Complex Wavelet-Based Image Watermarking with the Human Visual Saliency Model
Abstract
1. Introduction
2. Dual Tree-Complex Wavelet Transform
3. Watermark Embedding and Detection
3.1. Watermark Embedding
3.2. Visual Saliency Based Watermark Strength Factor
3.3. Watermark Detection
4. Experimental Results
4.1. Imperceptibility of Watermarking
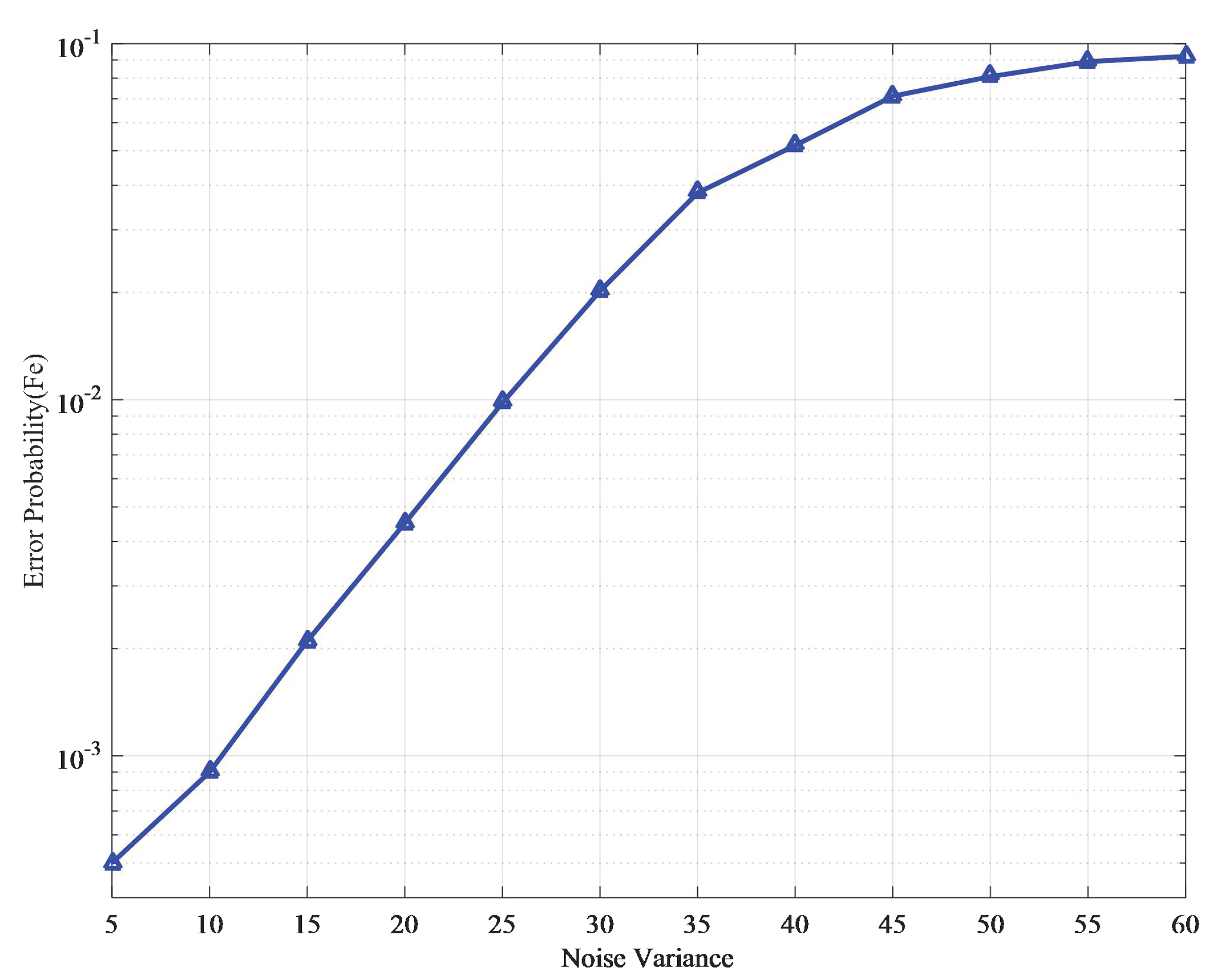
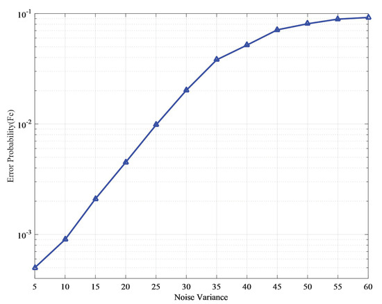
4.2. Error of Probability Analysis
4.3. Performance under Attacks
4.4. Comparison with Other Methods
5. Conclusions
Author Contributions
Funding
Conflicts of Interest
References
- Asikuzzaman, M.; Pickering, M.R. An overview of digital video watermarking. IEEE Trans. Circuit. Syst. Video Technol. 2018, 28, 2131–2153. [Google Scholar] [CrossRef]
- Wang, Y.G.; Zhou, G.P.; Shi, Y.Q. Transportation spherical watermarking. IEEE Trans. Image Process. 2018, 27, 2063–2077. [Google Scholar] [CrossRef] [PubMed]
- Jang, B.-G.; Lee, S.-H.; Lee, Y.-S.; Kwon, K.-R. Biological viral infection watermarking architecture of MPEG/H.264/AVC/HEVC. Electronics 2019, 8, 889. [Google Scholar] [CrossRef]
- Guo, Y.F.; Au, O.C.; Wang, R.; Fang, L.; Cao, X.C. Halftone image watermarking by content aware double-sided embedding error diffusion. IEEE Trans. Image Process. 2018, 27, 3387–3402. [Google Scholar] [CrossRef]
- Ou, B.; Li, L.; Zhao, Y.; Ni, R. Efficient color image reversible data hiding based on channel–dependent payload partition and adaptive embedding. Signal Process. 2015, 108, 642–657. [Google Scholar] [CrossRef]
- Cox, I.J.; Kilian, J.; Leighton, T. Secure spread spectrum watermarking for multimedia. IEEE Trans. Image Process. 1997, 6, 1673–1687. [Google Scholar] [CrossRef]
- Liu, X.; Han, G.; Wu, J.; Shao, Z.; Coatrieux, G.; Shu, H. Fractional krawtchouk transform with an application to image watermarking. IEEE Trans. Signal Process. 2017, 65, 1894–1908. [Google Scholar] [CrossRef]
- Ahmaderaghi, B.; Kurugollu, F.; Rincon, J.M.D.; Bouridane, A. Blind image watermark detection algorithm based on discrete shearlet transform using statistical decision theory. IEEE Trans. Comput. Imaging 2018, 4, 46–59. [Google Scholar] [CrossRef]
- Singh, D.; Singh, S.K. DCT based efficient fragile watermarking scheme for image authentication and restoration. Multimed. Tools Appl. 2017, 76, 953–977. [Google Scholar] [CrossRef]
