Filtering Techniques for Chaotic Signal Processing
Abstract
:1. Introduction
2. Materials and Methods
2.1. Synchronization of Rössler Chaotic Systems
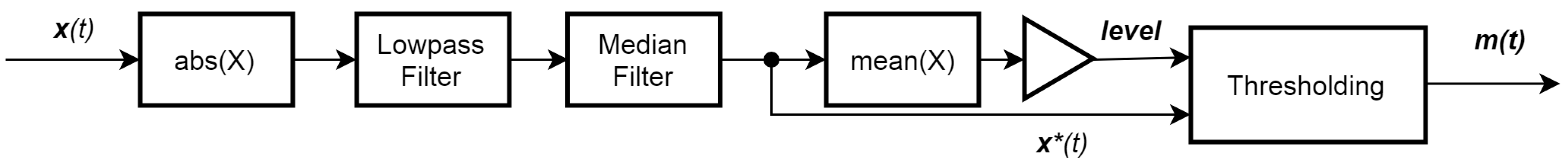
2.2. Filtration Techniques
2.2.1. Empirical Mode Decomposition
2.2.2. Nonlinear Filtration by Chain of Driven Oscillators
3. Results
4. Conclusion and Discussion
Author Contributions
Funding
Acknowledgments
Conflicts of Interest
References
- Dmitriev, A.S.; Hasler, M.; Panas, A.I.; Zakharchenko, K.V. Basic principles of direct chaotic communications. In Synchronization: Theory and Application; Springer: Dordrecht, The Netherlands, 2003; pp. 41–63. [Google Scholar]
- Riaz, A.; Ali, M. Chaotic Communications, their applications and advantages over traditional methods of communication. In Proceedings of the 6th International Symposium on Communication Systems, Networks and Digital Signal Processing, Graz, Austria, 25 July 2008; pp. 21–24. [Google Scholar] [CrossRef]
- Prokhorov, M.D.; Ponomarenko, V.I.; Kulminskiy, D.D.; Koronovskii, A.A.; Moskalenko, O.I.; Hramov, A.E. Resistant to noise chaotic communication scheme exploiting the regime of generalized synchronization. Nonlinear Dyn. 2017, 87, 2039–2050. [Google Scholar] [CrossRef]
- Kaddoum, G. Wireless Chaos-Based Communication Systems: A Comprehensive Survey. IEEE Access 2016, 4, 2621–2648. [Google Scholar] [CrossRef]
- Koronovskii, A.A.; Moskalenko, O.I.; Hramov, A.E. On the use of chaotic synchronization for secure communication. Uspekhi Fizicheskikh Nauk 2009, 179, 1281–1310. [Google Scholar] [CrossRef]
- Liu, L.; Li, Y.; Zhang, Z.; Song, H.; Jin, Z. High-efficiency and noise-robust DCSK approach based on an analytically solvable chaotic oscillator. Electron. Lett. 2018, 54, 1384–1385. [Google Scholar] [CrossRef]
- Williams, C. Robust chaotic communications exploiting waveform diversity. Part 1: Correlation detection and implicit coding. IET Commun. 2008, 2, 1213–1222. [Google Scholar] [CrossRef]
- Jako, Z.; Kis, G. Application of noise reduction to chaotic communications: A case study. IEEE Trans. Circ. Syst. I Fundam. Theory Appl. 2000, 47, 1720–1725. [Google Scholar] [CrossRef]
- An, X.L.; Yu, J.N.; Li, Y.Z.; Chu, Y.D.; Zhang, J.G.; Li, X.F. Design of a new multistage chaos synchronized system for secure communications and study on noise perturbation. Math. Comput. Model. 2011, 54, 7–18. [Google Scholar] [CrossRef]
- Hasler, M.; Schimming, T. Chaos communication over noisy channels. Int. J. Bifurc. Chaos 2000, 10, 719–735. [Google Scholar] [CrossRef]
- Wang, S.; Long, Z.; Wang, J.; Guo, J. A noise reduction method for discrete chaotic signals and its application in communication. In Proceedings of the 4th International Congress on Image and Signal Processing, Shanghai, China, 15–17 October 2011; pp. 2303–2307. [Google Scholar] [CrossRef]
- Cuomo, K.M.; Oppenheim, A.V.; Strogatz, S.H. Synchronization of Lorenz-based chaotic circuits with applications to communications. IEEE Trans. Circ. Syst. II Analog Digit. Signal Process. 1993, 40, 626–633. [Google Scholar] [CrossRef]
- Dedieu, H.; Kennedy, M.; Hasler, M. Chaos shift keying: Modulation and demodulation of a chaotic carrier using self-synchronizing Chua’s circuits. IEEE Trans. Circ. Syst. II Analog Digit. Signal Process. 1993, 40, 634–642. [Google Scholar] [CrossRef]
- Dmitriev, A.S.; Panas, A.I.; Starkov, S.O. Experiments on speech and music signals transmission using chaos. Int. J. Bifurc. Chaos 1995, 5, 1249–1254. [Google Scholar] [CrossRef]
- Yang, T.; Chua, L. Secure communication via chaotic parameter modulation. IEEE Trans. Circ. Syst. I Fundam. Theory Appl. 1996, 43, 817–819. [Google Scholar] [CrossRef]
- Rössler, O.E. An equation for continuous chaos. Phys. Lett. A 1976, 57, 397–398. [Google Scholar] [CrossRef]
- Pecora, L.; Carroll, T. Synchronization in chaotic system. Phys. Rev. Lett. 1990, 64, 821. [Google Scholar] [CrossRef] [PubMed]
- Sira-Ramirez, H.; Cruz-Hernandez, C. Synchronization of chaotic systems: A generalized Hamiltonian systems approach. Int. J. Bifurc. Chaos 2001, 11, 1381–1395. [Google Scholar] [CrossRef]
- Jackson, E.A.; Grosu, I. An open-plus-closed-loop (OPCL) control of complex dynamic systems. Phys. D Nonlinear Phenom. 1995, 85, 1–9. [Google Scholar] [CrossRef]
