive Approximation Comparative Amplitude Coding. In Proceedings of the 2018 Chinese Automation Congress (CAC), Xi’an, China, 30 November–2 December 2018; pp. 2396–2401. [Google Scholar]
- Karmakar, N.C.; Amin, E.M.; Saha, J.K. Chipless RFID Sensors; John Wiley & Sons: Hoboken, NJ, USA, 2016. [Google Scholar]
- Aminul Islam, M.; Bhuiyan, M.S.; Karmakar, N. A Novel Compact Chipless RFID Tag and Near-Field Reader. In Proceedings of the Asia-Pacific Microwave Conference Proceedings (APMC), Melbourne, Victoria, Australia, 5–8 December 2011; pp. 1518–1521. [Google Scholar]
- Svanda, M.; Polivka, M.; Havlicek, J.; Machac, J.; Werner, D.H. Platform Tolerant, High Encoding Capacity Dipole Array-Plate Chipless RFID Tags. IEEE Access 2019, 7, 138707–138720. [Google Scholar] [CrossRef]
- Mc Gee, K.; Anandarajah, P.; Collins, D. A review of chipless remote sensing solutions based on RFID technology. Sensors 2019, 19, 4829. [Google Scholar] [CrossRef] [PubMed]
- Svanda, M.; Havlicek, J.; Machac, J.; Polivka, M. Polarisation independent chipless RFID tag based on circular arrangement of dual-spiral capacitively-loaded dipoles with robust RCS response. IET Microw. Antennas Propag. 2018, 12, 2167–2171. [Google Scholar] [CrossRef]
- Gupta, S.; Li, G.J.; Roberts, R.; Jiang, L.J. Log-periodic dipole array antenna as chipless RFID tag. Electron. Lett. 2014, 50, 339–341. [Google Scholar] [CrossRef]
- Khaliel, M.; El-Awamry, A.; Megahed, A.F.; Kaiser, T. A novel design approach for co/cross-polarizing chipless RFID tags of high coding capacity. IEEE J. Radio Freq. Identif. 2017, 1, 135–143. [Google Scholar] [CrossRef]
- Svanda, M.; Polivka, M.; Havlicek, J.; Machac, J. Chipless RFID tag with an improved magnitude and robustness of RCS response. Microw. Opt. Technol. Lett. 2017, 59, 488–492. [Google Scholar] [CrossRef]
- Deng, F.; He, Y.; Li, B.; Song, Y.; Wu, X. Design of a slotted chipless RFID humidity sensor tag. Sens. Actuators B: Chem. 2018, 264, 255–262. [Google Scholar] [CrossRef]
- Sharma, V.; Malhotra, S.; Hashmi, M. Slot Resonator Based Novel Orientation Independent Chipless RFID Tag Configurations. IEEE Sens. J. 2019, 19, 5153–5160. [Google Scholar] [CrossRef]
- Sajitha, V.; Nijas, C.; Roshna, T.; Vasudevan, K.; Mohanan, P. Compact cross loop resonator based chipless RFID tag with polarization insensitivity. Microw. Opt. Technol. Lett. 2016, 58, 944–947. [Google Scholar] [CrossRef]
- Wang, L.; Hu, C.; Wu, X.; Xia, Z.; Wen, W. Multi-band metamaterial absorber with arbitrary polarization and wide-incident angle. Appl. Phys. A 2017, 123, 651. [Google Scholar] [CrossRef]
- Ni, Y.-Z.; Huang, X.-D.; Lv, Y.-P.; Cheng, C.-H. Hybrid coding chipless tag based on impedance loading. IET Microw. Antennas Propag. 2017, 11, 1325–1331. [Google Scholar] [CrossRef]
- Fan, S.; Chang, T.; Liu, X.; Fan, Y.; Tentzeris, M.M. A Depolarizing Chipless RFID Tag with Humidity Sensing Capability. In Proceedings of the International Symposium on Antennas and Propagation & USNC/URSI National Radio Science Meeting, Boston, MA, USA, 8–13 July 2018; pp. 2469–2470. [Google Scholar]
- Nijas, C.; Deepak, U.; Vinesh, P.; Sujith, R.; Mridula, S.; Vasudevan, K.; Mohanan, P. Low-cost multiple-bit encoded chipless RFID tag using stepped impedance resonator. IEEE Trans. Antennas Propag. 2014, 62, 4762–4770. [Google Scholar] [CrossRef]
