Combination of High-Order Modulation and Non-Binary LDPC Codes over GF(7) for Non-Linear Satellite Channels
Abstract
1. Introduction
2. Nonlinear Satellite Channel Model
3. Design and Analysis of 7-QAM Constellation
3.1. Design of 7-QAM Constellation
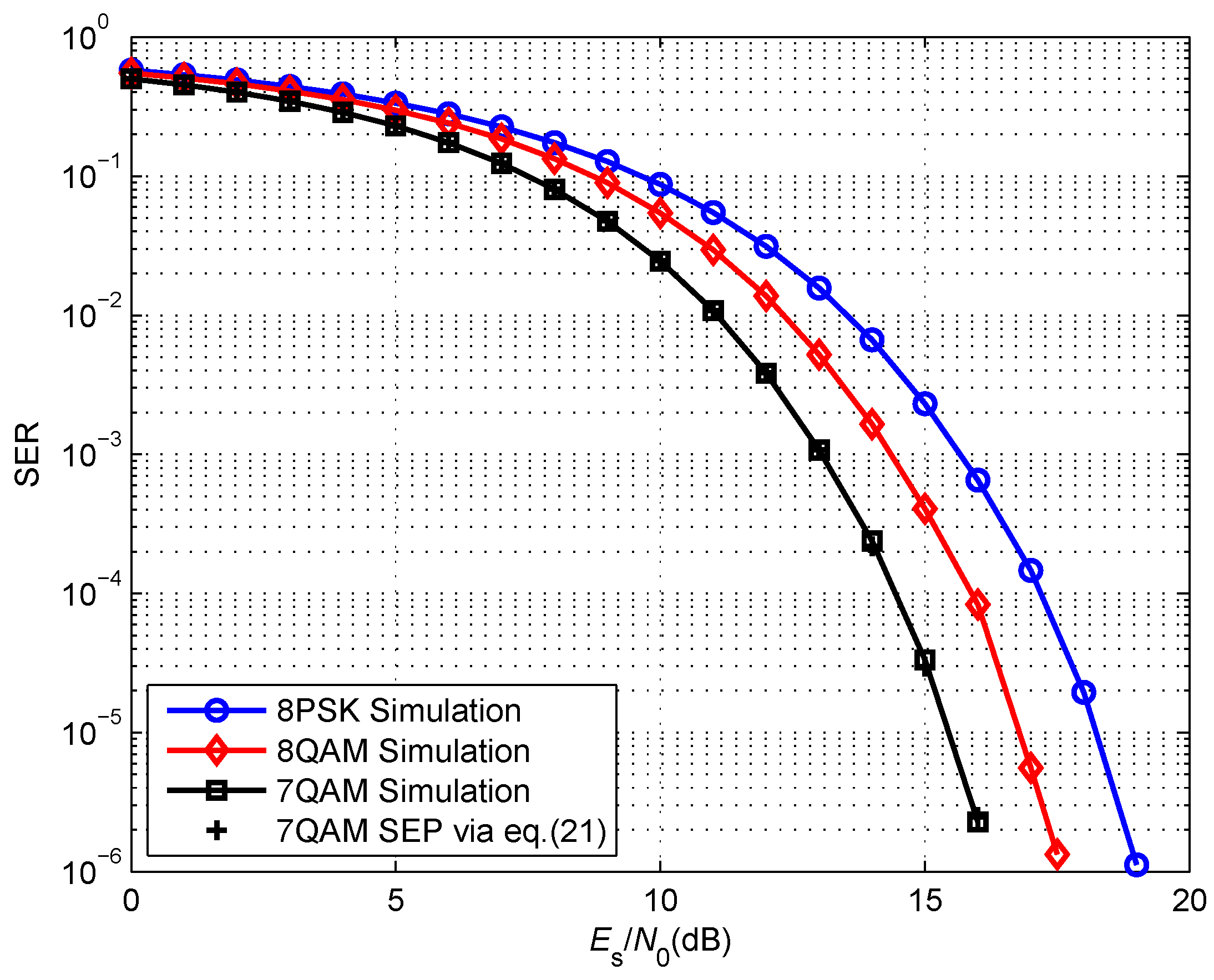
3.2. SEP Expression of 7-QAM Constellation
3.3. Analysis of Constellation Distortion
4. Combined with NB-LDPC Codes over GF(7)
- (i)
- Replace the elements ‘0’ and ‘1’ in with ‘-1’ and the number of the set , where u is the expansion ratio. The resulting matrix can be written aswhere .
