Next Article in Journal
A Proof-of-Concept of a Bio-Inspired Neuromorphic Hierarchical System Behaving as an Associative Memory for Multisensory Integration
Previous Article in Journal
Comparative Analysis of Sliding-Mode Control Techniques in Five-Level Active Neutral Point Clamped Flying Capacitor Inverter
 
 
Font Type:
Arial Georgia Verdana
Font Size:
Aa Aa Aa
Line Spacing:
Column Width:
Background:
Article

End Effector Driven Whole Body Trajectory Tracking for Mobile Manipulator Based on Linear and Angular Motion Decomposition

Smart Mobility R&D Division, Korea Institute of Robotics and Technology Convergence, Pohang 37666, Republic of Korea
*
Author to whom correspondence should be addressed.
Electronics 2026, 15(7), 1384; https://doi.org/10.3390/electronics15071384
Submission received: 11 February 2026 / Revised: 23 March 2026 / Accepted: 24 March 2026 / Published: 26 March 2026
(This article belongs to the Special Issue Stability and Control of Nonlinear Systems)

Abstract

This paper proposes an end-effector (EE) driven whole-body trajectory tracking control algorithm for wheeled mobile manipulators based on linear and angular motion decomposition. Instead of solving a high-dimensional optimization problem across all degrees of freedom, the proposed method formulates the control objective directly in the EE space and decomposes the required motion into planar linear, vertical, and angular components. To address redundancy between the mobile base and the manipulator under non-holonomic constraints, a control authority switching strategy with a radial blending function is introduced. This approach eliminates ambiguity in control allocation while preventing abrupt switching near workspace boundaries. The kinematic controller guarantees exponential convergence of position and orientation errors without requiring a full dynamic model. Numerical simulations demonstrate stable tracking performance in three-dimensional space. Compared with a quadratic programming-based whole-body controller, the proposed method achieves comparable or faster error convergence while reducing computational burden by more than 13 times on average. These results indicate that the proposed EE-driven framework provides a computationally efficient and practically deployable solution for real-time mobile manipulator control.

