Abstract
Hybrid renewable energy systems are a promising technology for clean and sustainable development. In this paper, an intelligent algorithm, based on a genetic algorithm (GA), was developed and used to optimize the energy management and design of wind/PV/tidal/ storage battery model for a stand-alone hybrid system located in Brittany, France. This proposed optimization focuses on the economic analysis to reduce the total cost of hybrid system model. It suggests supplying the load demand under different climate condition during a 25-years interval, for different possible cases and solutions respecting many constraints. The proposed GA-based optimization approach achieved results clear highlight its practicality and applicability to any hybrid power system model, including optimal energy management, cost constraint, and high reliability.
1. Introduction
The expansion in energy demand coupled with the rising concerns of global warming and the continuous progress in the field of renewable energies, has yield to open a new opportunity for applications of renewable clean energies; and the hybrid generation systems have been indexed as a solution to face the rising gap between supply and demand, particulary for stand-alone system [,]. Today, intense research and development activities are carried out and are available in the literature []. Research activities on hybrid renewable energy systems are spread since many years and evolve by steps. Significant research work were carried out to minimize the cost of energy through the optimization of design, operation and control of the hybrid renewable energy systems [,,,,,]. In different research papers [,,,,,,], it has been justified that hybrid renewable energy systems in stand-alone applications are cheaply feasible, certainly in isolated sites and is as well strategic in the near future. Optimal sizing and design are still the corner stone of research activities, and different sides and restrictions must be taken into consideration, such as reliability, flexibility, efficiency, economic cost, availability of energy sources and elements generation components, the SOC of the battery and the location of electrical loads from electric grid etc. Various researches have been conducting to achieve the optimal economic and design for hybrid systems, which have one or more of the electrical components source such as the (solar module, wind turbine, tidal turbine, diesel generator, energy storage systems etc.). Wherever, different approaches have been used to build up the hybrid systems in order to meet various goals and to get the optimized system. For this purpose a lot of optimal algorithms; such as cascade analysis (ESCA), particle swarm optimization technique (PSO), fuzzy algorithms, genetic algorithm, artificial neural network (ANN), etc, are available in the literature [,,,,,], but each study is performed in its own context under different conditions and assumptions.
This paper suggests supplying load demand in a stand-alone system in Brittany, France, under various climate conditions, and concentrates on economical cost design and optimal energy management of a hybrid renewable energy system (Wind/Tidal/PV and Energy Storage). The optimal economical design is performed reducing the total net present cost (TNPC), investment costs, reduced current values of all costs during the period of life 25 years and minimizing the total cost of energy. The genetic algorithm (GA) was improved by demonstrating their effectiveness and adaptivity for exploring global optimal solutions in order to meet many constraints such as enhance the environment, boost system reliability, maintain battery life, increase the efficiency and minimize pollution.
This paper is organized as follows. Section 2 describes the mathematical model of each component of the hybrid generation system. The management strategy and operation approach are presented in Section 3. Section 4 is dedicated to constraints and objective function description. The Genetic Algorithm optimization is depicted in Section 5. The simulation results are presented in Section 6 to illustrate the performance of proposed method, and in the last section the conclusion is presented.
2. Models of the Hybrid System Components
The proposed model of a stand-alone hybrid renewable system is illustrated in Figure 1. It includes photovoltaic panels, wind turbines, tidal turbines, storage system, inverters, controllers and other devices to satisfy an electrical load 16 MWh/day peak 2 MW is described below. The suggested approach is using GA as artificial intelligence methods, GA is developed to get the optimization based on energy management and the cost analysis.

Figure 1.
Hybrid system configuration.
2.1. Wind Turbine Model
The hourly average power production of wind generators could be calculated using the wind movement speed at the peak of the standard hub; wind speed is obtained from the historical data, (Figure 2) the daily wind speed throughout one year in the area under study [,]. Selecting the practical model for wind turbine is very necessary. The generated power depending on the type and rated power of the wind turbine. Which can be expressed by:
where is the output power of wind turbine, is the efficiency of wind turbine which supposed to be about 85% in this paper, R is the length of the blades of wind turbine, is the density of air, v is the speed of our wind and is the power coefficient of wind turbine.

