Analysis of In-to-Out Wireless Body Area Network Systems: Towards QoS-Aware Health Internet of Things Applications
Abstract
:1. Introduction
2. System Model
- Implant device/sensor: A biological compatible and miniaturized size implant device that is located inside the human body, either in the tissue/organ region (deep region) or under the skin (near surface) [10].
- On-body device/sensor: An on-body (or wearable) device that can be located on either surface or up to 20 mm away from skin [2].
- Gateway: Typically, this has no direct connection to an implanted device or sensor. A smartphone or other personal data device is needed to enable to the collection, processing and transmission of data to doctors and nurses via the internet [3].
3. Analysis of I2O WBAN Systems
3.1. Configuration and Human Safety Analysis
3.2. Path Loss Model
3.3. I2O Channel Model
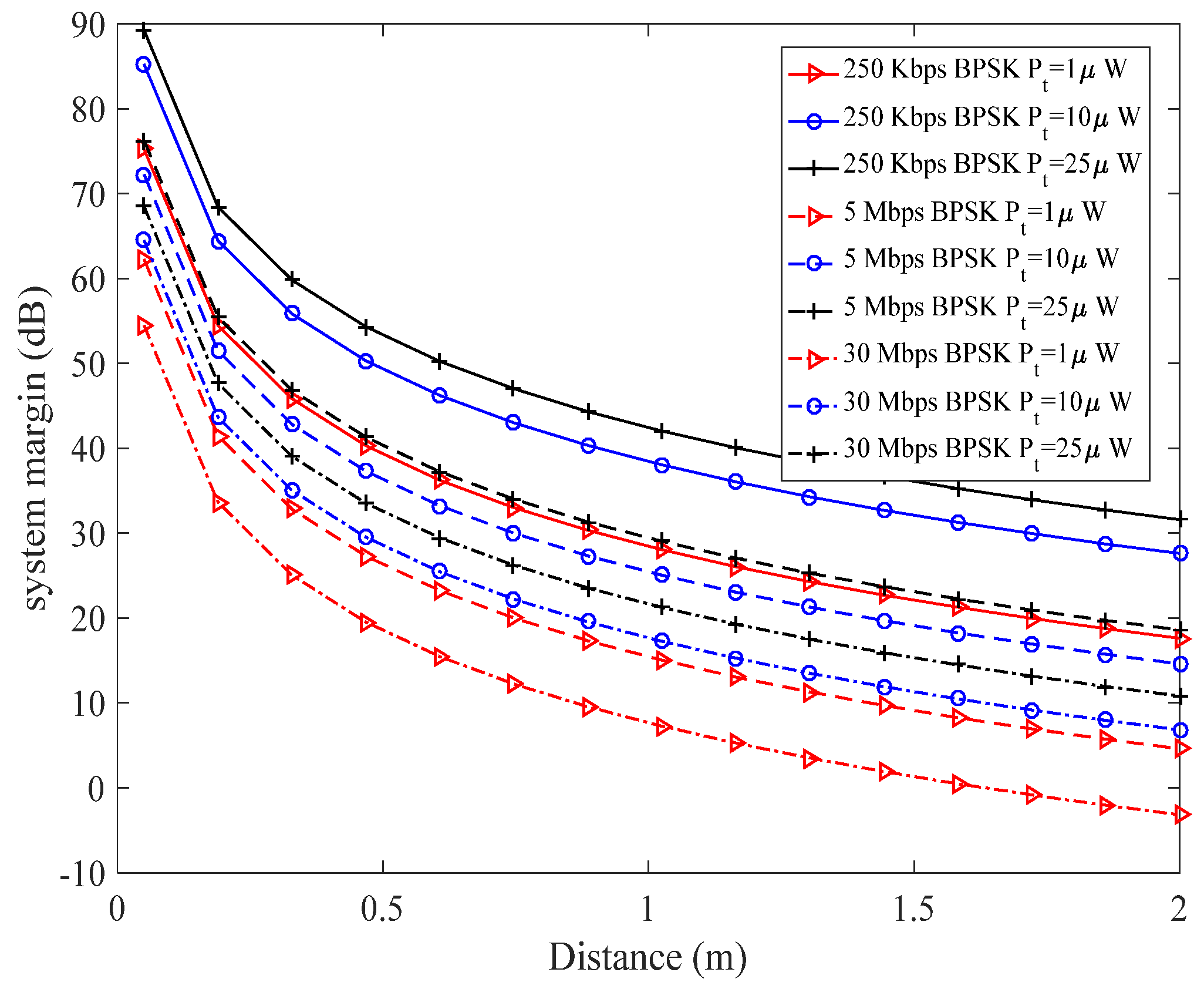
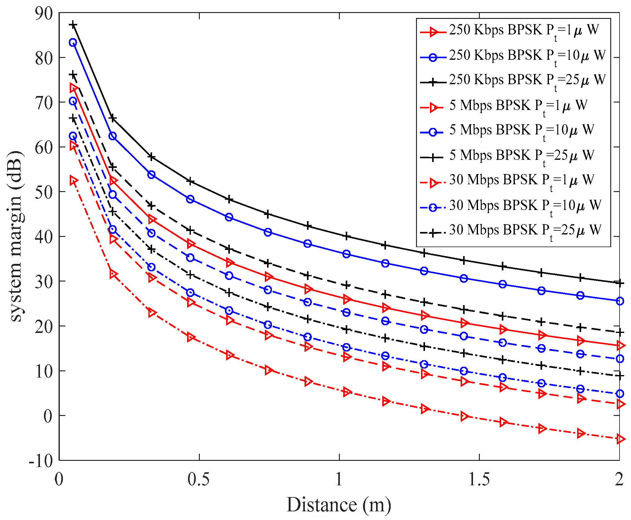
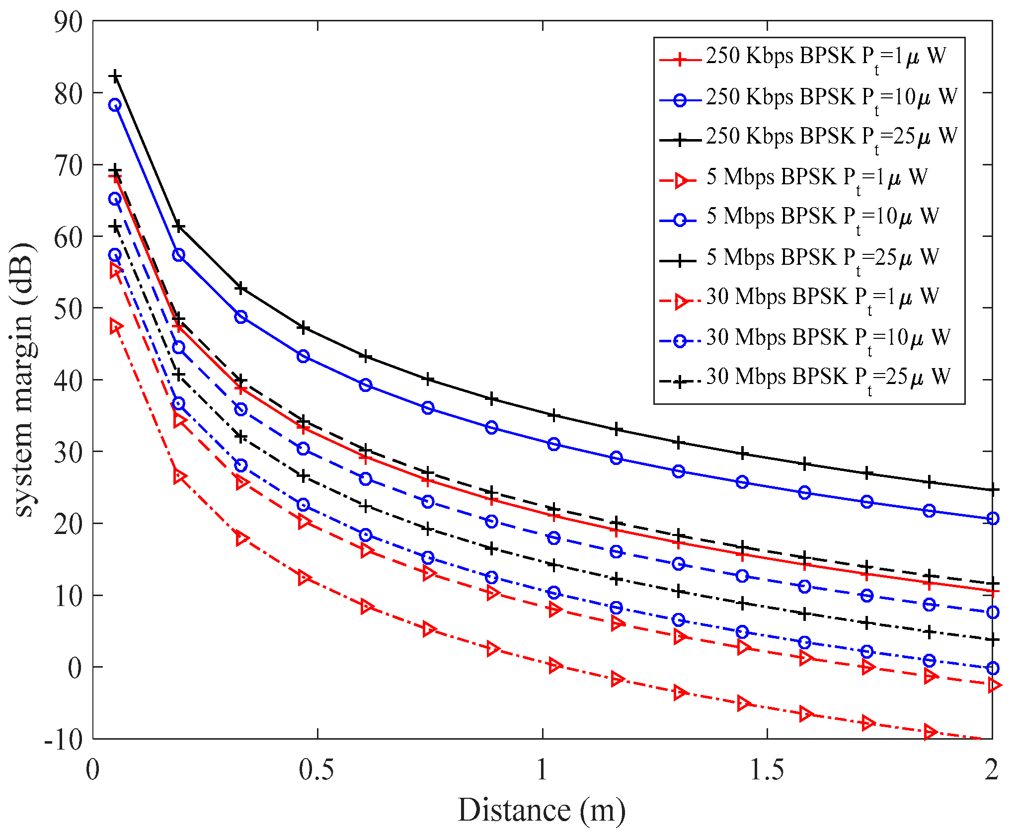
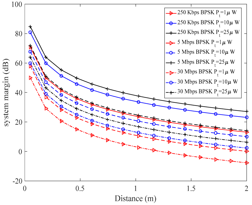
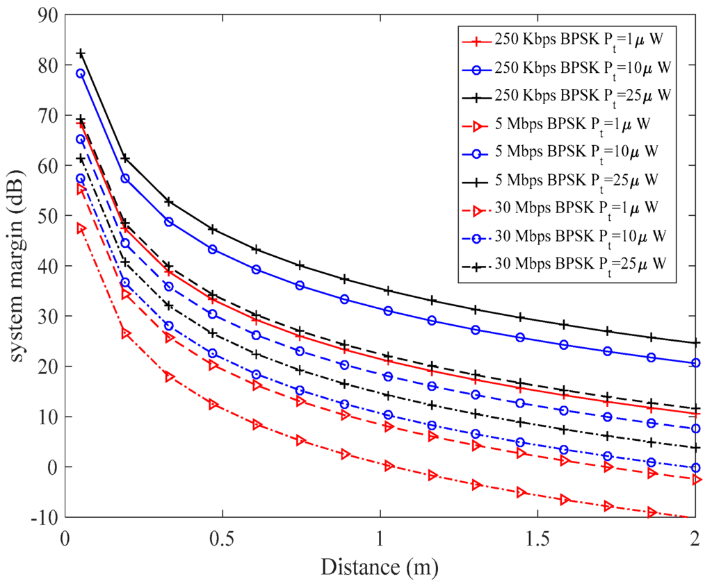
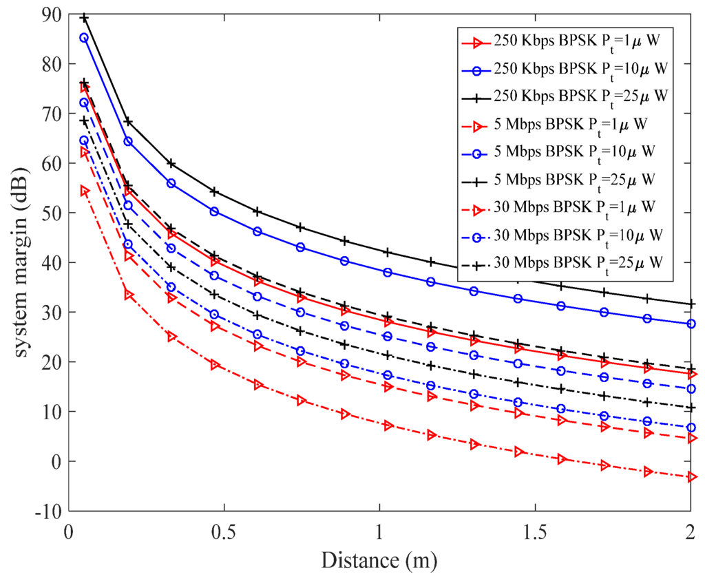
3.4. Link Budget Analysis
4. Relay Based QoS-Aware Routing Protocol for I2O WBAN
4.1. Motivation
4.2. Radio Model
4.3. QoS Metric Modeling
4.3.1. Network Lifetime
4.3.2. Network Throughput
4.3.3. Delay
4.4. Proposed Protocols
4.4.1. Initialization Phase
4.4.2. Routing Phase
4.4.3. Transmission Phase
4.5. Performance Evaluation and Results
5. Discussion and Open Research Issues
5.1. QoS in I2O WBANs
5.1.1. Candidate Radio Technologies in I2O WBANs
5.1.2. QoS Metrics for I2O WBANs
5.1.3. QoS Requirements for I2O WBANs
5.2. Emerging I2O WBAN Issues
5.2.1. I2O WBAN Packet Design
5.2.2. I2O WBAN Interface Design
5.2.3. I2O WBAN Models Validation
5.3. Analysis of I2O WBAN Based Health IoT
- (1)
- The I2O WBAN consists of at least one full function device (such as a smartphone) and a series of reduced function small-size sensor nodes, which are assigned a unique ID.