1. Introduction

Wheeled mobile manipulators (WMMs) have attracted increasing attention in various industrial fields, including manufacturing, logistics, service, and healthcare, due to their capability to significantly expand the workspace of fixed-base manipulators and to augment mobile robots with manipulation functionalities such as loading and unloading [1,2,3]. By integrating mobility and manipulation, WMMs can not only extend the operational range of conventional manipulators but also enhance the transportation and logistics capabilities of mobile platforms with dexterous handling functions. Furthermore, WMMs can flexibly adapt to changes in working environments and task requirements, thereby contributing substantially to improved productivity and operational efficiency.
In the early stage of WMM deployment, transportation and manipulation were operated independently and executed in a sequential operation. However, to fully exploit the potential of WMMs, there has been a growing demand for whole-body control (WBC), in which the mobile base and the manipulator are controlled simultaneously. WBC represents the mobile manipulator as a holistic structure by integrating all degrees of freedom (DOF) of the mobile base and the manipulator, thereby significantly enhancing motion speed and fluidity compared with conventional independent control schemes [4,5,6]. In other words, since manipulation can be performed while the mobile base is in motion, the overall task cycle time can be reduced, the naturalness of motion can be improved, and behaviors that cannot be realized under independent control architectures can be achieved.
However, WMM inherently exhibits a high system order due to the integration of the mobile platform and the manipulator. Moreover, the redundancy in control inputs must be addressed simultaneously. As a result, the WBC of WMMs poses significant challenges in terms of modeling, coordination, and control design complexity.
To address the complex control problem of highly redundant WMMs, WBC algorithms that integrate all DOF of the mobile manipulator, along with model predictive control (MPC) schemes that compute optimal control inputs under constraints while maintaining the dynamic balance of inherently unstable systems, have been proposed [6,7,8,9,10,11]. These approaches have demonstrated superior performance in ensuring dynamic stability and enabling the integration of locomotion–manipulation hybrid motions. However, when model-based mathematical optimization techniques have been employed, the associated computational burden often results in long processing times, making it difficult to respond to rapidly varying trajectories in real time. In addition, conventional model-based control strategies require accurate dynamic models of the robot, which necessitates additional compensation mechanisms to account for system uncertainties and modeling errors.
To overcome these limitations, learning-based Physical AI approaches, such as deep reinforcement learning and imitation learning, have emerged to directly learn complex control policies [5,12,13,14,15,16]. In particular, studies on adaptive neural network control for robots equipped with series elastic actuators have contributed to mitigating model uncertainties, demonstrating that adaptive and learning-based control strategies can effectively address modeling inaccuracies. It is worth noting that recent advances in efficient adaptive and learning-based control have demonstrated that control policies can be learned offline from collected experiences, substantially alleviating the dependence on high-performance computing hardware during deployment [15,16]. For mechatronic applications utilizing compact network architectures such as MLPs and LSTMs, real-time inference can be achieved well within the millisecond range even without dedicated GPU hardware. However, such deployment assumes that the training data sufficiently covers the operational conditions, and frequent task reconfiguration in industrial settings—such as changes in kinematic parameters, payload, and workspace geometry—may necessitate retraining. Furthermore, in multi-process robotic systems, shared CPU resources can increase inference latency beyond isolated benchmark levels. These practical considerations, together with the absence of formal stability guarantees for neural network-based controllers, motivate the development of analytical control frameworks that ensure tracking performance a priori without dependence on training data or computational environment assumptions. Furthermore, advanced optimization-based integrated methodologies—such as hierarchical optimization, holistic system integration design, and real-time reactive control—have been investigated for diverse environments and robotic platforms [17,18,19,20,21]. Among these approaches, algorithms based on quadratic programming (QP) have been proposed to generate optimal control commands for integrated models of mobile bases and manipulators [19,20,21]. These studies have progressed beyond improving model accuracy and have aimed at enhancing the strategic intelligence and task execution capability of robotic systems. However, since such methods must still solve optimization problems for high DOF systems with significant control redundancy, they inherently require high-performance optimization solvers and dedicated computational hardware. Consequently, these approaches impose substantial computational demands, limiting the development of cost-effective and widely deployable solutions. Moreover, the iterative nature of these optimization-based solvers introduces inherent uncertainty in computation time, as the number of iterations required for convergence varies depending on the current system state and constraint configuration. This time variability poses a fundamental challenge for deterministic real-time control, particularly in high-frequency applications (above 1 kHz) where strict cycle-time budgets must be consistently met. Consequently, ensuring real-time feasibility with optimization-based approaches often necessitates dedicated high-performance computing hardware or careful worst-case timing analysis, both of which increase system cost and integration complexity.
Considering the existing research outcomes and the practical demands in real-world applications, it is essential to reduce the influence of high DOF and to decrease the computational complexity and processing load of control algorithms in order to facilitate the rapid deployment of WBC for WMMs in practical environments. In particular, the control framework should be designed to operate independently of high-performance processors, thereby enabling cost-effective and scalable implementation in real industrial settings.
Therefore, this paper proposes an end-effector (EE)-driven whole-body tracking control (WBTC) framework for a mobile manipulator based on linear and angular motion decomposition. Regardless of whether WBC is employed, the fundamental objective of WMM control is to enable the EE to perform tasks at the desired position. Accordingly, the EE can be regarded as the primary reference for representing the motion of the WMM. By adopting this perspective, it is no longer necessary to separately define a target pose for the mobile base, move the base accordingly, and subsequently control the manipulator in a sequential manner. Instead, an EE trajectory tracking algorithm is proposed so that the WMM can be controlled in a unified manner through WBC with respect to a single reference, namely the EE. This paper addresses a trajectory tracking control algorithm that enables the EE to follow a trajectory defined as a set of positions in three-dimensional space. (Note that the orientation of the EE—i.e., roll, pitch, and yaw—is not considered in this study.) To this end, a kinematics-based trajectory tracking control method presented in [22,23] is adopted to design the EE velocity control algorithm. The resulting velocity command is then realized by decomposing the EE motion into linear, vertical, and rotational components using the motion decomposition technique proposed in [24], and reconstructing the overall motion accordingly. During this process, control redundancy arises because the WMM consists of a non-holonomic mobile base and a multi-DOF manipulator. To eliminate the ambiguity caused by redundancy and to minimize control complexity, a control authority switching algorithm is proposed. Although the control authority switching and command blending algorithms in [16] were formulated based on the boundary of the workspace, such a boundary-based approach is not suitable for trajectory tracking, as it defines switching conditions solely with respect to the relationship between the EE position and the workspace boundary, leaving the possibility that the EE may exit the workspace. To resolve this issue, the proposed switching algorithm is reformulated based not on workspace boundaries but on representative reference positions within predefined regions.
The proposed EE-driven WBTC algorithm is summarized in Figure 1.
Admittedly, the proposed control law is derived based on a kinematic model that generates velocity commands, and therefore does not explicitly account for the dynamic characteristics of the WMM. This may be regarded as a limitation in terms of dynamic performance analysis. However, considering that most commercial robotic platforms are equipped with proprietary low-level dynamic controllers and do not allow direct access to torque-level control by external users, the proposed approach can be interpreted as a practical and platform-agnostic solution that can be readily applied to a wide range of robotic systems.
This paper includes verification results through numerical simulations to demonstrate the performance of the proposed algorithm. To minimize the gap between numerical simulation and real robotic systems, the characteristics of actual robots are reflected in the simulation setup. The performance evaluation of the proposed algorithm is conducted through comparison with a conventional optimization-based algorithm. The results of mission execution under the same scenario on the same processor are compared in terms of error convergence behavior, computation time, and generated control inputs.
The contributions of the proposed method are summarized as follows.
  • Reduced control complexity and computational burden: By mitigating the impact of high DOF and minimizing algorithmic complexity and computational load, the proposed method enables processor-independent operation. This facilitates the development of cost-effective and widely deployable solutions applicable to a broad range of robotic platforms.
  • Computational efficiency and embedded deployability: The proposed algorithm relies exclusively on elementary arithmetic and trigonometric operations, without requiring linear algebra libraries for large-scale matrix operations or iterative optimization solvers. This characteristic makes the algorithm readily deployable on resource-constrained embedded platforms, such as ARM-based industrial controllers or microcontroller units (MCUs), without the need for GPU acceleration or dedicated optimization hardware. The low and predictable computational footprint of the proposed method thus constitutes a significant practical advantage for real-world mobile manipulator deployment.
  • Ease of deployment on commercial robotic systems: Since most commercial robots are equipped with proprietary low-level dynamic controllers that restrict direct external torque-level control, the proposed kinematics-based control law can be readily implemented at the velocity-command level. This enables broad applicability across diverse commercial robotic platforms without requiring modification of internal dynamic controllers.
  • EE-driven unified control framework: By adopting the end-effector as the primary reference, the proposed approach eliminates the need to separately define a target pose for the mobile base and subsequently control the manipulator in a sequential manner. Instead, the WMM is controlled in a unified framework with respect to the EE, thereby enhancing motion fluidity, coordination, and overall operational efficiency.
  • Stable control authority switching mechanism: A radial function–based control authority switching algorithm is proposed, where the switching condition is defined with respect to representative reference positions within predefined regions rather than workspace boundaries. This approach mitigates potential instability during control authority transitions, alleviates constraints associated with strict workspace boundary definitions, and prevents the EE from exiting the admissible workspace during trajectory tracking.
The remainder of this paper is organized as follows. Section 2 describes the overall system configuration and presents the kinematic modeling of the proposed framework based on linear and angular motion decomposition. Section 3 introduces the kinematic motion controller designed to ensure stable trajectory tracking of the EE, along with a theoretical proof of error convergence. Section 4 proposes a novel control authority switching algorithm and a blending function scheme to address the redundancy problem between the mobile base and the manipulator. Section 5 presents simulation results that evaluate the trajectory tracking performance and computational efficiency of the proposed method, and compares them with those of a conventional quadratic programming (QP)-based control approach to demonstrate its effectiveness. Finally, Section 6 concludes the paper.