- Rahman, M.M.; Ahmad, M.O.; Swamy, M.N.S. A new statistical detector for DWT–based additive image watermarking using the Gaussian–Hermite expansion. IEEE Trans. Image Process. 2009, 18, 1782–1796. [Google Scholar] [CrossRef]
- Sadreazami, H.; Ahmad, M.O.; Swamy, M.N.S. A study of multiplicative watermark detection in the contourlet domain using alphastable distributions. IEEE Trans. Image Process. 2014, 23, 4348–4360. [Google Scholar] [CrossRef] [PubMed]
- Amini, M.; Ahmad, M.O.; Swamy, M.N.S. A robust multibit multiplicative watermark decoder using a vector based hidden markov model in wavelet domain. IEEE Trans. Circuit. Syst. Video Technol. 2018, 28, 402–413. [Google Scholar] [CrossRef]
- Hwang, M.J.; Lee, J.S.; Lee, M.S.; Kang, H.G. SVD based adaptive QIM watermarking on stereo audio signals. IEEE Trans. Multimed. 2018, 20, 45–54. [Google Scholar] [CrossRef]
- Zareian, M.; Tohidypour, H.R. A novel gain invariant quantization–based watermarking approach. IEEE Trans. Inf. Forensics Sec. 2014, 9, 1804–1813. [Google Scholar] [CrossRef]
- Sadreazami, H.; Amini, A. A robust spread spectrum based image watermarking in ridgelet domain. Int. J. Electron. Commun. 2012, 66, 364–371. [Google Scholar] [CrossRef]
- Akhaee, M.A.; Sahraeian, S.M.E.; Sankur, B.; Marvasti, F. Robust Scaling–based image watermarking using maximum–likelihood decoder with optimum strength factor. IEEE Trans. Multimed. 2009, 11, 822–833. [Google Scholar] [CrossRef]
- Liu, J.H.; She, K. A hybrid approach of DWT and DCT for rational dither modulation watermarking. Circuits Syst. Signal Process. 2012, 31, 797–811. [Google Scholar] [CrossRef]
- You, X.; Du, L.; Cheung, Y.M.; Chen, Q.H. A blind watermarking scheme using new nontensor product wavelet filter banks. IEEE Trans. Image Process. 2010, 19, 3271–3284. [Google Scholar] [CrossRef]
- Ramanjaneyulu, K.; Rajarajeswari, K. Wavelet based oblivious image watermarking scheme using genetic algorithm. IET Image Process. 2012, 6, 364–373. [Google Scholar] [CrossRef]
- Barni, M.; Bartolini, F.; Piva, A. Improved wavelet–based watermarking through pixel–wise masking. IEEE Trans. Image Process. 2001, 10, 783–791. [Google Scholar] [CrossRef]
- Bhowmik, D.; Abhayaratne, C. Quality scalability aware watermarking for visual content. IEEE Trans. Image Process. 2016, 25, 5158–5172. [Google Scholar] [CrossRef] [PubMed]