- (2)
- Each sensor node senses different physical parameters to reduce the address configuration cost.
- (3)
- A relay strategy is considered, which decreases system configuration delays and minimizes the overall length of communication distance within I2O WBAN.
6. Conclusions
Author Contributions
Conflicts of Interest
References
- Islam, S.M.R.; Kwak, D.; Kabir, M.H.; Hossain, M.; Kwak, K.S. The internet of things for health care: A comprehensive survey. IEEE Access 2015, 3, 678–708. [Google Scholar] [CrossRef]
- Fan, Y.J.; Yin, Y.H.; Xu, L.D.; Zeng, Y.; Wu, F. IoT-based smart rehabilitation system. IEEE Trans. Ind. Inform. 2014, 10, 1568–1577. [Google Scholar]
- Liao, Y.; Leeson, M.S.; Higgins, M.D. Flexible quality of service model for wireless body area sensor networks. IET Healthc. Technol. Lett. 2016, 3, 12–15. [Google Scholar] [CrossRef] [PubMed]
- Movassaghi, S.; Abolhasan, M.; Lipman, J.; Smith, D.; Jamalipour, A. Wireless body area networks: A survey. IEEE Commun. Surv. Tutor. 2014, 16, 1658–1686. [Google Scholar] [CrossRef]
- Liao, Y.; Leeson, M.S.; Higgins, M.D. A communication link analysis based on biological implant wireless body area networks. Appl. Comput. Electromagn. Soc. J. 2016, 31, 619–628. [Google Scholar]
- Galluccio, L.; Melodia, T.; Palazzo, S.; Santagati, G.E. Challenges and implications of using ultrasonic communications in intra-body area networks. In Proceedings of the 9th Annual Conference on Wireless On-demand Network Systems and Services (WONS), Courmayeur, Italy, 9–11 January 2012.
- Fang, Q.; Lee, S.; Permana, H.; Ghorbani, K.; Cosic, I. Developing a wireless implantable body sensor network in MICS band. IEEE Trans. Inform. Technol. Biomed. 2011, 15, 567–576. [Google Scholar] [CrossRef] [PubMed]
- IEEE standard for safety levels with respect to human exposure to radio frequency electromagnetic fields, 3 KHz to 300 GHz amendment 1: Specifies ceiling limits for induced and contact current, clarifies distinctions between localized exposure and spatial peak power density. Available online: http://ieeexplore.ieee.org/servlet/opac?punumber=10830 (accessed on 11 July 2016).
- The International Commission on Non-Ionizing Radiation Protection. Guidelines for limiting exposure to time-varying electric, magnetic, and electromagnetic fields (up to 300 GHz). Health Phys. 1998, 74, 494–522. [Google Scholar]
- Ntouni, G.D.; Lioumpas, A.S.; Nikita, K.S. Reliable and energy-efficient communications for wireless biomedical implant systems. IEEE J. Biomed. Health Inform. 2014, 18, 1848–1856. [Google Scholar] [CrossRef] [PubMed]
- Darwish, A.; Hassanien, A.E. Wearable and implantable wireless sensor network solutions for healthcare monitoring. Sensors 2011, 11, 5561–5595. [Google Scholar] [CrossRef] [PubMed]
- Elias, J. Optimal design of energy-efficient and cost-effective wireless body area networks. Ad Hoc Netw. 2014, 13, 560–574. [Google Scholar] [CrossRef]
- Zhu, S.; Langley, R. Dual-band wearable textile antenna on an EBG substrate. IEEE Trans. Antennas Propag. 2009, 57, 926–935. [Google Scholar] [CrossRef]
- Kurup, D.; Joseph, W.; Vermeeren, G.; Martens, L. Path loss model for in-body communication in homogeneous human muscle tissue. Electron. Lett. 2009, 45, 453–454. [Google Scholar] [CrossRef]
- Kurup, D.; Joseph, W.; Vermeeren, G.; Martens, L. In-body path loss model for homogeneous human tissues. IEEE Trans. Electromagn. Compat. 2012, 54, 556–564. [Google Scholar] [CrossRef]
- Computer Simulation Technology. Available online: https://www.cst.com/ (accessed on 4 April 2016).