- (ii)
- Extend the element in into a matrix for the binary parity check matrix , which can be expressed aswhere , and is a zero matrix as or a matrix obtained by right cyclically shifting the identity matrix according to the value of .
- (iii)
- Replace the nonzero element in with the nonzero element of GF(7). The obtained matrix can be written aswhere GF(7). That is, the obtained matrix is a parity check matrix of NB-LDPC codes over GF(7).
5. Simulation Results
6. Conclusions
Author Contributions
Funding
Conflicts of Interest
References
- Simons, R.N. Link analysis of high-throughput spacecraft communication systems for future science missions antenna applications corner. IEEE Antennas Propag. Mag. 2016, 58, 66–73. [Google Scholar] [CrossRef]
- Dimitrov, S. Nonlinear distortion cancellation and symbol-based equalization in satellite forward links. IEEE Trans. Commun. 2017, 16, 4489–4502. [Google Scholar] [CrossRef]
- Layton, K.J.; Mehboob, A.; Akhlaq, A.; Bagaglini, F.; Cowley, W.G.; Lechner, G. Predistortion for wideband nonlinear satellite downlinks. IEEE Commun. Lett. 2017, 21, 1985–1988. [Google Scholar] [CrossRef]
- Xue, R.; Yu, H.; Cheng, Q. Adaptive coded modulation based on continuous phase modulation for inter-satellite links of global navigation satellite systems. IEEE Access 2018, 6, 20652–20662. [Google Scholar] [CrossRef]
- Anedda, M.; Meloni, A.; Murroni, M. 64-APSK constellation and mapping optimization for satellite broadcasting using genetic algorithms. IEEE Trans. Broadcast. 2016, 62, 1–9. [Google Scholar] [CrossRef]
- Cronie, H.S. Signal shaping for bit-interleaved coded modulation on the AWGN channel. IEEE Trans. Commun. 2011, 58, 3428–3435. [Google Scholar] [CrossRef]
- Meloni, A.; Murroni, M. On the genetic optimization of APSK constellations for satellite broadcasting. In Proceedings of the 2014 IEEE International Symposium on Broadband Multimedia Systems and Broadcasting, Beijing, China, 25–27 June 2014. [Google Scholar] [CrossRef]
- Kayhan, F.; Montorsi, G. Constellation design for transmission over nonlinear satellite channels. In Proceedings of the 2012 IEEE Global Communications Conference (GLOBECOM), Anaheim, CA, USA, 3–7 December 2012; pp. 3401–3406. [Google Scholar] [CrossRef]
- Dalakas, V.; Papaharalabos, S.; Mathiopoulos, P.T.; Candreva, E.A.; Corazza, G.E.; Vanelli-Coralli, A. BICMC and TD comparative performance study of 16-APSK signal variants for DVB-S2 systems. IEEE Commun. Lett. 2015, 19. [Google Scholar] [CrossRef]
- Sung, W.; Kang, S.; Kim, P.; Chang, D.; Shin, D. Performance analysis of APSK modulation for DVB-S2 transmission over nonlinear channels. Int. J. Satell. Commun. Netw. 2009, 27, 295–311. [Google Scholar] [CrossRef]
- Richardson, T.J.; Shokrollahi, M.A.; Urbanke, R.L. Design of capacity-approaching irregular low-density parity-check codes. IEEE Trans. Inf. Theory 2001, 47, 619–637. [Google Scholar] [CrossRef]