- Wang, J.; Lian, S.; Shi, Y.Q. Hybrid multiplicative multiwatermarking in DWT domain. Multidimens. Syst. Signal Process. 2017, 28, 617–636. [Google Scholar] [CrossRef]
- Xiong, L.; Xu, Z.; Shi, Y.Q. An integer wavelet transform based scheme for reversible data hiding in encrypted images. Multidimens. Syst. Signal Process. 2018, 29, 1191–1202. [Google Scholar] [CrossRef]
- Yu, X.Y.; Wang, C.Y.; Zhou, X. A hybrid transforms based robust video zero-watermarking algorithm for resisting high efficiency video coding compression. IEEE Access 2019, 7, 115708–115724. [Google Scholar] [CrossRef]
- Langelaar, G.C.; Setyawan, I.; Lagendijk, R.L. Watermarking digital image and video data: A state–of–the–art overview. IEEE Trans. Signal Process. Mag. 2000, 17, 20–26. [Google Scholar] [CrossRef]
- Cheng, Q.; Huang, T.S. Robust optimum detection of transform domain multiplicative watermarks. IEEE Trans. Signal Process. 2003, 51, 906–924. [Google Scholar] [CrossRef]
- Do, M.N.; Vetterli, M. The contourlet transform: an efficient directional multi-resolution image processing. IEEE Trans. Image Process. 2005, 14, 2091–2106. [Google Scholar] [CrossRef]
- Kalantari, N.K.; Ahadi, S.M.; Vafadust, M. A robust image watermarking in the ridgelet domain using universally optimum decoder. IEEE Trans. Circuit. Syst. Video Technol. 2010, 20, 396–406. [Google Scholar] [CrossRef]
- Demanet, L.; Ying, L.X. Wave atoms and time upscaling of wave equations. Numer. Math. 2009, 13, 1–71. [Google Scholar] [CrossRef]
- Sadreazami, H.; Ahmad, O.; Swamy, M.N.S. Multiplicative watermark decoder in contourlet domain using the normal inverse Gaussian distribution. IEEE Trans. Multimed. 2016, 18, 196–207. [Google Scholar] [CrossRef]
- Wang, F.; Zhao, X.L.; Ng, M. Multiplicative noise and blur removal by framelet decomposition and L1 based L–curve method. IEEE Trans. Image Process. 2016, 25, 4222–4232. [Google Scholar] [CrossRef]
- Selesnick, I.W.; Baraniuk, R.G.; Kingbury, N.G. The dual–tree complex wavelets transform—A coherent framework for multi-scale signal and image processing. IEEE Signal Process. Mag. 2005, 22, 123–151. [Google Scholar] [CrossRef]
- Liu, J.H.; Xu, Y.Y.; Wang, S.; Zhu, C. Complex wavelet domain image watermarking algorithm using L1 norm function–based quantization. Circuits Syst. Signal Process. 2018, 37, 1268–1286. [Google Scholar] [CrossRef]