- Roman, K.L.L.; Vermeeren, G.; Thielens, A.; Joseph, W.; Martens, L. Characterization of path loss and absorption for a wireless radio frequency link between an in-body endoscopy capsule and a receiver outside the body. EURASIP J. Wirel. Commun. Netw. 2014, 2014, 1–10. [Google Scholar]
- Hannan, M.A.; Abbas, S.M.; Samad, S.A.; Hussain, A. Modulation techniques for biomedical implanted devices and their challenges. Sensors 2012, 12, 297–319. [Google Scholar] [CrossRef] [PubMed]
- Elhadj, H.B.; Chaari, L.; Kamoun, L. A survey of routing protocols in wireless body area networks for healthcare applications. Int. J. E Health Med. Commun. 2012, 3, 1–18. [Google Scholar] [CrossRef]
- Cao, H.; Leung, V.; Chow, C.; Chan, H. Enabling technologies for wireless body area networks: A survey and outlook. IEEE Commun. Mag. 2009, 47, 84–93. [Google Scholar] [CrossRef]
- Javaid, N.; Ahmad, A.; Khan, Y.; Khan, Z.A.; Alghamdi, T.A. A relay based routing protocol for wireless in-body sensor networks. Wirel. Personal Commun. 2015, 80, 1063–1078. [Google Scholar] [CrossRef]
- Deepak, K.; Babu, A.V. Improving energy efficiency of incremental relay based cooperative communications in wireless body area networks. Int. J. Commun. Syst. 2015, 28, 91–111. [Google Scholar] [CrossRef]
- Kurup, D.; Vermeeren, G.; Tanghe, E.; Joseph, W.; Martens, L. In-to-out body antenna-independent path loss model for multilayered tissues and heterogeneous medium. Sensors 2015, 15, 408–421. [Google Scholar] [CrossRef] [PubMed]
- Dielectric Properties of Body Tissues. Available online: http://niremf.ifac.cnr.it/tissprop/ (accessed on 29 March 2016).
- Kurup, D.; Joseph, W.; Vermeeren, G.; Martens, L. Specific absorption rate and path loss in specific body location in heterogeneous human model. Microwaves. IET Antennas Propag. 2013, 7, 35–43. [Google Scholar] [CrossRef]
- Liu, X.; Hin, T.K.; Heng, C.H.; Gao, Y.; Toh, W.D.; Cheng, S.J.; Je, M. A 103 pJ/bit multi-channel reconfigurable GMSK/PSK/16-QAM transmitter with band-shaping. In Proceedings of the 2014 IEEE Asian Solid-State Circuits Conference (A-SSCC), Kaohsiung, Taiwan, 10–12 November 2014.
- Kim, S.R.; Ryu, H.G. Analysis and design of QAPM modulation based on multi-carrier using compressive sensing for low power communication. In Proceedings of the 2012 International Conference on ICT Convergence (ICTC), Jeju, Korea, 15–17 October 2012.
- Cheffena, M. Performance evaluation of wireless body sensors in the presence of slow and fast fading effects. IEEE Sens. J. 2015, 15, 5518–5526. [Google Scholar] [CrossRef]
- Wang, J.; Fujiwara, T.; Kato, T.; Anzai, D. Wearable ECG based on impulse radio type human body communication. IEEE Trans. Biomed. Eng. 2015. [Google Scholar] [CrossRef] [PubMed]
- Liao, Y.; Leeson, M.S.; Higgins, M.D. An in-body communication link based on 400 MHz MICS band wireless body area networks. In Proceedings of the 2015 IEEE 20th International Workshop on Computer Aided Modelling and Design of Communication Links and Networks (CAMAD), Guildford, UK, 7–9 September 2015.