2. Motion Decomposition

2.1. System Description

The WMM consists of a mobile robot subject to non-holonomic constraints and a multi-DOF manipulator, as illustrated in Figure 2. As discussed in the Introduction, both subsystems contribute to the motion of the EE; therefore, it is necessary to explicitly define the motion components associated with each subsystem. To clearly present the proposed motion decomposition strategy, Figure 2 depicts the mobile base and the manipulator separately, highlighting their respective roles in generating the overall EE motion.
Figure 2a presents an overall schematic view of the mobile manipulator. As shown in Figure 2a, for the convenience of algorithmic description, the coordinate frame of the mobile base is aligned with that of the manipulator for the proposed linear and angular motion decomposition. Figure 2b illustrates the kinematic characteristics of the mobile base, highlighting its non-holonomic constraint. Figure 2c describes the kinematic relationship of the manipulator in the ρz plane. For the proposed motion decomposition framework, the motion of the EE is expressed in the ρz plane, as depicted in Figure 2c. Figure 2d defines the EE coordinates based on the positional relationship between the mobile base and the manipulator. The variables indicated in Figure 2 and used throughout this paper are defined in Table 1.
The variables are related as follows. First, vρ and vε are defined along the same direction. In addition, zε = zm, where both variables represent the height of the manipulator. As previously mentioned, the mobile base is modeled as a non-holonomic mobile platform, as illustrated in Figure 2b. Accordingly, it exhibits the following kinematic characteristics.
x ˙ b = v b cos θ b ,   y ˙ b = v b sin θ b ,   θ ˙ b = ω b .
The mobile base cannot generate motion in the z-direction. Therefore, the mobile base cannot influence the vertical movement of the EE. This implies that the redundancy of the control input in the WBTC system appears only in the horizontal motion. Accordingly, the subsequent motion decomposition and control authority switching are performed primarily with respect to the horizontal motion.
As shown in Figure 2b,c the linear velocity component vε and the angular velocity component ωε of the EE are expressed as the combined contributions of the mobile base and the manipulator, and can therefore be represented as follows.
v ε = v b cos θ m + v ρ
ω ε = ω b + ω m
To ensure a unified representation of motion, the movement of the manipulator is not expressed in Cartesian coordinates (x, y, z). Instead, it is formulated using vε and ωε, in a form analogous to the kinematic model of the mobile base given in (1). Using the variables defined in Figure 2 and Table 1, the kinematic behavior of the EE can be expressed as follows.
x ˙ ε y ˙ ε z ˙ ε θ ˙ ε = cos θ ε sin θ ε 0 0 0 0 1 0 ρ m sin θ ε ρ m cos θ ε 0 1 v ε v z ω ε
Here, it can be observed that the vertical motion can be realized independently of the planar motion components.
Note: It should be noted that the kinematic formulation in (3) inherently embeds the coordinate transformation between the inertial frame and the EE motion direction. As can be seen in (3), the planar velocity components of the EE in the inertial frame are expressed as vεcos (θε) and vεsin (θε), which correspond to the elements of a standard two-dimensional rotation matrix parameterized by the EE orientation θε. Accordingly, the transformation from the local velocity vε of the EE to the inertial-frame velocity components is realized through the orientation angle θε without requiring an explicit rotation matrix. In addition, as confirmed in (3), the vertical velocity component vz is structurally decoupled from the planar components. Therefore, the proposed formulation enables each motion component to be designed and controlled independently without the need for a full three-dimensional rotation matrix that maps between the inertial and EE coordinate frames. This structural decoupling eliminates inter-axis coupling and thereby allows coordinated trajectory tracking to be achieved through the independent design of each decomposed velocity component.

2.2. Motion Decomposition of Manipulator

For motion decomposition, the linear and angular motion decomposition method presented in [16] is adopted. In [16], the manipulator motion is expressed in terms of (ρm, zm, θm) rather than Cartesian coordinates (x, y, z), which allows the decomposition strategy to be directly applied in this study. Although [16] primarily addressed horizontal motion of the mobile manipulator and omitted vertical motion, the present work extends the framework to incorporate vertical motion in order to enable full three-dimensional EE trajectory tracking. Accordingly, we demonstrate that when vρ and vz are designed based on (ρm, zm, θm), the resulting motion can be implemented through the joint movements of the manipulator shown in Figure 2d, following the decomposed motion policy proposed in [16].
Note: The decomposition of EE motion of the mobile manipulator into linear and angular components can be supported by (1) and Figure 2c. First, as mentioned in the Introduction, this paper considers the generation of velocity commands based on a kinematic model, under the assumption that the velocity commands are rapidly implemented by the robot manufacturers’ low-level dynamic controllers. Next, as shown in (1), the translational and rotational velocity commands of the mobile base are independently commanded. Furthermore, as depicted in Figure 2c, the horizontal position of the EE can be represented by independent translational and angular velocity inputs. Based on these two observations, it can be concluded that the linear and angular motions can be decomposed when generating kinematics-based control inputs for the mobile manipulator.
The variables (ρm, zm) and the joint angles (θm1, θm2) satisfy the following relationships [16].
θ m 2 = arccos ρ m 2 + z m 2 L 1 2 L 2 2 2 L 1 L 2
θ m 1 = atan 2 z m , ρ m atan 2 L 2 sin θ m 2 , L 1 + L 2 cos θ m 2
In (4a), θm2 has two potential solutions of +/− arccos(∙). Since the solution is fixed to the elbow down configuration to ensure control continuity with avoiding singular position, the negative sign on the right side of (4a) is chosen. Also, vρ, vz and the time derivatives of θm1, θm2 have the following relationship.
θ ˙ m 1 θ ˙ m 2 T = J 1 v ρ v z T ,
where,
J = L 1 sin θ m 1 + L 2 sin θ m 1 + θ m 2 L 2 sin θ m 1 + θ m 2 L 1 cos θ m 1 + L 2 cos θ m 1 + θ m 2 L 2 cos θ m 1 + θ m 2 .
By (6) time derivatives of θm1, θm2 are described as follows:
θ ˙ m 1 = 1 L 1 L 2 sin θ m 2 L 2 cos θ m 1 + θ m 2 v ρ + L 2 sin θ m 1 + θ m 2 v z
θ ˙ m 2 = 1 L 1 L 2 sin θ m 2 L 1 cos θ m 1 + L 2 cos θ m 1 + θ m 2 v ρ L 1 sin θ m 1 + L m 2 sin θ m 1 + θ m 2 v z
The denominator in (7b) indicates the kinematic sensitivity of the manipulator due to sin(∙) function. By consistently selecting the elbow-down configuration (θ2 < 0) as in (4), the singularity at θ2 = 0 is prevented.
Therefore, the process described in (4)–(7) shows that, once vρ, vz are given, they can be directly transformed into the corresponding joint velocities. Hence, the manipulator can be effectively controlled solely through the design of vρ, vz.
Note: As demonstrated in Figure 2 and (5)–(7), these decomposed velocity components are quantitatively mapped to the individual joint velocities of the manipulator θ ˙ m 1 and θ ˙ m 2 through the inverse operation of the Jacobian matrix J. In this process, horizontal and vertical motions are mathematically decoupled through the respective rows of the J, allowing for independent control of each motion component without inter-axis interference or reliance on complex numerical optimization. While joint variables can be obtained from the EE position via standard inverse kinematics, directly solving for all angles from a three-dimensional position generally requires handling full system redundancy. In contrast, by representing motion components in this structured form, the proposed decomposition reduces the effective DOF involved in the computation, thereby simplifying the control algorithm while clearly defining the contribution of each component to the final trajectory of the EE.
Note: It should be noted that the proposed decomposition framework does not require an explicit rotation matrix for transforming between the inertial coordinate frame and the EE coordinate frame. This is attributed to the fact that the motion representation adopted in this study, which is based on vε, θε, and vz, inherently encodes the directional information through the trigonometric terms cos (θε) and sin (θε) in (3), which effectively serve as the rotation matrix elements. Moreover, since the vertical motion is structurally independent from the planar motion as confirmed in (3) and (5)–(7), coordinated control of the different motion components is achieved not through a unified rotation matrix based transformation but through the independent and parallel design of each decomposed velocity component. The validity of this structural independence is formally verified by Theorem 1 in Section 3, which guarantees that the position errors in all axes converge to zero under the proposed independent control law.