- Celik, T.; Ma, K.K. Unsupervised change detection for satellite images using dual–tree complex wavelet transform. IEEE Trans. Geosci. Remote Sens. 2010, 48, 1199–1210. [Google Scholar] [CrossRef]
- Watson, A.B.; Yang, G.Y.; Solomon, J.A.; Villasenor, J. Visibility of wavelet quantization noise. IEEE Trans. Image Process. 1997, 6, 1164–1175. [Google Scholar] [CrossRef]
- Yang, X.; Lin, W.; Liu, Z.; Ongg, Z.; Yao, S. Motion–compensated residue preprocessing in video coding based on just–noticeable–distortion profile. IEEE Trans. Circuits Syst. Video Technol. 2005, 15, 745–752. [Google Scholar]
- Wang, C.; Zhang, T.; Wan, W.; Han, X.; Xu, M. A novel STDM watermarking using visual saliency based JND model. Information 2017, 8, 103. [Google Scholar] [CrossRef]
- Wang, C.; Han, X.; Wan, W.; Li, J.; Sun, J.; Xu, M. Visual saliency based just noticeable difference estimation in DWT domain. Information 2018, 9, 178. [Google Scholar] [CrossRef]
- Akhaee, M.A.; Sahraeian, S.M.; Marvasti, F. Contourlet based image watermarking using optimum detector in a noisy environment. IEEE Trans. Image Process. 2010, 19, 967–980. [Google Scholar] [CrossRef]
- Papakostas, G.A.; Tsougenis, E.D.; Koulouriotis, D.E. Fuzzy knowledge based adaptive image watermarking by the method of moments. Complex Intell. Syst. 2016, 2, 205–220. [Google Scholar] [CrossRef]
- Borji, A.; Itti, L. State-of-the-art in visual attention modeling. IEEE Trans. Pattern Anal. Mach. Intell. 2013, 35, 185–207. [Google Scholar] [CrossRef] [PubMed]
- Borji, A.; Sihite, D.N.; Itti, L. Quantitative analysis of human model agreement in visual saliency modeling: A comparative study. IEEE Trans. Image Process. 2013, 22, 55–69. [Google Scholar] [CrossRef] [PubMed]
- Wang, Z.; Bovik, A.C.; Sheikh, H.R. Image quality assessment from error visibility to structural similarity. IEEE Trans. Image Process. 2004, 13, 600–612. [Google Scholar] [CrossRef] [PubMed]
- Yadav, N.; Singh, K. Robust image–adaptive watermarking using an adjustable dynamic strength factor. Signal Image Video Process. 2015, 9, 1531–1542. [Google Scholar] [CrossRef]
- Tsougenis, E.D.; Papakostas, G.A.; Koulouriotis, D.E.; Tourassis, V.D. Towards adaptivity of image watermarking in polar harmonic transforms domain. Opt. Laser Technol. 2013, 54, 84–97. [Google Scholar] [CrossRef]