- Anzai, D.; Aoyama, S.; Yamanaka, M.; Wang, J. Impact of spatial diversity reception on SAR reduction in implant body area networks. IEICE Trans. Commun. 2012, 95, 3822–3829. [Google Scholar] [CrossRef]
- Nagata, Y.; Hiraoka, M.; Akuta, K.; Abe, M.; Takahashi, M.; Jo, S.; Nishimura, Y.; Masunaga, S.; Fukuda, M.; Imura, H. Radiofrequency thermotherapy for malignant liver tumors. Cancer 1990, 65, 1730–1736. [Google Scholar] [CrossRef]
- Kailas, A.; Ingram, M.A. Wireless aspects of telehealth. Wirel. Personal Commun. 2009, 51, 673–686. [Google Scholar] [CrossRef]
- Yousaf, S.; Javaid, N.; Khan, Z.A.; Qasim, U.; Imran, M.; Iftikhar, M. Incremental relay based cooperative communication in wireless body area networks. Procedia Comput. Sci. 2015, 52, 552–559. [Google Scholar] [CrossRef]
- Yigitel, M.A.; Incel, O.D.; Ersoy, C. QoS-aware mac protocols for wireless sensor networks: A survey. Comput. Netw. 2011, 55, 1982–2004. [Google Scholar] [CrossRef]
- Javaid, N.; Ahmad, A.; Nadeem, Q.; Imran, M.; Haider, N. Im-Simple: Improved stable increased-throughput multi-hop link efficient routing protocol for wireless body area networks. Comput. Hum. Behav. 2015, 51, 1003–1011. [Google Scholar] [CrossRef]
- Sandhu, M.; Javaid, N.; Jamil, M.; Khan, Z.; Imran, M.; Ilahi, M.; Khan, M. Modeling mobility and psychological stress based human postural changes in wireless body area networks. Comput. Hum. Behav. 2015, 51, 1042–1053. [Google Scholar] [CrossRef]
- Hayajneh, T.; Almashaqbeh, G.; Ullah, S.; Vasilakos, A.V. A survey of wireless technologies coexistence in WBAN: Analysis and open research issues. Wirel. Netw. 2014, 20, 2165–2199. [Google Scholar] [CrossRef]
- Kathuria, M.; Gambhir, S. Quality of service provisioning transport layer protocol for WBAN system. In Proceedings of the 2014 International Conference on Optimization, Reliability, and Information Technology (ICROIT), Haryana, India, 6–8 February 2014.
- Otto, C.; Milenkovic, A.; Sanders, C.; Jovanov, E. System architecture of a wireless body area sensor network for ubiquitous health monitoring. J. Mob. Multimed. 2006, 1, 307–326. [Google Scholar]
- Razzaque, M.A.; Javadi, S.S.; Coulibaly, Y.; Hira, M.T. QoS-aware error recovery in wireless body sensor networks using adaptive network coding. Sensors 2014, 15, 440–464. [Google Scholar] [CrossRef] [PubMed]
- Monowar, M.M.; Hassan, M.M.; Bajaber, F.; Al-Hussein, M.; Alamri, A. Mcmac: Towards a MAC protocol with multi-constrained QoS provisioning for diverse traffic in wireless body area networks. Sensors 2012, 12, 15599–15627. [Google Scholar] [CrossRef] [PubMed]
- IEEE/IOS Healthcare IT Standards. Available online: https://standards.ieee.org/findstds/standard/healthcare_it.html (accessed on 30 April 2016).
- European Union Framework Programme 7 ‘WBAN Architecture and Open Middleware’. Available online: http://daphne-fp7.eu/sites/default/files/D3.2%20DAPHNE_WBAN_Open_Middleware.pdf (accessed on 30 April 2016).