- Vena, A.; Perret, E.; Tedjini, S. A fully printable chipless RFID tag with detuning correction technique. IEEE Microw. Wirel. Compon. Lett. 2012, 22, 209–211. [Google Scholar] [CrossRef]
- Polivka, M.; Havlicek, J.; Svanda, M.; Machac, J. Improvement in robustness and recognizability of RCS response of U-shaped strip-based chipless RFID tags. IEEE Antennas Wirel. Propag. Lett. 2016, 15, 2000–2003. [Google Scholar] [CrossRef]
- Rance, O.; Siragusa, R.; Lemaitre-Auger, P.; Perret, E. Toward RCS magnitude level coding for chipless RFID. IEEE Trans. Microw. Theory Tech. 2016, 64, 2315–2325. [Google Scholar] [CrossRef]
- Laila, D.; Thomas, R.; Nijas, C.M.; Mohanan, P. A novel polarization independent chipless RFID tag using multiple resonators. Prog. Electromagn. Res. 2015, 55, 61–66. [Google Scholar] [CrossRef]















| Parameter | Strip Length (mm) | ||
|---|---|---|---|
| l1 | l1′ | 14 | 41.72 |
| l1″ | 6.862215 | ||
| l2 | l2′ | 13.31262 | 39.07 |
| l2″ | 6.221409 | ||
| l3 | l3′ | 12.62523 | 36.41 |
| l3″ | 5.580922 | ||
| l4 | l4′ | 11.93785 | 33.79 |
| l4″ | 4.958283 | ||
| l5 | l5′ | 11.25046 | 31.1 |
| l5″ | 4.301478 | ||
| l6 | l6′ | 10.56308 | 28.42 |
| l6″ | 3.644746 | ||
| l7 | l7′ | 9.875692 | 25.73 |
| l7″ | 2.98813 | ||
| l8 | l8′ | 9.188308 | 23.08 |
| l8″ | 2.351033 | ||
| l9 | l9′ | 8.500923 | 20.44 |
| l9″ | 1.717732 | ||
| l10 | l10′ | 7.813538 | 17.72 |
| l10″ | 1.044021 | ||
| Resonance Frequency (GHz) | Polarization Type | Difference (MHz) | ||
|---|---|---|---|---|
| Description | Parameter | Vertical | Horizontal | |
| Resonance of 1st strip | f1 | 2.932 | 3.030 | 98 |
| Resonance of 2nd strip | f2 | 3.254 | 3.268 | 14 |
| Resonance of 3rd strip | f3 | 3.520 | 3.534 | 14 |
| Resonance of 4th strip | f4 | 3.856 | 3.912 | 56 |
| Resonance of 5th strip | f5 | 4.234 | 4.276 | 42 |
| Resonance of 6th strip | f6 | 4.682 | 4.724 | 42 |
| Resonance of 7th strip | f7 | 5.158 | 5.214 | 56 |
| Resonance of 8th strip | f8 | 5.718 | 5.788 | 70 |
| Resonance of 9th strip | f9 | 6.390 | 6.530 | 140 |
| Resonance of 10th strip | f10 | 7.426 | 7.496 | 70 |
| Structure | Strip Length | State | Resonant Frequency | Binary Code |
|---|---|---|---|---|
| Strip i with open circuits | 1st state | 0 | 00 | |
| The length of strip i (li) decreased by factor | 2nd state | 01 | ||
| The length of strip i (li) increased by factor | 3rd state | 10 | ||
| Original strip | 4th state | 11 |
| Extended Length | Original Length | Shortened Length | |||||
|---|---|---|---|---|---|---|---|
| Parameter | Value (GHz) | Difference (MHz) | Parameter | Value (GHz) | Parameter | Value (GHz) | Difference (MHz) |
| 2.862 | 168 | 3.030 | 3.072 | 42 | |||
| 3.156 | 112 | 3.268 | 3.310 | 42 | |||
| 3.478 | 56 | 3.534 | 3.562 | 28 | |||
| 3.800 | 112 | 3.912 | 3.954 | 42 | |||
| 4.206 | 70 | 4.276 | 4.388 | 112 | |||
| 4.598 | 126 | 4.724 | 4.822 | 98 | |||
| 5.032 | 182 | 5.214 | 5.312 | 98 | |||
| 5.592 | 196 | 5.788 | 5.914 | 126 | |||
| 6.306 | 224 | 6.530 | 6.642 | 112 | |||
| 7.314 | 182 | 7.496 | 7.636 | 140 | |||
| Resonator Type | Frequency Band (GHz) | Capacity (bits) | Spectral Capacity (bits/GHz) | Spatial Density (bits/cm2) | Spatial Density at the Center Frequency (bits/λ2) | Encoding Capacity (bits/cm2/GHz) | Encoding Capacity at the Center Frequency (bits/λ2/GHz) | Size (mm2) |