3. Kinematic Motion Controller of EE

A motion controller is designed to enable the EE to track a given trajectory. To formulate the EE motion control law, the following position error variables are defined.
e z = z t z ε ,   e x = x t x ε ,   e y = y t y ε ,
where, the time derivatives of the position errors are given as follows.
e ˙ z = z ˙ t z ˙ ε = z ˙ t v z
e ˙ x = x ˙ t x ˙ ε = x ˙ t v ε cos θ ε + ρ ω ε sin θ ε
e ˙ y = y ˙ t y ˙ ε = y ˙ t v ε sin θ ε ρ ω ε cos θ ε
The control objective is to ensure that the error variables defined in (8) and (9) asymptotically converge to zero. To achieve this objective, the following control inputs are designed.
v z c = z ˙ t + k z e z
v ε c = X cos θ ε + Y sin θ ε
ω ε c = θ ˙ d + k θ e θ
Here, kz and kθ are positive constants selected by user, and X, Y are defined as follows.
X = x ˙ t + k x e x ,   Y = y ˙ t + k y e y ,
where kx and ky are positive constants determined by the user. Theorem 1 verifies that, under the control inputs defined in (10) and (11), the EE is guaranteed to follow the prescribed trajectory.
Theorem 1.
By applying the control inputs in (10a) and (10b) to the EE of the mobile manipulator represented in (3) and Figure 1 and Figure 2, the position errors in (8) converge to zero, allowing the EE to track the given trajectory.
Proof of Theorem 1.
To show that the position error in (8) converges to zero over time, the control input is designed so that position errors in (8) become as follows:
e ˙ z = k z e z ,   e ˙ x = k x e x ,   and   e ˙ y = k y e y .
Accordingly, vz, vεcos (θε) and vεsin (θε) at the end of the right-hand side of (9) are designed as follows:
v z = z ˙ t + k z e z
v ε cos θ ε = x ˙ t + ρ ω ε sin θ ε + k x e x
v ε sin θ ε = y ˙ t ρ ω ε cos θ ε + k y e y
As applying (13) to (8), (12) can be obtained, thereby showing that the position errors converge to zero as time goes on. As can be seen in (13a), vz, velocity input in vertical direction, is determined directly. To obtain the linear velocity, vε, (13b) and (13c) are multiplied by cos (θε) and sin (θε) respectively, and then added together as in followings.
v ε cos 2 θ ε + v ε sin 2 θ ε = cos 2 θ ε x ˙ t + ρ ω ε sin θ ε + k x e x + sin 2 θ ε y ˙ t ρ ω ε cos θ ε + k y e y
v ε cos 2 θ ε + sin 2 θ ε = cos θ ε x ˙ t + k x e x + ρ ω ε sin θ ε cos θ ε + sin θ ε y ˙ t + k y e y ρ ω ε sin θ ε cos θ ε v ε = cos θ ε x ˙ t + k x e x + sin θ ε y ˙ t + k y e y v ε = X cos θ ε + Y sin θ ε
Through the process of (12) and (13), it can be shown that when the proposed control algorithm is applied to the mobile manipulator’s EE, the position error variables converge to zero. □
Although Theorem 1 guarantees the convergence of the position error to zero, this result presupposes that the EE orientation is properly aligned toward the trajectory. Therefore, the desired orientation of the EE is designed based on [14,15] as follows.
θ d = arctan 2 Y , X
To ensure that θε converges toward θd, the orientation error eθ is defined as follows.
e θ = θ d θ ε
The time derivative of eθ is as follows.
e ˙ θ = θ ˙ d ω ε
To drive eθ to zero, ωε can be designed as in (10c). Whether the control command in (10c) ensures the convergence of eθ to zero can be verified by examining if eθ exhibits the following closed-loop behavior, as shown in (12) of Theorem 1.
e ˙ θ = k θ e θ
By substituting ωε defined in (10c), into (16), we obtain (17). Therefore, it can be concluded that, under the control input ωε in (10c) converges to θd.

4. Control Authority Switching Algorithm

As shown in (2), both vε and ωε are expressed as combinations of the velocity components of the mobile base and the manipulator. Therefore, redundancy must be addressed when controlling the EE. A control authority switching algorithm is proposed to resolve the redundancy issue.
In the proposed strategy, the manipulator workspace is assumed to be a spherical region centered at the manipulator base mount. Based on this assumption, a control authority allocation algorithm is proposed. The fundamental concept of the algorithm is to determine whether the mobile base or the manipulator should take control authority depending on whether the desired trajectory lies within the manipulator workspace. If the desired position is located outside the workspace, the EE cannot reach the target using the manipulator alone. In this case, the mobile base is commanded to move so that the EE can approach the desired position. Conversely, if the desired position lies within the manipulator workspace, the manipulator alone is sufficient to reach the target, and thus the mobile base does not need to move.
In addition to this fundamental concept, a blending function is introduced to enable smooth switching when the desired position crosses the workspace boundary. This prevents abrupt start–stop motions that would otherwise impose excessive mechanical loads on the system during instantaneous control authority transitions.
Although a similar switching concept was proposed in [16], the switching logic in that work was defined with respect to the workspace boundary, which required multiple switching conditions across different regions. In contrast, the present study simplifies the structure by defining the switching condition with respect to a single representative point of the workspace, thereby providing a more concise and unified switching framework.
Since the workspace is defined as a sphere centered at the manipulator base mount, it is represented as shown in Figure 3.
Figure 3a illustrates the relationship between the workspace and the trajectory in three-dimensional space. Although the actual manipulator workspace is represented as a spherical region in 3D space, this study aims to reduce system dimensionality through motion decomposition. As confirmed in (1), the planar and vertical motions can be implemented independently. Based on this property, the workspace is defined in terms of a cross-sectional representation corresponding to the height of the desired position, as shown in Figure 3b. In Figure 3a,b, ρt denotes the planar distance between the desired position and the center of the workspace, while ρw represents the radius of the workspace cross-section corresponding to the height of the desired position. The value of ρw is computed as follows.
ρ w = R 2 z t 2 ,   z t R
Here, R denotes the radius of the spherical workspace. Once the planar workspace is defined according to (18), the switching function μ(⋅) is formulated as illustrated in Figure 4.
Figure 4 illustrates the switching function μ(ρt) with respect to ρt. Here, the switching point denotes the position at which the actual control authority transition occurs. When the switching point is set closer to ρw, the operating range of the manipulator is expanded. Conversely, when it is set farther from ρw, the weighting of the mobile base increases.
μ ρ t = 1 2 1 tanh α ρ t s ,
where, s denotes the switching point, and α is a parameter that determines the slope of the transient region. As α increases, the slope becomes steeper and the blending region becomes narrower; conversely, as α decreases, the blending region becomes wider. Both s and α are user-defined parameters that can be selected according to system requirements. However, s should be chosen with consideration of ρw. Based on Figure 4 and (2) and (19), the switching algorithm can be defined as follows.
v ε = v b cos θ m + v ρ   where   v b cos θ m = 1 μ ρ t v ε c ,   v ρ = μ ρ t v ε c
ω ε = ω b + ω m   where   ω b = 1 μ ρ t ω ε c ,   ω m = μ ρ t ω ε c
In (20a), vbcos (θm) is computed. Therefore, when solving for the actual vb, cos (θm) appears in the denominator, which leads to a singularity at θm = ±π/2. To avoid this singular point, a radial function κ(θm), as presented in [15 and 17], is applied to modify vb as follows.
v b = κ θ m 1 μ ρ t cos θ m v ε c ,
where
κ θ m = 1 exp θ m π 2 2 / σ 2 ,   σ > 0   is   constant .
The radial function κ(θm) ensures that the control input vb avoids very large values or infinity when θm goes to ±π/2 and that vb is always defined.
Note: The switching point s determines the balance of control authority between the mobile base and the manipulator. When s is set close to ρw, the manipulator-only control region is maximized, but the EE is more likely to approach the workspace boundary, increasing the risk of joint velocity saturation and kinematic singularity. Conversely, when s is set close to zero, the mobile base is activated excessively, leading to unnecessary base motion and energy inefficiency. In this study, s is set to ρw/2, which equally distributes the control authority between the two subsystems: the manipulator primarily handles tracking when ρt < s, while the mobile base progressively participates as ρt exceeds s. Since ρw varies with the target height according to (18), s adapts automatically to the three-dimensional workspace geometry. Combined with α = 5.0, this configuration produces a smooth transition zone of approximately ±20% of ρw, preventing both abrupt mechanical shock and excessive response delay. The user may increase s when the trajectory remains within the workspace or decrease it when early base activation is desired. For example, when s is set to a smaller value, the active range of the mobile base is expanded, causing the base to move even when the desired position lies within the reachable workspace of the manipulator. This configuration is advantageous in scenarios where minimizing manipulator joint motion is desired or where maintaining a compact arm posture during base transit is preferred. Conversely, when s is set to a larger value, the operational range of the manipulator is extended, allowing the robot to reach targets by extending its arm while the base is in motion. This is beneficial in confined environments or in situations where precise repositioning of the base incurs a high cost.