- Picazo-Sanchez, P.; Tapiador, J.E.; Peris-Lopez, P.; Suarez-Tangil, G. Secure publish-subscribe protocols for heterogeneous medical wireless body area networks. Sensors 2014, 14, 22619–22642. [Google Scholar] [CrossRef] [PubMed]
- Rushanan, M.; Rubin, A.D.; Kune, D.F.; Swanson, C.M. Sok: Security and privacy in implantable medical devices and body area networks. In Proceedings of the 2014 IEEE Symposium on Security and Privacy (SP), San Jose, CA, USA, 18–21 May 2014.
- Wu, W.H.; Bui, A.A.; Batalin, M.A.; Au, L.K.; Binney, J.D.; Kaiser, W.J. Medic: Medical embedded device for individualized care. Artif. Intell. Med. 2008, 42, 137–152. [Google Scholar] [CrossRef] [PubMed]
- Animal Experimentation the Facts. Available online: http://www.bbc.co.uk/ethics/animals/using/facts.shtml (accessed on 30 April 2016).
- IEEE Standards Association 802.15.6-2012-Part 15.6: Wireless Body Area Networks. Available online: https://standards.ieee.org/findstds/standard/802.15.6-2012.html (accessed on 30 April 2016).
- Reina, D.G.; Toral, S.L.; Barrero, F.; Bessis, N.; Asimakopoulou, E. The role of ad hoc networks in the internet of things: A case scenario for smart environments. In Internet of Things and Inter-Cooperative Computational Technologies for Collective Intelligence; Springer: Berlin, Germany, 2013; pp. 89–113. [Google Scholar]
- Ghamari, M.; Janko, B.; Sherratt, R.S.; Harwin, W.; Piechockic, R.; Soltanpur, C. A survey on wireless body area networks for e-healthcare systems in residential environments. Sensors 2016, 16, 831. [Google Scholar] [CrossRef] [PubMed]
















| Parameter | Skin | SAT | BT | Muscle | Liver |
|---|---|---|---|---|---|
| 38 | 10.8 | 5.15 | 52.7 | 43 | |
| [S/m] | 1.46 | 0.27 | 0.14 | 1.74 | 1.69 |
| 0.28262 | 0.14524 | 0.19535 | 0.24194 | 0.28751 |
| Distance | Maximum SAR (1 g) | Maximum SAR (10 g) |
|---|---|---|
| 5 mm | 36.8 mW·kg−1 | 17.4 W·kg−1 |
| 20 mm | 31.5 W·kg−1 | 19.3 W·kg−1 |
| Parameter | Value (Unit) | Description |
|---|---|---|
| n | 3.6 | PL exponent |
| 2.93 | average deviation | |
| 0.5 cm | reference distance | |
| 23.49 dB | PL at the reference distance |
| Simulation Parameter | Value |
|---|---|
| Frequency band (GHz) | 2.45 |
| Tx output power (μW) | 1, 10, 25 |
| Antenna gain (dBi) | 0 |
| Coding gain (dB) | 0 |
| Ambient temperature (K) | 310 |
| Liver tissue temperature (K) | 306 |
| Boltzmann constant (JK−1) | |
| BER (predetermined) | |
| SNR (threshold) (dB) | 11 (BPSK), 13 (QPSK) |
| - | 15.5 (16QAM), 18 (16PSK) |
| Selected data rate (Mbps) | 0.25, 5, 30 |
| Selected distance (m) | 2 |
| Parameter (Unit) | nRF2401A | CC2420 |
|---|---|---|
| Tx current (mA) | 10.5 | 17.4 |
| Rx current (mA) | 18 | 19.7 |
| Voltage (V) | 1.9 | 2.1 |
| (nJ/bit) | 16.7 | 96.9 |
| (nJ/bit) | 36.1 | 172.8 |
| (nJ/bit/m2) | 1.97 | 2.71 |
| Node ID | X-Coordinate | Y-Coordinate |
|---|---|---|
| 1 | 0.2 | 1.6 |
| 2 | 0.4 | 0.4 |
| 3 | 0.3 | 0.1 |
| 4 | 0.6 | 0.35 |
| 5 | 0.7 | 1.5 |
| 6 | 0.9 | 1.65 |
| coordinator | 0.45 | 0.85 |
| Simulation Parameter (Unit) | Value |
|---|---|
| Number of in-body nodes | 6 |
| Network Initial energy (Joule) | 3 |
| Payload size (bits) | 2000 |
| Electromagnetic wave speed (m/s) | 3 × 10 8 |
| Packet loss probability | 0.3 |