Figure 2.
Daily wind speed of one year.
The power produced by the wind turbine can be calculated from any wind speed at any time according to the following equation:
In this paper, the wind turbine type proposed is ENERCON , with a rated power capacity of 2300 Kw, some parameters of the ENERCON wind turbine are listed in Table 1 [,,].

Table 1.
Characteristics of the wind turbine.
2.2. PV Array Model
The optimization in designing a hybrid power generation systems in terms of solar cells is based upon reducing their numbers. The output of PV panels has to contain the impact of geographic location, for example, solar radiation, the season of the year, ambient temperature, the tiled surfaces, etc. The hourly solar radiation in the location under study shown in Figure 3. The output power of photovoltaic system is determined by Equation (3) [,,].
where is the global radiation incident on the titled plane (W/m), is the number of PV modules, is the efficiency of each PV module, is the area of a singular PV module used in m.

Figure 3.
Hourly solar radiation in one year.
Characteristics of the PV module, such as the lifetime of PV module, the rated power, total cost and efficiency are shown in Table 2.

Table 2.
Photovoltaic parameters.
2.3. Tidal Turbine Model
The advantages of tidal current energy are not impacted by much of climate condition such as rainfall, blowing wind, clouds, radiation, but is affected by tides, its location on the ground, water’s temperature and density. The strength of the tidal current changes, according to the distance of the moon about the sun and earth. The amplitude of the tide-generating pressure is about sun and moon caused by their corresponding distance and masses of the earth []. In this work, the hourly tidal current speed at the location under study is used for generating power is illustrated by Figure 4. The power generated by the tidal turbine can be estimated by the following Equation [,,]:
where is the number of current turbines, A is the cross sectional area of the tidal turbine, is the density of sea water, V expresses the tidal current velocity, is the turbine power coefficient and it is considered to be in the range of (0.35–0.5) [], is the efficiency of the tidal turbine and it is determined according to the tidal turbine characteristics. For the proposed system, the pitch is fixed, therefore the power coefficient predicate only on , the highest power coefficient is considered 0.44, that accords to the optimal tip speed ratio , its value here is 7.59, this value is considered as for recognizing (MPPT) under the current rated tidal velocities. In this paper, a tidal turbine with rated capacity 500 kW is considered and its life time is proposed to be 25 years. The characteristics and parameters of the tidal turbine are described in Table 3 [].

Figure 4.
Hourly tidal speed current of one year.

Table 3.
Tidal turbine parameters.
2.4. Storage System and Converter Models
Storage systems are used to support the hybrid power system and increase its reliability, through storing the excess production of energy by the hybrid system, then provide energy to the electric load during the period of disability. There are many types of energy storage systems, like batteries, super-capacitors, fuel cells, flywheel energy storage and compressed air energy storage. For the proposed architecture, the battery storage system is considered to sustain the hybrid power generation system. The lifetime of the battery is much affected by charge and discharge factor, so it is important to maintain the state of charge (SOC) of the battery between the highest and the lowest allowed value. To calculate of the battery at any time , the at , the charging and discharging time and the current should be calculated in advance. The state of charge of the battery at any time can be calculated using the following Equation []:
where is the nominal capacity of the battery given in (Ah), is the battery charging and discharging efficiency. The storage battery capacity in all cases is subject to the following constraints:
The battery can be estimated as the balance between the generated power and the absorbed power in each hour. In addition, there are more restrictions as the last value of the at the end of the year should be higher than its initial value, this contributes to raising the reliability of this hybrid system and assure its charge to this hybrid system work in the next year. The energy generated by hybrid renewable system at any time t can be expressed as:
where , , are the energy generated by PV modules, wind turbine, tidal turbine respectively. The battery bank must satisfy the load demand when the energy generated by the hybrid system is unable to compensate for the electrical load. Moreover, the energy is stored in the battery bank once the feeding from the hybrid system surpasses the electrical load. At any time, the state of charge of batteries is related to the past state of charge , the energy production and consumption case of the hybrid system during the interval from to t. In this study, the storage battery bank lifetime is assumed to be 10 years, the maximum charge is and the depth of discharge is . The proposed model has a nominal voltage of 100 volts and an energy rating of 50 (kWh). The other parameters of the battery bank are described in Table 4. The converter used for DC-AC conversion has the foloowing characteristics; lifetime 15 years, the efficiency is considered , the initial capital cost and replacement cost is being considered for converter size of 2 kW, the operating and maintenance cost is 50 ($/Unit-year) [].