5. Simulation Results

This chapter includes the simulation results on the performance of the proposed EE-driven trajectory tracking control algorithm based on the linear and angular motion decomposition. For the numerical simulation, the mobile manipulator capable of moving in a three-dimensional space is modeled in a Python environment. Also, the technical summary and parameters for the simulation are provided in Table 2.
The control gains and switching parameters listed in Table 2 are selected based on the following design rationale. As established in Theorem 1, the position tracking gains kx, ky, kz and the orientation gain kθ guarantee exponential error convergence for any positive values; the specific values determine the convergence rate according to the first order decay dynamics ė = −k·e given in (12). The horizontal gains kx = ky = 6.0 are set relatively high because both the mobile base and the manipulator contribute to the planar motion. The vertical gain kz = 3.0 is set to a more conservative value, as the vertical motion is realized solely by the manipulator and must respect the joint velocity limits. The orientation gain kθ = 4.5 is set equal to the horizontal gains to ensure coordinated tracking. For the blending function, the switching point s = ρw/2 provides a balanced allocation between the manipulator-only and base-assisted control regions, and the slope coefficient α = 6.0 is chosen to prevent both abrupt mechanical transitions and excessive response delays.
Note: The control gains in the proposed algorithm directly determine the convergence rate of the first-order differential equation governing the end-effector error dynamics. Since the system is analytically guaranteed to be stable regardless of gain magnitude, the gain selection reduces to a hardware-constrained design choice rather than an optimization problem. Specifically, larger gains yield faster convergence but proportionally increase the commanded velocity, which must remain within the physical joint velocity limits of the mobile base and manipulator. Therefore, the gains are selected as the maximum values that satisfy the actuator velocity constraints, ensuring the fastest achievable convergence without violating hardware limitations.
To show the performance of the proposed algorithm, we assume the following two trajectory scenarios as in Table 3.
To evaluate the performance and real-time feasibility of the proposed algorithm, it is compared with an optimization-based WBC approach employing a conventional QP controller [13]. It should be noted that both the proposed method and the QP-based controller are designed to achieve the same control objective, namely, to minimize the EE position error with respect to the desired trajectory in three-dimensional space. Both methods operate under the same target trajectory, the same initial conditions, and the same system parameters as specified in Table 2 and Table 3. While the proposed method constructs the control inputs directly through motion decomposition and explicit kinematic relationships as described in Section 2, Section 3 and Section 4, the QP-based controller computes the control inputs by solving an optimization problem over the holistic Jacobian under a weighting matrix.
Note: The QP-based optimization algorithm is selected as the benchmark because it represents the current state of the art in whole-body control of mobile manipulators [6,7,8,9,10,11,17,18,19,20,21]. In particular, MPC—one of the most widely adopted advanced control strategies—frequently employs QP as its core optimization engine, and thus comparing against a QP-based controller is considered representative of the prevailing optimization-based control paradigm. To enhance the practical relevance of the comparison, velocity level constraints reflecting the physical limitations of the system are imposed on both the mobile base and the manipulator in the simulation.
This formulation ensures that the comparison between the two methods is conducted under a fair and consistent evaluation framework. The QP controller used as a benchmark is formulated with the following cost function.
