Effect of Top Channel Thickness in Near Infrared Organic Phototransistors with Conjugated Polymer Gate-Sensing Layers
Abstract
1. Introduction
2. Materials and Methods
2.1. Materials and Solutions
2.2. Device and Film Fabrication
2.3. Measurements
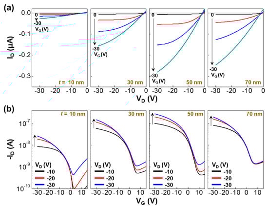
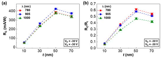
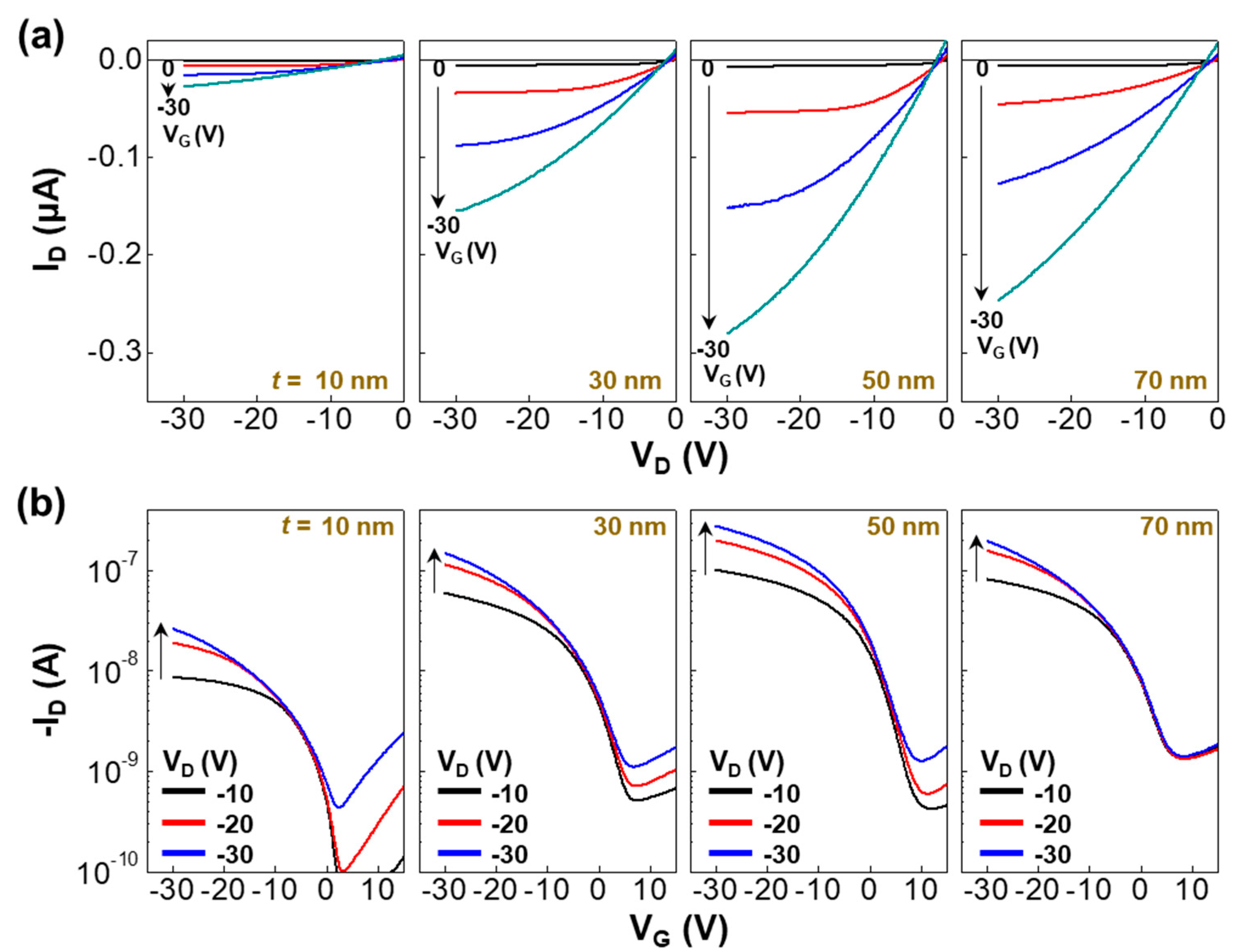
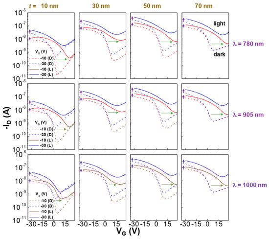
3. Results and Discussion
4. Conclusions
Author Contributions
Funding
Conflicts of Interest
References
- Harrison, M.T.; Kershaw, S.V.; Burt, M.G.; Rogach, A.L.; Kornowski, A.; Eychmuller, A.; Weller, H. Colloidal nanocrystals for telecommunications. Complete coverage of the low-loss fiber windows by mercury telluride quantum dot. Pure Appl. Chem. 2000, 72, 295–307. [Google Scholar] [CrossRef]
- Källhammer, J.-E. The road ahead for car night-vision. Nat. Photonics 2006, 5, 12–13. [Google Scholar] [CrossRef]
- Reutebuch, S.E.; Andersen, H.-E.; McGaughey, R.J. Light detection and ranging (LIDAR): An emerging tool for multiple resource inventory. J. For. 2005, 103, 286–292. [Google Scholar]
- Hong, G.; Antaris, A.L.; Dai, H. Near-infrared fluorophores for biomedical imaging. Nat. Biomed. Eng. 2017, 1, 0010. [Google Scholar] [CrossRef]
- Goswami, S.; Das, A.K.; Maity, A.K.; Manna, A.; Aich, K.; Maity, S.; Saha, P.; Mandal, T.K. Visual and near IR (NIR) fluorescence detection of Cr3+ in aqueous media via spirobenzopyran ring opening with application in logic gate and bio-imaging. Dalton Trans. 2014, 43, 231–239. [Google Scholar] [CrossRef] [PubMed]
- Werle, P.; Slemr, F.; Maurer, K.; Kormann, R.; Mücke, R.; Janker, B. Near- and mid-infrared laser-optical sensors for gas analysis. Opt. Lasers Eng. 2002, 37, 101–114. [Google Scholar] [CrossRef]
- Liang, F.-X.; Wang, J.-Z.; Li, Z.-P.; Luo, L.-B. Near-infrared-light photodetectors based on one-dimensional inorganic semiconductor nanostructures. Adv. Opt. Mater. 2017, 5, 1700081. [Google Scholar] [CrossRef]
- Zhuge, F.; Zheng, Z.; Luo, P.; Lv, L.; Huang, Y.; Li, H.; Zhai, T. Nanostructured materials and architectures for advanced infrared photodetection. Adv. Mater. Technol. 2017, 2, 1700005. [Google Scholar] [CrossRef]
- Luo, L.-B.; Chen, J.-J.; Wang, M.-Z.; Hu, H.; Wu, C.-Y.; Li, Q.; Wang, L.; Huang, J.-A.; Liang, F.-X. Near-infrared light photovoltaic detector based on GaAs nanocone array/monolayer graphene schottky junction. Adv. Funct. Mater. 2014, 24, 2794–2800. [Google Scholar] [CrossRef]