Table 4.
Battery bank parameters.
2.5. Electrical Load Model
In this paper, the data for the load consumption was taken from the French electricity transmission network manager (RTE) website []. Archival load demand consumption data from the 1996 is available to the public through this site. For this issue, hourly data taken from 2014 in metropolitan France (excepted Corsica) were scaled and used to achieve a 2 MW peak load for the purposes of representing a typical load size for a wind/PV/tidal/battery system. Adjusting and scalling the data down is illustrative of a typical load as the hourly trends are maintained. For this purpose, the scaled annual average daily load is 16 MWh/day.
3. Power Management and Operation Strategy
To generate the energy of the electrical load with a hybrid renewable energy source, suitable power management is required. if power generation from renewable sources , and load power demand , within this study power management is considered to three cases as here:
- (1)
- If , the hybrid renewable sources supplies the load power demand.
- (2)
- If , the surplus power will be used to charge the battery bank, but if battery bank is completely charged the surplus power will dump or will inject into the electric grid in the case of its proximity.
- (3)
- If , the battery bank will produce the remaining power to feed the electrical load.
4. Objective Function and Constraints
Designing a hybrid renewable energy systems must meet different goals and reach objectives, however, some of these goals are very complex because of the non-linearity in the performance of some components of the whole system, and the high number of variables. In this paper, we consider the optimal energy management and sizing of a hybrid renewable energy system based on selecting the optimal number of energy source devices, the cost price of the equipment and services maintenance and replacement. We implement the minimum total cost (TNPC) of the system as an objective function, which is present values of all the components costs that it gets over its lifetime minus the present value of all the income that it earns during its lifetime, this function consists of the capital cost, the replacement cost, the operational and maintenance cost (OMC), fixed cost and the revenues include salvage value (SV), the TNPC can be calculated as follows [,,]:
The it applied to calculate the current value of a series of equal annual cash flows, we can be calculate with the as below:
where i is the annual real interest rate which considered , and is the project lifetime years. The reliability of hybrid power system is proposed to satisfy the electrical load by , with the following constraints:
- The electrical load is satisfying by the power generated.
- The SOC of the battery remains between the maximum and minimum acceptable values.
- The number of the renewable energy components are staying between suggestion values.
5. Genetic Algorithm Optimization
The Genetic algorithm (GA) is an heuristic search optimization strategy, built on the basis of the evolutionary ideas of natural picking and genetics such as the crossover and the mutation. The genetic algorithm is generally used to solve the nonlinear optimization problems by taking advantage of random searches with many possible solutions at the same time, not an individual point and uses the genetic algorithm operators instead of deterministic ones. It does not need other extra knowledge, but only the fitness functions or the objective function, the GA is able to solve the optimal global solution that is very complex to approach with other technical methods in multidimensional search areas []. In this paper, a GA was performed to search for the optimal configurations of PV modules, wind turbines, tidal turbines, battery bank, and converters that minimize the total cost represented by TNPC of the system, when taking in consideration all constraints. The flowchart of the applied GA algorithm optimization is shown in Figure 5. The first step in this approach, is to create a set of initial generations (chromosomes), which create randomly from the ranges of proposed solutions, each chromosome is controlled and configured in order to be as an ideal solution for the hybrid renewable power system. Selection of optimal chromosome in genetic algorithms based on variables of the optimization problem being solved. The chromosome is a collection of one vector of variables and each gene represent the parameters of one component of the hybrid system and must be best number depend on the fitness function that is evaluated for each chromosome. After that, all chromosomes fulfilling the limitation and constraints will be selected and arranged according to its fitness values from the best to the worst, while others chromosomes that are not meeting the limitations are ignored. Then, the three GA procedures; selection, crossover and mutation, are applied to all chromosomes. Generations are evaluated in each iteration and sorted according to their preferences, keeping the best chromosomes, and make sure they were investigating the restrictions.