M i n i m i z e   C q = 1 2 q ˙ T H q ˙ + f T q ˙ . Subject to: J ρ q ˙ k c b f ρ ρ min , J ρ q ˙ k c b f ρ max ρ J ρ q ˙ t s + ρ ρ min 0 ,   J ρ q ˙ t s + ρ max ρ 0 v b v b _ max ,   ω b ω b _ max ,   θ ˙ m 1 θ ˙ m 1 _ max ,   θ ˙ m 2 θ ˙ m 2 _ max ,
where
q ˙ = v b ω b θ ˙ m 1 θ ˙ m 2 T ,   v d e s = x ˙ t + K x t x e e
J ρ = 0 0 L 1 sin θ 1 L 2 sin θ m 1 + θ m 2 L 2 sin θ m 1 + θ m 2
The above optimization problem is equivalently expressed in the standard quadratic form, C(q), where
H = ω t r a c k J h T J h + λ r e g I + λ ε e e T ,   f = ω t r a c k J h T v d e s λ ε k ε θ ε e 1 ,   e 1 = 0 1 0 0 T
ω t r a c k = 1 + 5 e ,   x t = x t y t z t T ,   x e e = x ε y ε z ε T ,   K = d i a g 10 10 8 ,
J h = cos θ b sin θ b 0 ρ sin θ b ρ cos θ b 0 L 1 sin θ m 1 + L 2 sin θ m 1 + θ m 2 cos θ b L 1 sin θ m 1 + L 2 sin θ m 1 + θ m 2 sin θ b L 1 cos θ m 1 + L 2 cos θ m 1 + θ m 2 L 2 sin θ m 1 + θ m 2 cos θ b L 2 sin θ m 1 + θ m 2 sin θ b L 2 cos θ m 1 + θ m 2
The QP problem is solved numerically at every control cycle using the SLSQP (Sequential Least Squares Programming) algorithm, with both the objective function and its analytical gradient supplied explicitly to eliminate numerical differentiation overhead. The solver is configured with a convergence tolerance is 1.0 × 10−8 and a maximum iteration limit of 500. The workspace feasibility is enforced through two layers of constraints that ensure the planar reach rho remains within [ρmin, ρmax] = [0.30, 2.70] m, where ρmax = L1 + L2 − 0.3 provides a boundary margin to prevent chattering near workspace limits, and one-step hard constraints that guarantee ρ(t + ts) within [ρmin, ρmax] at every time step. All numerical computations, including the Jacobian evaluation, QP construction, and SLSQP optimization, are performed using the numerical routines of NumPy and SciPy in a Python 3.10 environment.
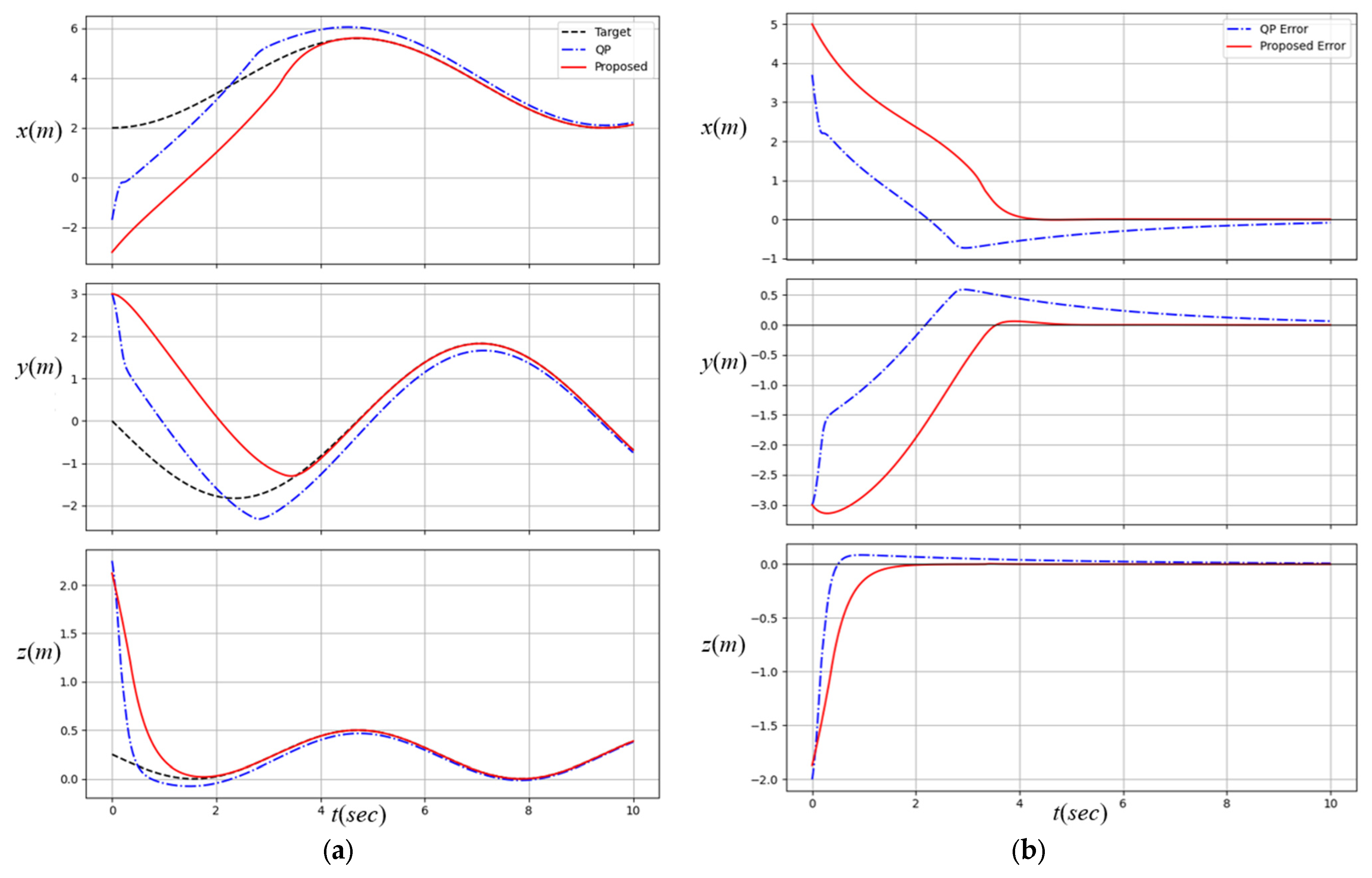
Under the environment specified in Table 2, when the scenario described in Table 3 is executed, the resulting motion and error behaviors are obtained as shown in Figure 5. As shown in Figure 5, the proposed algorithm exhibits rapid reduction of the EE position errors ex, ey, and ez, even under large initial error conditions, compared with the QP-based tracking controller. All axes demonstrate stable convergence within approximately 2 s. In particular, stable convergence is maintained without divergence or oscillation during the initial tracking phase. The error in the z-direction also gradually converges to zero due to the independent proportional control term, and the desired trajectory is maintained without residual error throughout the entire simulation interval. These results indicate that the proposed algorithm guarantees stable error convergence even in a mobile manipulator system characterized by nonlinear kinematic coupling. In addition to the convergence performance shown in Figure 5, the two algorithms also differ in computational time. Figure 6 compares the computational time required by the two methods.
Figure 6 presents a comparison between the proposed algorithm and the QP-based control method in terms of computational time. From the perspective of computation, the difference between the two approaches is more pronounced. For the proposed algorithm, the average computation time per control loop is more than 13 times faster than that of the optimization-based method, and the variation in computation time throughout the entire simulation interval is very small. This improvement is attributed to the reduced control complexity achieved by the proposed framework. In contrast, the QP-based controller must solve an optimization problem at every control cycle, resulting in a larger average computation time and the potential for occasional computation-time spikes in worst-case scenarios. When the computation times shown in Figure 6 are analyzed along the time axis, the statistical results are summarized in Table 4.
From the results in Figure 6 and Table 4, it can be concluded that the proposed algorithm is more suitable for mobile manipulator systems requiring real-time control. In particular, for applications demanding high-frequency control (e.g., above 1 kHz), the proposed method demonstrates clear computational efficiency advantages over the QP-based approach.