- Zhang, Y.; Li, Y.; Yan, X.-P. Photoactivated CdTe/CdSe quantum dots as a near infrared fluorescent probe for detecting biothiols in biological fluids. Anal. Chem. 2009, 81, 5001–5007. [Google Scholar] [CrossRef]
- Xu, R.-P.; Li, Y.-Q.; Tang, J.-X. Recent advances in flexible organic light-emitting diodes. J. Mater. Chem. C 2016, 4, 9116–9142. [Google Scholar] [CrossRef]
- Bansal, A.K.; Hou, S.; Kulyk, O.; Bowman, E.M.; Samuel, I.D.W. Wearable organic optoelectronic sensors for medicine. Adv. Mater. 2015, 27, 7638–7644. [Google Scholar] [CrossRef] [PubMed]
- Yokota, T.; Zalar, P.; Kaltenbrunner, M.; Jinno, H.; Matsuhisa, N.; Kitanosako, H.; Tachibana, Y.; Yukita, W.; Koizumi, M.; Someya, T. Ultraflexible organic photonic skin. Sci. Adv. 2016, 2, e1501856. [Google Scholar] [CrossRef] [PubMed]
- Song, M.; You, D.S.; Lim, K.; Park, S.; Jung, S.; Kim, C.S.; Kim, D.-H.; Kim, D.-G.; Kim, J.-K.; Park, J.; et al. Highly efficient and bendable organic solar cells with solution-processed silver nanowire electrodes. Adv. Funct. Mater. 2013, 23, 4177–4184. [Google Scholar] [CrossRef]
- Peumans, P.; Yakimov, A.; Forrest, S.R. Small molecular weight organic thin-film photodetectors and solar cells. J. Appl. Phys. 2003, 93, 3693–3723. [Google Scholar] [CrossRef]
- Renshaw, C.K.; Xu, X.; Forrest, S.R. A monolithically integrated organic photodetector and thin film transistor. Org. Electron. 2010, 11, 175–178. [Google Scholar] [CrossRef]
- Yan, F.; Liu, H.; Li, W.; Chu, B.; Su, Z.; Zhang, G.; Chen, Y.; Zhu, J.; Yang, D.; Wang, J. Double wavelength ultraviolet light sensitive organic photodetector. Appl. Phys. Lett. 2009, 95, 253308. [Google Scholar] [CrossRef]
- Lee, M.Y.; Hong, J.; Lee, E.K.; Yu, H.; Kim, H.; Lee, J.U.; Lee, W.; Oh, J.H. Highly flexible organic nanofiber phototransistors fabricated on a textile composite for wearable photosensors. Adv. Funct. Mater. 2016, 26, 1445–1453. [Google Scholar] [CrossRef]
- Pal, T.; Arif, M.; Khondaker, S.I. High performance organic phototransistor based on regioregular poly (3-hexylthiophene). Nanotechnology 2010, 21, 325201. [Google Scholar] [CrossRef]
- Noh, Y.-Y.; Kim, D.-Y. Organic phototransistor based on pentacene as an efficient red light sensor. Solid-State Electron. 2007, 51, 1052–1055. [Google Scholar] [CrossRef]