Figure 5.
Flowchart of optimization using genetic algorithms.
In this paper, at the initial generation, a hundred random chromosomes were created according to the permitted ranges for each component, the crossover operation is performed by dividing the chromosomes evenly into two groups of parents. It will be noted that applying crossover operation between parents in every time is random and based on the probability of crossover , before performing the crossover operation a random crossover point is selected on both parents’ chromosome strings (hybrid components). The data beyond that point in either chromosome string is exchanged between the two parent chromosomes. Newly generated chromosomes represent the new children. In the mutation operation also depends on the probability of mutation . Various methods can be applied to get the mutation, such as Boundary method, Flip Bit method, Gaussian method, Uniform and non-uniform method. In this paper, the Uniform mutation operation method has been implemented. Where the operator changes the value of the selected gene to an uniform random value chosen between the defined lower and upper bounds for that gene. It is important to mention here that to reach better result, 1000 generations were created, in each generation, 100 chromosomes were generated, the proportion rate of crossover operation is about of the total crossover operation for each iteration, while, the probability proportion of mutation operation is of the total mutation operation.
The proposed Genetic algorithm approach has been developed by adding new technology dealing with some of the genes within the winner chromosomes to get better and accurate results in a short time. The carried out strategy is able to continuously modulate the chromosomes, where, over next generations, the population develops towards the best solution. All the genetic algorithm advantages have been harnessed and developed to get the optimization of the solution and giving elasticity in the selection of system components. The economic problem was represented by minimizing the (TNPC) of a hybrid renewable energy system, considering many of conditions and constraint to ensure high reliability to satisfy the load demand.
6. Simulation Results and Discussion
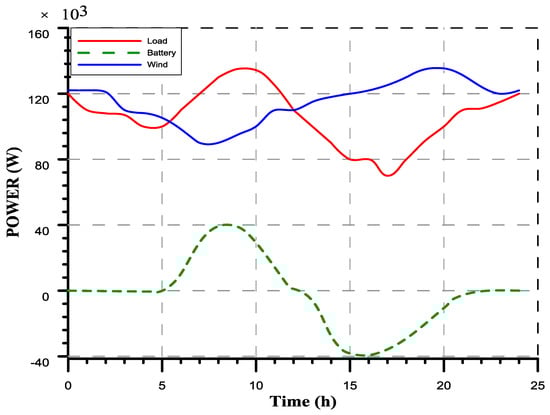
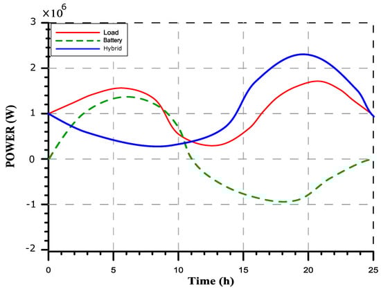
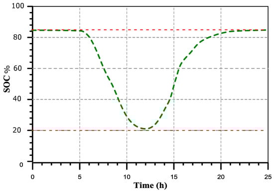
The economic problem to minimize the (TNPC) of the hybrid system is solved in this work, by using the genetic algorithm, with respect of many constraints for optimal power management. Initially, all data and variables related to the system are inserted, solar energy, tidal energy, wind energy, battery sizes, all price details such as the total cost, maintenance and operating costs, the project life, the temperature, the coordinates of the location, the type and size of wind and tidal turbines available, proximity of the national grid, depth of charge of the battery and etc. One of the important things when applying genetic algorithm to solve the problem of optimization is the representation of the objective function and all restrictions in each chromosome to get to the best solution. The genetic algorithm design in order to get more accurate solutions and with the minimum time as the characteristics consists of 100 individual chromosomes and the maximum number of generations is 1000, the GA presents many and a variety of possible solutions of the problem, but the selection of the final optimum solution is delegated to the system’s designer depending on its requirements and other variables like the availability of energy sources, the location and so on. Table 5 indicates optimal results of different components (the most recommended chromosomes), that are included in the renewable hybrid system, where the optimal result for designing an optimal hybrid power generation system, is achieved by using two wind turbines with battery and inverter, and where the lowest TNPC is (3,488,089$) and COE is 0.0942 $/kWh. Figure 6 and Figure 7 illustrate the energy management balance in the suggested