- Liu, T.; Lin, C.; Djordjevic, I. Advanced GF(32) nonbinary LDPC coded modulation with non-uniform 9-QAM outperforming star 8-QAM. Opt. Express 2016, 24, 13866–13874. [Google Scholar] [CrossRef]
- Lin, C.; Zou, D.; Liu, T.; Djordjevic, I. Capacity achieving nonbinary LDPC coded non-uniform shaping modulation for adaptive optical communications. Opt. Express 2016, 24, 18095–18104. [Google Scholar] [CrossRef] [PubMed]
- Simon, M.; Smith, J. Hexagonal multiple phase-and-amplitude-shift-keyed signal sets. IEEE Trans. Commun. 1973, 21, 1108–1115. [Google Scholar] [CrossRef]
- Hosur, S.; Mansour, M.F.; Roh, J.C. Hexagonal constellations for small cell communication. In Proceedings of the IEEE Global Communication Conference (GLOBECOM), Atlanta, GA, USA, 9–13 December 2013; pp. 3270–3275. [Google Scholar] [CrossRef]
- Yang, M.; Rastegarfar, H.; Djordjevic, I. Probabilistically coded modulation formats for 5G mobile fronthaul networks. J. Lightwave Technol. 2019, 37, 3882–3892. [Google Scholar] [CrossRef]
- Abdelaziz, M.; Gulliver, T.A. Triangular constellations for adaptive modulation. IEEE Trans. Commun. 2018, 66, 756–766. [Google Scholar] [CrossRef]
- Forney, G.D.; Gallager, R.; Lang, G.; Longstaff, F.M.; Qureshi, S.U. Efficient modulation for band-limited channels. IEEE J. Sel. Areas Commun. 1984, 2, 632–647. [Google Scholar] [CrossRef]
- Tanahashi, M.; Ochiai, H. A multilevel coded modulation approach for hexagonal signal constellation. IEEE Trans. Wirel. Commun. 2009, 8, 4993–4997. [Google Scholar] [CrossRef]
- Singya, P.K.; Kumar, N.; Bhatia, V.; Alouini, M.S. On performance of hexagonal cross and rectangular QAM for multi-relay systems. IEEE Access 2019, 7, 60602–60616. [Google Scholar] [CrossRef]
- Hu, X.Y.; Eleftheriou, E. Binary representation of cycle tanner-graph GF(2q) codes. Proc. IEEE Int. Conf. Commun. 2004, 1, 528–532. [Google Scholar] [CrossRef]
- Szczecinski, L.; Aissa, S.; Gonzalez, C.; Bacic, M. Exact evaluation of bit- and symbol-error rates for arbitrary 2D modulation and nonuniform signaling in AWGN channel. IEEE Trans. Commun. 2006, 54, 1049–1056. [Google Scholar] [CrossRef]
- Noda, S.; Koike, S. Optimum binary to symbol coding for 6PSK and bit error rate performance. In Proceedings of the 2007 IEEE Wireless Communications and Networking Conference, Kowloon, China, 11–15 March 2007; pp. 509–513. [Google Scholar] [CrossRef]
- Cay, A.; Popescu, D.C. On the probability of symbol error for two-dimensional signal constellations with non-uniform decision regions. In Proceedings of the 2012 46th Annual Conference on Information Sciences and Systems (CISS), Princeton, NJ, USA, 21–23 March 2012. [Google Scholar] [CrossRef]
- Park, S.J. Performance analysis of triangular quadrature amplitude modulation in AWGN channel. IEEE Commun. Lett. 2012, 16. [Google Scholar] [CrossRef]
- Rugini, L. Symbol error probability of hexagonal QAM. IEEE Commun. Lett. 2016, 20, 1523–1526. [Google Scholar] [CrossRef]