- Nam, S.; Seo, J.; Han, H.; Kim, H.; Bradley, D.D.C.; Kim, Y. Efficient deep red light-sensing all-polymer phototransistors with p-type/n-type conjugated polymer bulk heterojunction layers. ACS Appl. Mater. Interfaces 2017, 9, 14983–14989. [Google Scholar] [CrossRef] [PubMed]
- Hwang, H.; Kim, H.; Nam, S.; Bradley, D.D.C.; Ha, C.-S.; Kim, Y. Organic phototransistors with nanoscale phase-separated polymer/polymer bulk heterojunction layers. Nanoscale 2011, 3, 2275–2279. [Google Scholar] [CrossRef] [PubMed]
- Lee, C.; Lee, S.; Kim, H.; Kim, Y. UV-sensing semitransparent organic field-effect transistors with wide bandgap small molecular channel and polymeric gate-insulating layers. Adv. Electron. Mater. 2017, 3, 1700162. [Google Scholar] [CrossRef]
- Jung, J.H.; Yoon, M.J.; Lim, J.W.; Lee, Y.H.; Lee, K.E.; Kim, D.H.; Oh, J.H. High-performance UV–Vis–NIR phototransistors based on single-crystalline organic semiconductor–gold hybrid nanomaterials. Adv. Funct. Mater. 2017, 27, 1604528. [Google Scholar]
- Song, M.; Seo, J.; Kim, H.; Kim, Y. Ultrasensitive multi-functional flexible sensors based on organic field-effect transistors with polymer-dispersed liquid crystal sensing layers. Sci. Rep. 2017, 7, 2630. [Google Scholar] [CrossRef] [PubMed]
- Bhargava, K.; Bilgaiyan, A.; Singh, V. Two dimensional optoelectronic simulation based comparison of top and bottom contact organic phototransistors. J. Nanosci. Nanotechnol. 2015, 15, 9414–9422. [Google Scholar] [CrossRef] [PubMed]
- Lee, C.; Han, H.; Song, M.; Seo, J.; Kim, H.; Kim, Y. Organic phototransistors with chemically doped conjugated polymer interlayers for visible and near infrared light detection. IEEE J. Sel. Top. Quantum Electron. 2018, 24, 6000307. [Google Scholar] [CrossRef]
- Han, H.; Nam, S.; Seo, J.; Lee, C.; Kim, H.; Bradley, D.D.C.; Ha, C.-S.; Kim, Y. Broadband all-polymer phototransistors with nanostructured bulk heterojunction layers of NIR-sensing n-type and visible light-sensing p-type polymers. Sci. Rep. 2015, 5, 16457. [Google Scholar] [CrossRef]
- Wöbkenberg, P.H.; Labram, J.G.; Swiecicki, J.-M.; Parkhomenko, K.; Sredojevic, D.; Gisselbrecht, J.-P.; Leeuw, D.M.; Bradley, D.D.C.; Djukic, J.-P.; Anthopoulos, T.D. Ambipolar organic transistors and near-infrared phototransistors based on a solution-processable squarilium dye. J. Mater. Chem. 2010, 20, 3673–3680. [Google Scholar] [CrossRef]