hybrid renewable energy system for scenario 1 and scenario 2 respectively. Scenario 1 represents the overall economic solution of the optimal hybrid power generation system, scenario 2 represents the optimal hybrid system that contains all possible components with minimum cost. It can be observed that electrical load is satisfied perfectly by the hybrid renewable system in the optimal composition. For a full day, no load rejected was found. Moreover, the battery discharges during the course of any shortage in the energy sources. Figure 8 shows the variation of the SOC of the battery bank in one day. In order to ensure access to the best results in a short time, the program was developed using a new method dealing with the genes of the winner chromosomes, it is the enhanced method. The convergence of the two GA methods (classic and enhanced method) for the best results of this hybrid power generation system is shown in Figure 9. The comparison between final results for different components of the hybrid power generation system for the same location, shows that the hybrid system with wind turbine and the battery is very economical compared with another hybrid system, because of the high percentage of wind average in this region. Simultaneously, it illustrates the high cost of the hybrid system that depends on the solar cells and battery due to low temperatures and solar radiation in this region, these results depend on location, solar radiation, the strength of the storm-wind, tidal power, and for an other site other variables or constraints are taken into consideration.

Table 5.
Optimal results using the GA.

Figure 6.
Variation in load, hybrid power and battery energy under the optimal hybrid system in a day Scenario 1.

Figure 7.
Variation in load, hybrid power and battery energy under the optimal hybrid system in a day Scenario 2.

Figure 8.
Battery SOC variation in a day.

Figure 9.
Convergence of GA optimization.
7. Conclusions
This paper has presented a global solution of an economic configuration problem for any stand-alone hybrid energy system with optimal energy management, taking into consideration real data such as solar radiation, wind speed, tidal speed, location, load profile, and other introduced constraints to simulate reality. A stand-alone hybrid renewable energy system consisting in PV panels/wind turbine/tidal turbine/battery bank with other components was proposed to satisfy an electrical load of 16 MWh/day with 2 MW peak, while the lifetime of the project was intended to be 25 years. Genetic algorithm advantages have been considered and harnessed in order to achieve the optimal solution, while giving flexibility in the hybrid system components selection. The economic problem was represented by minimizing the hybrid renewable energy system TNPC and considering additional conditions and constraints to ensure high reliability in satisfying the electrical load. The proposed GA-based approach was applied and evaluated for different scenarios to fulfill the load demand. The obtained results clearly demonstrate that the optimal economic solution for the area under study is a wind turbines/batteries hybrid renewable system. These results corroborate the fact that deploying a hybrid power generation system in a location where there are substantial renewable resources leads to better electricity generating opportunities. Furthermore, it has been shown that optimal solutions are very sensitive to some variables such as weather data, load data, and restrictions on the location under study. Meanwhile, it has been clearly shown that the enhanced genetic algorithm ability to achieve optimal solutions and solve complex and nonlinear issues within the objective function.
Author Contributions
O.H.M. designed the hybrid system architecture and its energy management strategy, and performed the simulations; Y.A. and M.B. analyzed the data, verified the simulation results, and supervised the whole research procedure of this paper.
Funding
Research received no external fund.
Conflicts of Interest
The authors declare no conflict of interest.