- Li, J.; Zhang, X.D.; Beaulieu, N.C. Precise calculation of the SEP of 128- and 512-cross-QAM in AWGN. IEEE Commun. Lett. 2008, 12, 1–3. [Google Scholar] [CrossRef]
- Beaulieu, N.C.; Chen, Y. Closed-form expressions for the exact symbol error probability of 32-cross-QAM in AWGN and in slow nakagami fading. IEEE Commun. Lett. 2007, 11, 310–312. [Google Scholar] [CrossRef]
- Aggarwal, S. A survey-cum-tutorial on approximations to Gaussian Q function for symbol eerror probability analysis over nakagami- m fading channels. IEEE Commun. Surv. Tutor. 2019, 21, 2195–2223. [Google Scholar] [CrossRef]
- Kumar, N.; Singya, P.K.; Bhatia, V. ASER analysis of hexagonal and rectangular QAM schemes in multiple-relay networks. IEEE Trans. Veh. Technol. 2018, 67, 1815–1819. [Google Scholar] [CrossRef]
- Cianca, E.; Rossi, T.; Yahalom, A.; Pinhasi, Y.; Farserotu, J.; Sacchi, C. EHF for satellite communications: The new broadband frontier. Proc. IEEE 2011, 99, 1858–1881. [Google Scholar] [CrossRef]
- Saleh, A.A.M. Frequency-independent and frequency-dependent nonlinear models of TWT amplifiers. IEEE Trans. Commun. 1981, 29, 1715–1720. [Google Scholar] [CrossRef]
- Poulliat, C.; Fossorier, M.; Declercq, D. Design of regular (2,dc)-LDPC codes over GF(q) using their binary images. IEEE Trans. Commun. 2008, 56, 1626–1635. [Google Scholar] [CrossRef]
- Han, G.; Guan, Y.L.; Huang, X. Check node reliability-based scheduling for BP decoding of non-binary LDPC codes. IEEE Trans. Commun. 2013, 61, 877–885. [Google Scholar] [CrossRef]
- Declercq, D.; Fossorier, M. Decoding algorithms for non-binary LDPC codes over GF(q). IEEE Trans. Commun. 2007, 55, 633–643. [Google Scholar] [CrossRef]










| Constellation | ||
|---|---|---|
| 7-QAM | ||
| 8-PSK | ||
| 8-QAM |
| Constellation | PAPR | ||
|---|---|---|---|
| 7-QAM | 1.1667 | ||
| 8-PSK | 1 | ||
| 8-QAM | 1.5774 |
© 2019 by the authors. Licensee MDPI, Basel, Switzerland. This article is an open access article distributed under the terms and conditions of the Creative Commons Attribution (CC BY) license (http://creativecommons.org/licenses/by/4.0/).
Share and Cite
Liu, Y.; Chen, W.; Wang, A.; Han, C. Combination of High-Order Modulation and Non-Binary LDPC Codes over GF(7) for Non-Linear Satellite Channels. Electronics 2019, 8, 1396. https://doi.org/10.3390/electronics8121396
Liu Y, Chen W, Wang A, Han C. Combination of High-Order Modulation and Non-Binary LDPC Codes over GF(7) for Non-Linear Satellite Channels. Electronics. 2019; 8(12):1396. https://doi.org/10.3390/electronics8121396
Chicago/Turabian StyleLiu, Yanyan, Weigang Chen, Anguo Wang, and Changcai Han. 2019. "Combination of High-Order Modulation and Non-Binary LDPC Codes over GF(7) for Non-Linear Satellite Channels" Electronics 8, no. 12: 1396. https://doi.org/10.3390/electronics8121396
APA StyleLiu, Y., Chen, W., Wang, A., & Han, C. (2019). Combination of High-Order Modulation and Non-Binary LDPC Codes over GF(7) for Non-Linear Satellite Channels. Electronics, 8(12), 1396. https://doi.org/10.3390/electronics8121396