| Image | Watermark Length 128 | Watermark Length 1024 | ||
|---|---|---|---|---|
| PSNR (dB) | SSIM | PSNR (dB) | SSIM | |
| Barbara | 51.1151 | 0.9999 | 42.4725 | 0.9959 |
| Boat | 51.6759 | 0.9998 | 41.8977 | 0.9952 |
| Bridge | 51.4628 | 0.9999 | 42.7279 | 0.9979 |
| Elaine | 51.1990 | 0.9995 | 41.4759 | 0.9938 |
| Lena | 52.2745 | 0.9998 | 46.0169 | 0.9931 |
| Man | 53.0835 | 0.9999 | 48.8653 | 0.9995 |
| Mandrill | 53.0835 | 0.9999 | 48.8653 | 0.9995 |
| Peppers | 51.5919 | 0.9996 | 42.2739 | 0.9939 |
| Image | Scaling Factor | ||||||||||
|---|---|---|---|---|---|---|---|---|---|---|---|
| 0.5 | 0.7 | 0.75 | 0.8 | 0.9 | 1.1 | 1.2 | 1.3 | 1.4 | 1.5 | 2.0 | |
| Barbara | 0.0086 | 0.1868 | 0 | 0.0789 | 0.0164 | 0.1422 | 0.0820 | 0.0531 | 0 | 0 | 0 |
| Boat | 0 | 0.3141 | 0 | 0.1984 | 0.0336 | 0.2781 | 0.1883 | 0.0945 | 0 | 0 | 0 |
| Bridge | 0 | 0.1547 | 0 | 0.0719 | 0.0086 | 0.1250 | 0.0828 | 0.0336 | 0 | 0 | 0 |
| Elaine | 0 | 0.2750 | 0 | 0.1430 | 0.0383 | 0.2297 | 0.1406 | 0.0672 | 0.0047 | 0 | 0 |
| Lena | 0 | 0.2210 | 0 | 0.1289 | 0.0195 | 0.1828 | 0.1250 | 0.0680 | 0.0047 | 0 | 0 |
| Man | 0 | 0.2617 | 0 | 0.1273 | 0.0234 | 0.2336 | 0.1289 | 0.0586 | 0.0063 | 0 | 0 |
| Mandrill | 0.0016 | 0.1172 | 0 | 0.0195 | 0 | 0.0836 | 0.0234 | 0.0047 | 0 | 0 | 0 |
| Peppers | 0 | 0.2688 | 0 | 0.1563 | 0.0258 | 0.2398 | 0.1555 | 0.0570 | 0.0078 | 0 | 0 |
| Image | Rotation Angle | |||||||||
|---|---|---|---|---|---|---|---|---|---|---|
| −10° | −5° | −2° | −1° | −0.5° | 0.5° | 1° | 2° | 5° | 10° | |
| Barbara | 0.0825 | 0.0422 | 0.0422 | 0.0383 | 0.0336 | 0.0186 | 0.0188 | 0.0188 | 0.0297 | 0.0398 |
| Boat | 0.0320 | 0.0328 | 0.0289 | 0.0266 | 0.0242 | 0 | 0 | 0.0031 | 0.0078 | 0.0078 |
| Bridge | 0.0430 | 0.0328 | 0.0266 | 0.0266 | 0.0266 | 0.0258 | 0.0320 | 0.0344 | 0.0430 | 0.0594 |
| Elaine | 0.0727 | 0.0344 | 0.0164 | 0.0164 | 0.0164 | 0.0172 | 0.0172 | 0.0172 | 0.0352 | 0.0531 |
| Lena | 0.0422 | 0.0188 | 0.0133 | 0.0133 | 0.0133 | 0.0078 | 0.0078 | 0.0078 | 0.0133 | 0.0273 |
| Man | 0.0320 | 0.0227 | 0.0109 | 0.0109 | 0.0109 | 0.0031 | 0.0031 | 0.0070 | 0.0227 | 0.0328 |
| Mandrill | 0.1016 | 0.0789 | 0.0617 | 0.0617 | 0.0617 | 0.0359 | 0.0391 | 0.0391 | 0.0476 | 0.0820 |
| Peppers | 0.0398 | 0.0289 | 0.0242 | 0.0195 | 0.0164 | 0.0312 | 0.0359 | 0.0359 | 0.0523 | 0.0516 |
| Image | Gaussian Filtering | Median Filtering | ||||