| Protocol | Features | Weaknesses | Performance |
|---|---|---|---|
| Incremental relaying (this paper) |
|
|
|
| Energy-Balanced Rate Assignment and Routing protocol (EBRAR) |
|
|
|
| Enhanced cooperative critical data transmission in emergency in static WBAN (EInCo-CEStat) |
|
|
|
| Link-Aware and Energy Efficient protocol for WBANs (LAEEBA) |
|
|
|
| Relay based routing protocol for in-body sensor networks |
|
|
|
| QoS Mechanism | Reliability | Real-Time Transmission | Energy Efficiency | Adaptability |
|---|---|---|---|---|
| Data collision | - | |||
| Data compression | - | - | ||
| Error control coding | ||||
| Power control | ||||
| Targeted ability | - | - | - |
| Application | Sensor | Energy Consumption | BER | Operating Distance | Lifetime | Data Rate |
|---|---|---|---|---|---|---|
| On-body applications | ECG | Low | Low | High | >1 week | >3 Kbps |
| Blood pressure | Low | Low | Low | Very long | <10 Kbps | |
| In-body applications | ICD | Moderate | High | Low | >40 h | Few Kbps |
| Organ monitoring | Low | Moderate | Moderate | 7–10 days | >100 Kbps | |
| Glucose | High | Moderate | Low | >1 week | Few Kbps | |
| Capsule endoscope | High | High | Moderate | >24 h | 10 Mbps | |
| Image processing | High | High | Low | >12 h | 10 Mbps |
| QoS Requirement | WBAN |
|---|---|
| Data rate | WBAN communication systems should cover bit rates from few Kbps to 30 Mbps |
| Tolerance | Stand 3 s when sensor nodes either added or removed |
| Maximum number of sensor nodes | 256 |
| Mobility | Capable to reliable transmission when people moving |
| Data should not loss even if capacity is reduced | |
| Anti-interference when people moving | |
| Latency | Latency <125 ms for medical applications, Latency <250 ms for non-medical service |
| Jitter <50 ms for all applications | |
| Coexistence | In-body and on-body sensor nodes should able to work together |
| Layer | QoS Issues | QoS Metric | QoS Requirements |
|---|---|---|---|
| Application |
|
|
|
| Transport |
|
|
|
| Network |
|
|
|
| MAC |
|
|
|
| Physical |
|
|
|
© 2016 by the authors; licensee MDPI, Basel, Switzerland. This article is an open access article distributed under the terms and conditions of the Creative Commons Attribution (CC-BY) license (http://creativecommons.org/licenses/by/4.0/).
Share and Cite
Liao, Y.; Leeson, M.S.; Higgins, M.D.; Bai, C. Analysis of In-to-Out Wireless Body Area Network Systems: Towards QoS-Aware Health Internet of Things Applications. Electronics 2016, 5, 38. https://doi.org/10.3390/electronics5030038
Liao Y, Leeson MS, Higgins MD, Bai C. Analysis of In-to-Out Wireless Body Area Network Systems: Towards QoS-Aware Health Internet of Things Applications. Electronics. 2016; 5(3):38. https://doi.org/10.3390/electronics5030038
Chicago/Turabian StyleLiao, Yangzhe, Mark S. Leeson, Matthew D. Higgins, and Chenyao Bai. 2016. "Analysis of In-to-Out Wireless Body Area Network Systems: Towards QoS-Aware Health Internet of Things Applications" Electronics 5, no. 3: 38. https://doi.org/10.3390/electronics5030038
APA StyleLiao, Y., Leeson, M. S., Higgins, M. D., & Bai, C. (2016). Analysis of In-to-Out Wireless Body Area Network Systems: Towards QoS-Aware Health Internet of Things Applications. Electronics, 5(3), 38. https://doi.org/10.3390/electronics5030038