6. Conclusions

This paper proposes the EE-driven WBTC algorithm based on linear and angular motion decomposition. The objective is to reduce the high computational complexity inherent in the WBC of high DOF WMM while ensuring stable and accurate 3D trajectory tracking. Conventional optimization-based approaches require solving constrained optimization problems at every control cycle, leading to high computational costs and time variability. In contrast, the proposed method formulates the control problem directly in the EE space, decomposing the required motion into planar linear, vertical, and angular components. This allows for the construction of control inputs through explicit kinematic relationships without relying on numerical optimization. Theoretical analysis confirms that this framework guarantees exponential convergence of both position and orientation errors. Redundancy between the mobile base and the manipulator is resolved through a control authority switching algorithm combined with a blending function, rather than weighted optimization. By defining the switching condition relative to a representative point of the workspace—rather than its boundary—the overall structure is simplified, and abrupt control transitions are effectively prevented.
Numerical simulations validate the performance and contributions of the proposed algorithm. In 3D trajectory tracking scenarios, errors in all axes decreased rapidly without oscillation, demonstrating superior stability. Compared to QP-based controllers, the proposed method showed faster error reduction during the transient phase and maintained precise tracking without residual steady state errors. The distinction in computational efficiency is even more pronounced. The proposed algorithm reduced average computation time per control loop by more than 13 times compared to the QP-based approach, while maintaining minimal time variation. While QP-based controllers suffer from high computational burdens and potential time spikes, the proposed method’s efficiency is particularly critical for practical applications requiring high-frequency control (above 1 kHz). By decomposing the total DOF of the WMM, this paper offers a new control paradigm that lowers control difficulty and confirms the fundamental feasibility of WBTC.
However, for real-world deployment where disturbances and uncertainties exist, further research is needed in the following areas. Regarding disturbance compensation, the proposed kinematic-based framework does not explicitly account for dynamic uncertainties such as payload variations, friction, and inertia changes; the integration of adaptive or online data-driven compensation techniques is required to maintain tracking performance under such conditions. Regarding fault detection, actuator faults including wheel slip and joint performance degradation may occur during prolonged operation, necessitating fault-tolerant control strategies that can detect and accommodate such faults without compromising stability. Regarding collision avoidance, the current framework does not incorporate obstacle avoidance capabilities; in cluttered or dynamic environments, the integration of real-time collision avoidance with the proposed control authority switching mechanism is essential to ensure safe operation.
In conclusion, the proposed EE-driven WBTC method significantly reduces computational complexity compared to previous approaches while maintaining stable and accurate tracking. These results demonstrate that the proposed method is a practical and viable framework with strong real time applicability for mobile manipulator systems.

Author Contributions

Conceptualization, J.-W.K.; methodology, J.-W.K.; software, T.U. and J.-H.P.; validation, T.U. and J.H.H.; formal analysis, T.U.; investigation, T.U.; resources, T.U.; data curation, J.L.; writing—original draft preparation, J.-W.K.; writing—review and editing, J.-W.K.; visualization, J.L.; supervision, J.-W.K.; project administration, T.U.; funding acquisition, T.U. All authors have read and agreed to the published version of the manuscript. Finally, all authors have read and agreed to the published version of the manuscript.

Funding

This work was supported by Institute for Information & communications Technology Promotion (IITP) grant funded by the Korea government (MSIP) (2022-0-01010, Development of an intelligent manufacturing logistics system based on autonomous transport mobile manipulation).

Institutional Review Board Statement

Not applicable.

Informed Consent Statement

Not applicable.

Data Availability Statement

The original contributions presented in the study are included in the article. Further inquiries can be directed to the corresponding author.

Conflicts of Interest

The authors declare no conflicts of interest.