|---|---|---|---|---|---|---|---|---|
| Loaded dipoles [48] | 1.8–3.6 | 20 | 11.11 | 0.66 | 81.51 | 0.37 | 45.28 | 55 × 55 |
| Dipole array [46] | 2.2–3.5 | 20 | 15.38 | 0.56 | 61.47 | 0.43 | 47.28 | 60 × 60 |
| Log-periodic dipole [49] | 2–12 | 7 | 0.7 | 0.09 | 1.68 | 0.01 | 0.17 | 87 × 87 |
| Crossed dipoles [50] | 2–5 | 4 | 1.33 | 0.2 | 14.49 | 0.07 | 4.83 | 45 × 45 |
| Slotted-I [11] | 6–12 | 18 | 3 | 4.08 | 45.29 | 0.68 | 7.55 | 21 × 21 |
| Slotted-U [51] | 2–4 | 20 | 10 | 0.77 | 76.82 | 0.39 | 38.41 | 50 × 52 |
| Slotted-I [52] | 3–7 | 6 | 1.5 | 0.38 | 13.48 | 0.1 | 3.37 | 40 × 40 |
| Slotted-L [53] | 3–6 | 8 | 2.67 | 2 | 88.76 | 0.67 | 29.59 | 20 × 20 |
| Slotted-U [45] | 7–12 | 8 | 1.6 | 3.13 | 31.13 | 0.63 | 6.23 | 16 × 16 |
| Slotted-delta [30] | 3–10 | 18 | 2.57 | 2.11 | 44.98 | 0.30 | 6.43 | 32 × 27 |
| Square loop [34] | 2–8 | 5 | 0.83 | 2.22 | 79.89 | 0.37 | 13.31 | 15 × 15 |
| Plus loop [54] | 3.8–8.8 | 20 | 4 | 1.25 | 28.31 | 0.25 | 5.66 | 40 × 40 |
| Concentric ring [55] | 3–13 | 4 | 0.4 | 2.04 | 28.65 | 0.20 | 2.87 | 14 × 14 |
| Loaded ring [56] | 3–9 | 23.7 | 3.96 | 2.63 | 49.97 | 0.44 | 8.33 | 30 × 30 |
| Nested scatterers [57] | 4–7.5 | 6 | 1.71 | 2.67 | 72.5 | 0.76 | 20.71 | 15 × 15 |
| Stepped impedance resonators [58] | 3.1–10.6 | 6.36 | 0.85 | 1.06 | 20.3 | 0.14 | 2.71 | 30 × 20 |
| C-strips [59] | 2–4 | 20 | 10 | 1.14 | 114.13 | 0.57 | 57.07 | 70 × 25 |
| C-strips [60] | 2–4 | 20 | 10 | 1.10 | 109.74 | 0.55 | 54.87 | 70 × 26 |
| C-strips [61] | 2–5 | 5 | 1.67 | 0.33 | 25 | 0.11 | 8.33 | 50 × 30 |
| U-strips [12] | 7–12 | 16 | 3.2 | 16.67 | 165.96 | 1.75 | 17.47 | 16 × 6 |
| L-strips [62] | 3.1–10.6 | 6 | 0.8 | 0.3 | 5.79 | 0.04 | 0.77 | 62 × 32 |
| L-strips [28] | 5–10 | 9 | 1.8 | 6 | 95.87 | 0.8 | 12.78 | 15 × 10 |
| The proposed tag | 3–7.5 | 20 | 4.44 | 11 | 358.33 | 2.44 | 79.63 | 14 × 13 |
Publisher’s Note: MDPI stays neutral with regard to jurisdictional claims in published maps and institutional affiliations. |
© 2020 by the authors. Licensee MDPI, Basel, Switzerland. This article is an open access article distributed under the terms and conditions of the Creative Commons Attribution (CC BY) license (http://creativecommons.org/licenses/by/4.0/).
Share and Cite
Abdulkawi, W.M.; Issa, K.; Sheta, A.-F.A.; Alshebeili, S.A. A Novel Printable Tag of M-Shaped Strips for Chipless Radio-Frequency Identification in IoT Applications. Electronics 2020, 9, 2116. https://doi.org/10.3390/electronics9122116
Abdulkawi WM, Issa K, Sheta A-FA, Alshebeili SA. A Novel Printable Tag of M-Shaped Strips for Chipless Radio-Frequency Identification in IoT Applications. Electronics. 2020; 9(12):2116. https://doi.org/10.3390/electronics9122116
Chicago/Turabian StyleAbdulkawi, Wazie M., Khaled Issa, Abdel-Fattah A. Sheta, and Saleh A. Alshebeili. 2020. "A Novel Printable Tag of M-Shaped Strips for Chipless Radio-Frequency Identification in IoT Applications" Electronics 9, no. 12: 2116. https://doi.org/10.3390/electronics9122116
APA StyleAbdulkawi, W. M., Issa, K., Sheta, A.-F. A., & Alshebeili, S. A. (2020). A Novel Printable Tag of M-Shaped Strips for Chipless Radio-Frequency Identification in IoT Applications. Electronics, 9(12), 2116. https://doi.org/10.3390/electronics9122116