- Sun, Z.; Li, J.; Yan, F. Highly sensitive organic near-infrared phototransistors based on poly(3-hexylthiophene) and PbS quantum dots. J. Mater. Chem. 2012, 22, 21673–21678. [Google Scholar] [CrossRef]
- Xu, H.; Li, J.; Leung, B.H.K.; Poon, C.C.Y.; Ong, B.S.; Zhang, Y.; Zhao, N. A high-sensitivity near-infrared phototransistor based on an organic bulk heterojunction. Nanoscale 2013, 5, 11850–11855. [Google Scholar] [CrossRef] [PubMed]
- Han, H.; Lee, C.; Kim, H.; Kim, Y. Flexible near-infrared plastic phototransistors with conjugated polymer gate-sensing layers. Adv. Funct. Mater. 2018, 28, 1800704. [Google Scholar] [CrossRef]
- Braga, D.; Horowitz, G. High-performance organic field-effect transistors. Adv. Mater. 2009, 21, 1473–1486. [Google Scholar] [CrossRef]
- Lee, J.; Kim, K.; Kim, J.H.; Im, S.; Jung, D.-Y. Optimum channel thickness in pentacene-based thin-film transistors. Appl. Phys. Lett. 2003, 82, 4169–4171. [Google Scholar] [CrossRef]
- Wang, Y.; Sun, X.W.; Goh, G.K.L.; Demir, H.V.; Yu, H.Y. Influence of channel layer thickness on the electrical performances of inkjet-printed In-Ga-Zn oxide thin-film transistors. IEEE Trans. Electron Devices 2010, 58, 480–485. [Google Scholar] [CrossRef]
- Pesavento, P.V.; Puntambekar, K.P.; Frisbie, C.D. Film and contact resistance in pentacene thin-film transistors: Dependence on film thickness, electrode geometry, and correlation with hole mobility. J. Appl. Phys. 2006, 99, 094504. [Google Scholar] [CrossRef]
- Dietz, G.W.; Antpöhler, W. Electrode influence on the charge transport through SrTiO3 thin films. J. Appl. Phys. 1995, 78, 6113–6121. [Google Scholar] [CrossRef]
- Tsuno, M.; Suga, M.; Tanaka, M.; Shibahara, K.; Miura-Mattausch, M.; Hirose, M. Physically-based threshold voltage determination for MOSFET’s of all gate lengths. IEEE Trans. Electron Devices 1999, 46, 1429–1434. [Google Scholar] [CrossRef]
- Wong, H.-S.; White, M.H.; Krutsick, T.J.; Booth, R.V. Modeling of transconductance degradation and extraction of threshold voltage in thin oxide MOSFET’s. Solid-State Electron. 1987, 30, 953–968. [Google Scholar] [CrossRef]
- Zhang, Y.; Yuan, Y.; Huang, J. Detecting 100 fW cm−2 light with trapped electron gated organic phototransistors. Adv. Mater. 2017, 29, 1603969. [Google Scholar] [CrossRef]
- Nam, S.; Kim, H.; Bradley, D.D.C.; Kim, Y. All-polymer phototransistors with bulk heterojunction sensing layers of thiophene-based electron-donating and thienopyrroledione-based electron-accepting polymers. Org. Electron. 2016, 39, 199–206. [Google Scholar] [CrossRef]