References
- Mohammed, O.; Amirat, Y.; Benbouzid, M.; Feld, G. Optimal Design and Energy Management of a Hybrid Power Generation System Based on Wind/Tidal/PV Sources: Case Study for the Ouessant French Island. In Smart Energy Grid Design for Island Countries; Green Energy and Technology Series; Springer International Publishing: Berlin, Germnay, 2017; pp. 381–413. [Google Scholar]
- Proka, A.; Hisschemöller, M.; Loorbach, D. Transition without Conflict? Renewable Energy Initiatives in the Dutch Energy Transition. Sustainability 2018, 10, 1721. [Google Scholar] [CrossRef]
- Zia, M.F.; Elbouchikhi, E.; Benbouzid, M. Microgrids energy management systems: A critical review on methods, solutions, and prospects. Appl. Energy 2018, 222, 1033–1055. [Google Scholar] [CrossRef]
- Mohammed, O.H.; Amirat, Y.; Benbouzid, M.; Haddad, S.; Feld, G. Optimal sizing and energy management of hybrid wind/tidal/PV power generation system for remote areas: Application to the Ouessant French Island. In Proceedings of the IECON 2016—42nd Annual Conference of the IEEE Industrial Electronics Society, Florence, Italy, 23–26 October 2016; pp. 4205–4210. [Google Scholar]
- Huang, J.; Boland, J. Performance Analysis for One-Step-Ahead Forecasting of Hybrid Solar and Wind Energy on Short Time Scales. Energies 2018, 11, 1119. [Google Scholar] [CrossRef]
- Bajpai, P.; Dash, V. Hybrid renewable energy systems for power generation in stand-alone applications: A review. Renew. Sustain. Energy Rev. 2012, 16, 2926–2939. [Google Scholar] [CrossRef]
- Zhou, Z.; Benbouzid, M.; Charpentier, J.; Scuiller, F. Hybrid Diesel/MCT/battery electricity power supply system for power management in small islanded sites: Case study for the ouessant french island. In Smart Energy Grid Design for Island Countries; Springer: Berlin, Germnay, 2017; pp. 415–445. [Google Scholar]
- Rullo, P.G.; Costa Castelló, R.; Roda Serrat, V.; Feroldi, D.H. Energy management strategy for a bioethanol isolated hybrid system: simulations and experiments. Energies 2018, 6, 1362. [Google Scholar] [CrossRef]
- Khan, M.A.; Zeb, K.; Sathishkumar, P.; Rao, S.S.; Gopi, C.V.; Kim, H.J. A Novel Off-Grid Optimal Hybrid Energy System for Rural Electrification of Tanzania Using a Closed Loop Cooled Solar System. Energies 2018, 11, 905. [Google Scholar] [CrossRef]
- Mohammed, O.; Amirat, Y.; Benbouzid, M.; Tang, T. Hybrid generation systems planning expansion forecast: A critical state of the art review. In Proceedings of the 2013 IEEE IECON, Vienna, Austria, 10–14 November 2013; pp. 1668–1673. [Google Scholar]
- Erdinc, O.; Uzunoglu, M. Optimum design of hybrid renewable energy systems: Overview of different approaches. Renew. Sustain. Energy Rev. 2012, 16, 1412–1425. [Google Scholar] [CrossRef]
- Chang, K.H.; Lin, G. Optimal design of hybrid renewable energy systems using simulation optimization. Simul. Model. Pract. Theory 2015, 52, 40–51. [Google Scholar] [CrossRef]
- Xiao, Z.; Sun, P.; Wang, Q.; Zhu, Y.; Feng, X. Integrated Optimization of Speed Profiles and Power Split for a Tram with Hybrid Energy Storage Systems on a Signalized Route. Energies 2018, 11, 478. [Google Scholar] [CrossRef]
- El Tawil, T.; Charpentier, J.F.; Benbouzid, M. Sizing and rough optimization of a hybrid renewable-based farm in a stand-alone marine context. Renew. Energy 2018, 115, 1134–1143. [Google Scholar] [CrossRef]