- Carroll, T.L. Noise-resistant chaotic synchronization. Phys. Rev. E 2011, 64, 015201. [Google Scholar] [CrossRef] [PubMed]
- Butusov, D.N.; Ostrovskii, V.Y.; Pesterev, D.O. Numerical analysis of memristor-based circuits with semi-implicit methods. In Proceedings of the 2017 IEEE Russia Section Young Researchers in Electrical and Electronic Engineering Conference, ElConRus, St. Petersburg, Russia, 1–3 February 2017; pp. 271–276. [Google Scholar]
- Butusov, D.N.; Andreev, V.S.; Pesterev, D.O. Composition semi-implicit methods for chaotic problems simulation. In Proceedings of the 19th International Conference on Soft Computing and Measurements, SCM, St. Petersburg, Russia, 25–27 May 2016; pp. 107–110. [Google Scholar]
- Mitra, S.K. Digital Signal Processing, 2nd ed.; McGraw-Hill: New York, NY, USA, 2001. [Google Scholar]
- Percival, D.B.; Walden, A.T. Wavelet Methods for Time Series Analysis; Cambridge University Press: Cambridge, UK, 2000. [Google Scholar]
- Brown, R.G.; Hwang, P.Y.C. Introduction to Random Signals and Applied Kalman Filtering, 3rd ed.; John Wiley & Sons: New York, NY, USA, 1996; ISBN 0-471-12839-2. [Google Scholar]
- Taebi, A.; Mansy, H.A. Noise cancellation from vibrocardiographic signals based on the ensemble empirical mode decomposition. J. Biotechnol. Bioeng. 2017, 2, 00024. [Google Scholar] [CrossRef]
- Kopsinis, Y.; McLaughlin, S. Empirical Mode Decomposition Based Denoising Techniques; IDCOM, School of Engineering and Electronics the University of Edinburgh, King’s Buildings: Edinburgh, Scotland, 2010. [Google Scholar]
- Huang, N.E.; Shen, Z.; Long, S.R.; Wu, M.C.; Shih, H.H.; Zheng, Q.; Yen, N.C.; Tung, C.C.; Liu, H.H. The empirical mode decomposition and the Hilbert spectrum for nonlinear and non-stationary time series analysis. Proc. R. Soc. Lond. A 1998, 454, 903–995. [Google Scholar] [CrossRef]
- Huang, N.E.; Shen, S.S.P. Hilbert-Huang Transform and Its Applications; World Scientific: London, UK, 2005; ISBN 978-9812563767. [Google Scholar]
- Petrzela, J. On the existence of chaos in the electronically adjustable structures of the state variable filters. Int. J. Circ. Theory Appl. 2016, 44, 1779–1797. [Google Scholar] [CrossRef]
- Kasdin, N.J.; Walter, T. Discrete simulation of power law noise (for oscillator stability evaluation). In Proceedings of the 1992 IEEE Frequency Control Symposium, Hershey, PA, USA, 27–29 May 1992; pp. 274–283. [Google Scholar] [CrossRef]
- Belkin, D.A.; Krasilnikov, A.V.; Pesterev, D.O.; Karimov, T.I. Influence of disturbances in sync signal path on dynamical systems synchronization. In Proceedings of the IEEE Soft Computing and Measurements (SCM), St. Petersburg, Russia, 24–26 May 2017; pp. 145–147. [Google Scholar] [CrossRef]














| Denoising technique | Pros | Cons |
|---|---|---|
| Median filtering | Easy to implement; one adjustable parameter | Not efficient |
| Wavelet denoising | Fine performance | Difficult to adjust |
| EMD denoising | Fine performance | Difficult to adjust; parameters depend on SNR |
| Driven oscillators chain filtering | Fine performance; easy to implement; no parameters to adjust | - |
© 2018 by the authors. Licensee MDPI, Basel, Switzerland. This article is an open access article distributed under the terms and conditions of the Creative Commons Attribution (CC BY) license (http://creativecommons.org/licenses/by/4.0/).
Share and Cite
Butusov, D.; Karimov, T.; Voznesenskiy, A.; Kaplun, D.; Andreev, V.; Ostrovskii, V. Filtering Techniques for Chaotic Signal Processing. Electronics 2018, 7, 450. https://doi.org/10.3390/electronics7120450
Butusov D, Karimov T, Voznesenskiy A, Kaplun D, Andreev V, Ostrovskii V. Filtering Techniques for Chaotic Signal Processing. Electronics. 2018; 7(12):450. https://doi.org/10.3390/electronics7120450
Chicago/Turabian StyleButusov, Denis, Timur Karimov, Alexander Voznesenskiy, Dmitry Kaplun, Valery Andreev, and Valerii Ostrovskii. 2018. "Filtering Techniques for Chaotic Signal Processing" Electronics 7, no. 12: 450. https://doi.org/10.3390/electronics7120450
APA StyleButusov, D., Karimov, T., Voznesenskiy, A., Kaplun, D., Andreev, V., & Ostrovskii, V. (2018). Filtering Techniques for Chaotic Signal Processing. Electronics, 7(12), 450. https://doi.org/10.3390/electronics7120450