|---|---|---|---|---|---|---|
| Barbara | 0.0375 | 0.0535 | 0.0535 | 0.0562 | 0.1734 | 0.2757 |
| Boat | 0.0176 | 0.0320 | 0.0340 | 0.0671 | 0.1902 | 0.2820 |
| Bridge | 0.0512 | 0.0664 | 0.0672 | 0.1316 | 0.2668 | 0.3422 |
| Elaine | 0.0227 | 0.0316 | 0.0332 | 0.0020 | 0.0309 | 0.1129 |
| Lena | 0.0301 | 0.0410 | 0.0430 | 0.0652 | 0.1836 | 0.2566 |
| Man | 0.0531 | 0.0754 | 0.0785 | 0.0715 | 0.2020 | 0.2793 |
| Mandrill | 0.0535 | 0.0750 | 0.0750 | 0.2035 | 0.3074 | 0.3555 |
| Peppers | 0.0297 | 0.0449 | 0.0469 | 0.0227 | 0.0668 | 0.1707 |
| Method | Barbara | Boat | Peppers | Elaine | Bridge | Mandrill |
|---|---|---|---|---|---|---|
| JPEG and Scaling (0.75) | 0 | 0.0078 | 0 | 0.0078 | 0 | 0.0078 |
| JPEG and Scaling (0.90) | 0.0187 | 0.0078 | 0 | 0.0178 | 0.0078 | 0.0239 |
| JPEG and Scaling (1.10) | 0.0781 | 0.0356 | 0.0313 | 0.0664 | 0.1253 | 0.0907 |
| JPEG and Gaussian filtering | 0.0586 | 0.0313 | 0.0295 | 0.0352 | 0.0519 | 0.0643 |
| JPEG and Gaussian filtering | 0.0586 | 0.0508 | 0.0364 | 0.0469 | 0.0741 | 0.0852 |
| JPEG and Median filtering | 0.0591 | 0.0710 | 0.0390 | 0.1168 | 0.0078 | 0.2015 |
| JPEG and Median filtering | 0.1476 | 0.1592 | 0.1187 | 0.2375 | 0.0352 | 0.2848 |
| Method | AWGN σn = 20 | Median 3 × 3 | Gaussian 3 × 3 | JPEG 10% | Scaling 0.9 | Rotation −5° | Rotation 5° |
|---|---|---|---|---|---|---|---|
| Test image Barbara | |||||||
| Akhaee [16] | 6.33 | 7.06 | 3.16 | 7.80 | 2.79 | 3.92 | 2.36 |
| Kalantari [28] | 0.19 | 20.47 | 5.29 | 7.03 | 6.11 | 9.04 | 10.09 |
| Yadav [44] | 0 | 0.78 | 0.39 | 11.72 | 0.32 | 6.27 | 7.35 |
| Proposed | 2.15 | 2.73 | 1.17 | 2.73 | 0 | 3.52 | 2.34 |
| Test image Boat | |||||||
| Akhaee [16] | 9.54 | 11.11 | 5.46 | 16.39 | 4.46 | 3.09 | 0.35 |
| Kalantari [28] | 0 | 14.38 | 8.31 | 9.64 | 8.23 | 8.98 | 9.40 |
| Yadav [44] | 2.34 | 1.95 | 1.17 | 9.37 | 0.16 | 5.74 | 6.03 |
| Proposed | 2.58 | 2.73 | 0 | 2.73 | 0.78 | 1.95 | 0.78 |
| Test image Peppers | |||||||
| Akhaee [16] | 11.23 | 2.78 | 3.26 | 17.25 | 1.27 | 3.40 | 4.80 |
| Kalantari [28] | 0 | 3.44 | 6.19 | 8.07 | 7.22 | 9.15 | 11.34 |
| Yadav [44] | 1.56 | 0.78 | 1.95 | 10.93 | 0.24 | 6.90 | 8.85 |
| Proposed | 2.81 | 0.78 | 1.17 | 4.30 | 0.39 | 2.73 | 3.52 |
| Image | Kalantari [28] | Proposed Method | ||||
|---|---|---|---|---|---|---|
| Median Filtering | Median Filtering | |||||