- Mohammed, O.H.; Amirat, Y.; Feld, G.; Benbouzid, M. Hybrid Generation Systems Planning Expansion Forecast State of the Art Review: Optimal Design vs Technical and Economical Constraints. J. Electr. Syst. 2016, 12, 20–32. [Google Scholar]
- Khiareddine, A.; Salah, C.B.; Rekioua, D.; Mimouni, M.F. Sizing methodology for hybrid photovoltaic/wind/hydrogen/battery integrated to energy management strategy for pumping system. Energy 2018, 153, 743–762. [Google Scholar] [CrossRef]
- Abbassi, A.; Rabeh, A.; Ali, D.M.; Mohamed, J. Multi-objective genetic algorithm based sizing optimization of a stand-alone wind/PV power supply system with enhanced battery/supercapacitor hybrid energy storage. Energy 2018, 163, 351–363. [Google Scholar] [CrossRef]
- Nehrir, M.; Wang, C.; Strunz, K.; Aki, H.; Ramakumar, R.; Bing, J.; Miao, Z.; Salameh, Z. A review of hybrid renewable/alternative energy systems for electric power generation: Configurations, control, and applications. IEEE Trans. Sustain. Energy 2011, 2, 392–403. [Google Scholar] [CrossRef]
- Abbas, F.; Habib, S.; Feng, D.; Yan, Z. Optimizing Generation Capacities Incorporating Renewable Energy with Storage Systems Using Genetic Algorithms. Electronics 2018, 7, 100. [Google Scholar] [CrossRef]
- Upadhyay, S.; Sharma, M. Development of hybrid energy system with cycle charging strategy using particle swarm optimization for a remote area in India. Renew. Energy 2015, 77, 586–598. [Google Scholar] [CrossRef]
- Cheng, Y.S.; Liu, Y.H.; Hesse, H.C.; Naumann, M.; Truong, C.N.; Jossen, A. A PSO-Optimized Fuzzy Logic Control-Based Charging Method for Individual Household Battery Storage Systems within a Community. Energies 2018, 11, 469. [Google Scholar] [CrossRef]
- Abdelhak, B.J.; Najib, E.; Abdelaziz, H.; Hnaien, F.; Yalaoui, F. Optimum sizing of hybrid PV/wind/battery using Fuzzy-Adaptive Genetic Algorithm in real and average battery service life. In Proceedings of the 2014 International Symposium on Power Electronics, Electrical Drives, Automation and Motion (SPEEDAM), Ischia, Italy, 18–20 June 2014; pp. 871–876. [Google Scholar]
- Infoclimat. August 2018. Available online: http://www.infoclimat.fr/climatologie/stations_principales.php (accessed on 20 August 2018).
- Meteo Bretagne. August 2018. Available online: http://www.meteo-bretagne.fr/observation-brest-guipavas.php (accessed on 20 August 2018).
- Sharafi, M.; ElMekkawy, T.Y.; Bibeau, E.L. Optimal design of hybrid renewable energy systems in buildings with low to high renewable energy ratio. Renew. Energy 2015, 83, 1026–1042. [Google Scholar] [CrossRef]
- Amer, M.; Namaane, A.; M’Sirdi, N. Optimization of hybrid renewable energy systems (HRES) using PSO for cost reduction. Energy Procedia 2013, 42, 318–327. [Google Scholar] [CrossRef]
- Bhandari, B.; Lee, K.T.; Lee, G.Y.; Cho, Y.M.; Ahn, S.H. Optimization of hybrid renewable energy power systems: A review. Int. J. Precis. Eng. Manuf.-Green Technol. 2015, 2, 99–112. [Google Scholar] [CrossRef]
- Kusakana, K.; Vermaak, H.J. Hybrid diesel generator/renewable energy system performance modeling. Renew. Energy 2014, 67, 97–102. [Google Scholar] [CrossRef]
- Mohammed, O.H.; Amirat, Y.; Benbouzid, M.; Feld, G.; Tang, T.; Elbast, A. Optimal design of a stand-alone hybrid PV/fuel cell power system for the city of Brest in France. Int. J. Energy Convers. 2014, 2, 1–7. [Google Scholar]