- Mok, S.M.; Yan, F.; Chan, H.L.W. Organic phototransistor based on poly(3-hexylthiophene)/TiO2 nanoparticle composite. Appl. Phys. Lett. 2008, 93, 023310. [Google Scholar]
- Lan, C.; Li, C.; Yin, Y.; Guo, H.; Wang, S. Synthesis of single-crystalline GeS nanoribbons for high sensitivity visible-light photodetectors. J. Mater. Chem. C 2015, 3, 8074–8079. [Google Scholar] [CrossRef]
- Casalino, M. Internal photoemission theory: Comments and theoretical limitations on the performance of near-infrared silicon Schottky photodetectors. IEEE. J. Quantum Electron. 2016, 52, 4000110. [Google Scholar] [CrossRef]







| λ (nm) | Parameters | t (nm) | |||
|---|---|---|---|---|---|
| 10 | 30 | 50 | 70 | ||
| 780 | RC (mA/W) | 47.64 | 237.91 | 388.43 | 342.90 |
| ΔVTH (V) | 20.89 | 22.26 | 25.69 | 23.05 | |
| 905 | RC (mA/W) | 53.05 | 262.68 | 424.93 | 372.52 |
| ΔVTH (V) | 17.13 | 20.99 | 22.34 | 21.56 | |
| 1000 | RC (mA/W) | 47.13 | 232.91 | 379.33 | 339.94 |
| ΔVTH (V) | 16.77 | 18.73 | 21.76 | 20.90 | |
© 2019 by the authors. Licensee MDPI, Basel, Switzerland. This article is an open access article distributed under the terms and conditions of the Creative Commons Attribution (CC BY) license (http://creativecommons.org/licenses/by/4.0/).
Share and Cite
Park, J.; Kim, H.; Kim, T.; Lee, C.; Song, D.-I.; Kim, Y. Effect of Top Channel Thickness in Near Infrared Organic Phototransistors with Conjugated Polymer Gate-Sensing Layers. Electronics 2019, 8, 1493. https://doi.org/10.3390/electronics8121493
Park J, Kim H, Kim T, Lee C, Song D-I, Kim Y. Effect of Top Channel Thickness in Near Infrared Organic Phototransistors with Conjugated Polymer Gate-Sensing Layers. Electronics. 2019; 8(12):1493. https://doi.org/10.3390/electronics8121493
Chicago/Turabian StylePark, Jisu, Hwajeong Kim, Taehoon Kim, Chulyeon Lee, Dong-Ik Song, and Youngkyoo Kim. 2019. "Effect of Top Channel Thickness in Near Infrared Organic Phototransistors with Conjugated Polymer Gate-Sensing Layers" Electronics 8, no. 12: 1493. https://doi.org/10.3390/electronics8121493
APA StylePark, J., Kim, H., Kim, T., Lee, C., Song, D.-I., & Kim, Y. (2019). Effect of Top Channel Thickness in Near Infrared Organic Phototransistors with Conjugated Polymer Gate-Sensing Layers. Electronics, 8(12), 1493. https://doi.org/10.3390/electronics8121493