| 3 × 3 | 5 × 5 | 7 × 7 | 3 × 3 | 5 × 5 | 7 × 7 | |
| Lena | 10.16 | 21.48 | 28.52 | 2.73 | 13.67 | 18.75 |
| Peppers | 3.44 | 14.45 | 25.07 | 0.78 | 3.91 | 14.84 |
| Boat | 14.38 | 26.10 | 37.89 | 2.73 | 13.28 | 22.66 |
| Method | Image | JPEG Compression Quality Factor (%) | ||||
|---|---|---|---|---|---|---|
| 10 | 20 | 30 | 40 | 50 | ||
| Kalantari [28] | Lena | 9.24 | 1.74 | 0.78 | 0.13 | 0 |
| Yadav [44] | Lena | 18.75 | 8.98 | 4.30 | 0.78 | 0 |
| Proposed | Lena | 6.25 | 0 | 0 | 0 | 0 |
| Kalantari [28] | Peppers | 8.07 | 2.21 | 0.78 | 0.26 | 0 |
| Yadav [44] | Peppers | 10.94 | 3.91 | 1.17 | 0.78 | 0.39 |
| Proposed | Peppers | 4.30 | 0.39 | 0.39 | 0 | 0 |
| Kalantari [28] | Boat | 9.64 | 1.56 | 0.39 | 0 | 0 |
| Yadav [44] | Boat | 9.37 | 6.25 | 1.72 | 0.39 | 0 |
| Proposed | Boat | 2.73 | 0 | 0.39 | 0 | 0 |
| Method | Scaling Factor | ||||||
|---|---|---|---|---|---|---|---|
| 0.5 | 0.7 | 0.9 | 1.1 | 1.3 | 1.5 | ||
| Yadav [44] | Lena | 1.0 | 20.0 | 10.0 | 6.0 | 0 | 0 |
| Tsougenis [45] | Lena | 5.0 | 3.0 | 4.0 | 8.0 | 8.0 | 12.0 |
| Proposed method | Lena | 0 | 11.7 | 1.90 | 7.7 | 7.0 | 0 |
| Yadav [44] | Peppers | 0 | 13.0 | 6.0 | 1.0 | 0 | 0 |
| Tsougenis [45] | Peppers | 13.0 | 5.0 | 8.0 | 17.0 | 17.0 | 20.0 |
| Proposed method | Peppers | 0 | 11.4 | 3.0 | 10.0 | 0 | 0 |
© 2019 by the authors. Licensee MDPI, Basel, Switzerland. This article is an open access article distributed under the terms and conditions of the Creative Commons Attribution (CC BY) license (http://creativecommons.org/licenses/by/4.0/).
Share and Cite
Liu, J.; Rao, Y.; Huang, Y. Complex Wavelet-Based Image Watermarking with the Human Visual Saliency Model. Electronics 2019, 8, 1462. https://doi.org/10.3390/electronics8121462
Liu J, Rao Y, Huang Y. Complex Wavelet-Based Image Watermarking with the Human Visual Saliency Model. Electronics. 2019; 8(12):1462. https://doi.org/10.3390/electronics8121462
Chicago/Turabian StyleLiu, Jinhua, Yunbo Rao, and Yuanyuan Huang. 2019. "Complex Wavelet-Based Image Watermarking with the Human Visual Saliency Model" Electronics 8, no. 12: 1462. https://doi.org/10.3390/electronics8121462
APA StyleLiu, J., Rao, Y., & Huang, Y. (2019). Complex Wavelet-Based Image Watermarking with the Human Visual Saliency Model. Electronics, 8(12), 1462. https://doi.org/10.3390/electronics8121462