- Khan, M.; Zeb, K.; Uddin, W.; Sathishkumar, P.; Ali, M.; Hussain, S.; Ishfaq, M.; Subramanian, A.; Kim, H.J. Design of a Building-Integrated Photovoltaic System with a Novel Bi-Reflector PV System (BRPVS) and Optimal Control Mechanism: An Experimental Study. Electronics 2018, 7, 119. [Google Scholar] [CrossRef]
- Elghali, S.E.B.; Balme, R.; Le Saux, K.; Benbouzid, M.E.H.; Charpentier, J.F.; Hauville, F. A simulation model for the evaluation of the electrical power potential harnessed by a marine current turbine. IEEE J. Ocean. Eng. 2007, 32, 786–797. [Google Scholar] [CrossRef]
- Mekri, F.; Elghali, S.B.; Benbouzid, M.E.H. Fault-tolerant control performance comparison of three-and five-phase PMSG for marine current turbine applications. IEEE Trans. Sustain. Energy 2013, 4, 425–433. [Google Scholar] [CrossRef]
- Zhang, H.B.; Fletcher, J.; Greeves, N.; Finney, S.; Williams, B. One-power-point operation for variable speed wind/tidal stream turbines with synchronous generators. Renew. Power Gener. IET 2011, 5, 99–108. [Google Scholar] [CrossRef]
- El Tawil, T.; Charpentier, J.F.; Benbouzid, M. Tidal energy site characterization for marine turbine optimal installation: Case of the Ouessant Island in France. Int. J. Mar. Energy 2017, 18, 57–64. [Google Scholar] [CrossRef]
- Myers, L.; Bahaj, A. Power output performance characteristics of a horizontal axis marine current turbine. Renew. Energy 2006, 31, 197–208. [Google Scholar] [CrossRef]
- Neill, S.P.; Angeloudis, A.; Robins, P.E.; Walkington, I.; Ward, S.L.; Masters, I.; Lewis, M.J.; Piano, M.; Avdis, A.; Piggott, M.D.; et al. Tidal range energy resource and optimization—Past perspectives and future challenges. Renew. Energy 2018, 127, 763–778. [Google Scholar] [CrossRef]
- Aktas, A.; Erhan, K.; Ozdemir, S.; Ozdemir, E. Experimental investigation of a new smart energy management algorithm for a hybrid energy storage system in smart grid applications. Electr. Power Syst. Res. 2017, 144, 185–196. [Google Scholar] [CrossRef]
- Sikder, A.; Khan, N.; Hoque, A. Design and optimal cost analysis of hybrid power system for Kutubdia island of Bangladesh. In Proceedings of the 2014 International Conference on Electrical and Computer Engineering (ICECE), Dhaka, Bangladesh, 20–22 December 2014; pp. 729–732. [Google Scholar]
- RTE. Reseau de Transport D’electricity En France. August 2018. Available online: http://www.rte-france.com (accessed on 20 August 2018).
- HOMER—Hybrid Renewable and Distributed Generation System Design Software. August 2018. Available online: http://www.homerenergy.com (accessed on 20 August 2018).
- Mohammed, O.H.; Amirat, Y.; Benbouzid, M.; Feld, G.; Tang, T.; Elbast, A. HOMER-based optimal design of a stand-alone hybrid PV/fuel cell power system for the city of Brest in France. In Proceedings of the 2014 ICIEM, Batna, Algeria, 11–13 May 2014; pp. 401–406. [Google Scholar]
- Kachris, C.; Tomkos, I. Energy-Efficient Optical Interconnects in Cloud Computing Infrastructures. In Communication Infrastructures for Cloud Computing; IGI Global: Hershey, PA, USA, 2013; p. 224. [Google Scholar]
- Haupt, R.L.; Haupt, S.E. Practical Genetic Algorithms; John Wiley & Sons: Hoboken, NJ, USA, 2004. [Google Scholar]
© 2018 by the authors. Licensee MDPI, Basel, Switzerland. This article is an open access article distributed under the terms and conditions of the Creative Commons Attribution (CC BY) license (http://creativecommons.org/licenses/by/4.0/).