References

  1. Ghodsian, N.; Benfriha, K.; Olabi, A.; Gopinath, V.; Arnou, A. Mobile manipulators in industry 4.0: A review of developments for industrial applications. Sensors 2023, 23, 8026. [Google Scholar] [CrossRef] [PubMed]
  2. Seraji, H. A unified approach to motion control of mobile manipulators. Int. J. Robot. Res. 1998, 17, 107–118. [Google Scholar] [CrossRef]
  3. Outón, J.L.; Villaverde, I.; Herrero, H.; Esnaola, U.; Sierra, B. Innovative mobile manipulator solution for modern flexible manufacturing processes. Sensors 2019, 19, 5414. [Google Scholar] [CrossRef] [PubMed]
  4. Zhang, J.; Shan, L.; Ma, E.; Chen, P.; Wang, W. Manipulability-guided MPC with repulsive potential fields for mobile manipulator whole-body control. In Proceedings of the 4th Conference on Fully Actuated System Theory and Applications, Nanjing, China, 4–6 July 2025. [Google Scholar]
  5. Kindle, J.; Furrer, F.; Novkovic, T.; Chung, J.J.; Siegwart, R.; Nieto, J. Whole-body control of a mobile manipulator using end-to-end reinforcement learning. In Proceedings of the 2020 IEEE/RSJ International Conference on Intelligent Robots and Systems (IROS), Las Vegas, NV, USA, 25–29 October 2020. [Google Scholar]
  6. Yuan, W.; Liu, Y.-H.; Su, C.-Y.; Zhao, F. Whole-body control of an autonomous mobile manipulator using model predictive control and adaptive fuzzy technique. IEEE Trans. Fuzzy Syst. 2023, 31, 799–809. [Google Scholar] [CrossRef]
  7. Wang, Y.; Chen, R.; Zhao, M. Whole-body model predictive control for mobile manipulation with task priority transition. In Proceedings of the 2025 IEEE International Conference on Robotics and Automation (ICRA), Atlanta, GA, USA, 19–23 May 2025. [Google Scholar]
  8. Minniti, M.V.; Grandia, R.; Fäh, K.; Farshidian, F.; Hutter, M. Model Predictive Robot-Environment Interaction Control for Mobile Manipulation Tasks. In Proceedings of the 2021 IEEE International Conference on Robotics and Automation (ICRA), Xi’an, China, 31 May–4 June 2021. [Google Scholar]
  9. Pankert, J.; Hutter, M. Perceptive model predictive control for continuous mobile manipulation. IEEE Robot. Autom. Lett. 2020, 5, 6177–6184. [Google Scholar] [CrossRef]
  10. Misawa, K.; Xu, F.; Sekiguchi, K.; Nonaka, K. Model predictive control for mobile manipulators considering the mobility range and accuracy of each mechanism. Artif. Life Robot. 2022, 27, 855–866. [Google Scholar] [CrossRef]
  11. Sleiman, J.-P.; Farshidian, F.; Minniti, M.V.; Hutter, M. A Unified MPC framework for whole-body dynamic locomotion and manipulation. IEEE Robot. Autom. Lett. 2021, 6, 4688–4695. [Google Scholar] [CrossRef]
  12. Hu, J.; Wang, F.; Li, X.; Qin, Y.; Guo, F.; Jiang, M. Trajectory tracking control for robotic manipulator based on soft actor–critic and generative adversarial imitation learning. Biomimetics 2024, 9, 779. [Google Scholar] [CrossRef] [PubMed]
  13. Wang, C.; Zhang, Q.; Tian, Q.; Sun, Q.; Huang, X. Learning mobile manipulation through deep reinforcement learning. Sensors 2020, 20, 939. [Google Scholar] [CrossRef] [PubMed]
  14. Breyer, M.; Furrer, F.; Novkovic, T.; Siegwart, R.; Nieto, J. Comparing task simplifications to learn closed-loop object picking using deep reinforcement learning. IEEE Robot. Autom. Lett. 2019, 4, 1549–1556. [Google Scholar] [CrossRef]
  15. Fu, Z.; Cheng, X.; Pathak, D. Deep Whole-Body Control: Learning a unified policy for manipulation and locomotion. In Proceedings of the Conference on Robot Learning (CoRL), Auckland, New Zealand, 14–18 December 2022. [Google Scholar]
  16. Zhai, Z.M.; Moradi, M.; Kong, L.W.; Glaz, B.; Haile, M.; Lai, Y.-C. Model-Free Tracking Control of Complex Dynamical Trajectories with Machine Learning. Nat. Commun. 2023, 14, 5698. [Google Scholar] [CrossRef] [PubMed]
  17. Li, M.; Yang, Z.; Zha, F.; Wang, X.; Chen, F. Design and analysis of a whole-body controller for a velocity controlled robot mobile manipulator. Sci. China Inf. Sci. 2020, 63, 170204. [Google Scholar] [CrossRef]
  18. Kim, S.; Jang, K.; Park, S.; Lee, Y.; Lee, S.Y.; Park, J. Whole-body control of non-holonomic mobile manipulator based on hierarchical quadratic programming and continuous task transition. In Proceedings of the IEEE International Conference on Advanced Robotics and Mechatronics (ARM), La Mirada, CA, USA, 3–5 July 2019; IEEE Press: New York, NY, USA, 2019; pp. 414–419. [Google Scholar]
  19. Töpfer, A.T.; Schmidt, M.J.; Müller, J.B.W.; Staudinger, J.; Maier, A.K. Improving data-based trajectory generation by quadratic programming for redundant mobile manipulators. In Proceedings of the 2024 10th International Conference on Automation, Robotics and Applications (ICARA), Dubai, United Arab Emirates, 15–19 July 2024. [Google Scholar]
  20. Guevara, B.S.; Lopez-Lopez, V.E.; Lopez-Flores, R.E.; Flores-Godoy, M.A. Optimal control and dynamic compensation of a mobile manipulator robot. In Proceedings of the 2nd International Conference on Distributed Sensing and Intelligent Systems (ICDSIS), Puebla, Mexico, 30–31 July 2021. [Google Scholar]
  21. Haviland, J.; Sünderhauf, N.; Corke, P. A Holistic approach to reactive mobile manipulation. IEEE Robot. Autom. Lett. 2022, 7, 3122–3129. [Google Scholar] [CrossRef]
  22. Kwon, J.-W.; Chwa, D. Hierarchical formation control based on a vector field method for wheeled mobile robots. IEEE Trans. Robot. 2012, 28, 1335–1345. [Google Scholar] [CrossRef]
  23. Chwa, D. Tracking control of differential-drive wheeled mobile robots using backstepping-like feedback linearization. IEEE Trans. Syst. Man Cybern. Part A Syst. Hum. 2010, 40, 1285–1295. [Google Scholar] [CrossRef]
  24. Kwon, J.-W.; Park, J.-H.; Uhm, T.; Lee, J.; Lee, J.; Choi, Y.-H. Whole-body tele-operation for mobile manipulator based on linear and angular motion decomposition. Appl. Sci. 2026, 16, 712. [Google Scholar] [CrossRef]
Figure 1. Block diagram of the proposed EE-driven WBTC algorithm.
Figure 1. Block diagram of the proposed EE-driven WBTC algorithm.
Electronics 15 01384 g001
Figure 2. The system parameters of the WMM: (a) Overall configuration of the wheeled mobile manipulator and the ρ–z motion representation plane; (b) Kinematic model of the non-holonomic mobile base; (c) Combined planar motion representation of the mobile base and manipulator at the EE level; (d) ρ–z plane kinematic relationship of the manipulator and link geometry for motion decomposition.
Figure 2. The system parameters of the WMM: (a) Overall configuration of the wheeled mobile manipulator and the ρ–z motion representation plane; (b) Kinematic model of the non-holonomic mobile base; (c) Combined planar motion representation of the mobile base and manipulator at the EE level; (d) ρ–z plane kinematic relationship of the manipulator and link geometry for motion decomposition.
Electronics 15 01384 g002
Figure 3. Workspace representation and planar cross-sectional model for control authority switching; (a) Three-dimensional spherical workspace centered at the manipulator base mount and its circular cross-section at the desired height; (b) Planar cross-sectional representation of the workspace and geometric relationship among the base mount, desired position, and EE.
Figure 3. Workspace representation and planar cross-sectional model for control authority switching; (a) Three-dimensional spherical workspace centered at the manipulator base mount and its circular cross-section at the desired height; (b) Planar cross-sectional representation of the workspace and geometric relationship among the base mount, desired position, and EE.
Electronics 15 01384 g003
Figure 4. Radial-function-based control authority switching function with respect to ρt.
Figure 4. Radial-function-based control authority switching function with respect to ρt.
Electronics 15 01384 g004
Figure 5. Three-dimensional trajectory tracking performance and error comparison between the proposed EE-driven WBTC and QP-based control methods (dash: target, dash-dot: QP, line: proposed): (a) Trajectory tracking routes in each axis; (b) Position errors in each axis.
Figure 5. Three-dimensional trajectory tracking performance and error comparison between the proposed EE-driven WBTC and QP-based control methods (dash: target, dash-dot: QP, line: proposed): (a) Trajectory tracking routes in each axis; (b) Position errors in each axis.
Electronics 15 01384 g005
Figure 6. Comparison of computational time per control loop between the QP-based tracking controller and the proposed EE-driven algorithm: (a) Box plot of operation time distribution; (b) Time series of operation time over a 10-s interval.
Figure 6. Comparison of computational time per control loop between the QP-based tracking controller and the proposed EE-driven algorithm: (a) Box plot of operation time distribution; (b) Time series of operation time over a 10-s interval.
Electronics 15 01384 g006
Table 1. System variables.
Table 1. System variables.
ItemDefinitionItemDefinition
ρ–z planeThe local plane aligned with the manipulator link orientation.vεThe horizontal velocity of the EE. (m/s)
(xb, yb, zb)The position of the mobile base. (m, m, m)vεzThe vertical velocity of the EE. (m/s)
(xt, yt, zt)The position of the trajectory. (m, m, m)ωεThe angular velocity of the EE. (rad/s)
θbThe orientation of the mobile base. (rad)(ρm, zm)The position of EE in the ρ–z plane. (m, m)
vbThe linear velocity of the mobile base. (m/s)vρEE’s linear velocity in the ρ direction on the ρz plane. (m/s)
ωbThe angular velocity of the mobile base. (rad/s)vzEE’s vertical velocity in the z direction on the ρz plane. (m/s)
(xε, yε, zε)The position of the EE. (m, m, m)ωmThe angular velocity of the manipulator. (rad/s)
θεThe orientation of the EE. (rad)L1, L2The lengths of each link of the manipulator. (m)
θmThe orientation of the manipulator. (rad)θm1, θm2The joint angles of the manipulator. (rad)
Table 2. Simulation setup and parameter configuration.
Table 2. Simulation setup and parameter configuration.
System
parameters
SWPython 3.10
Operation frequency1 kHz
Numerical integration1st-order Euler method
Inverse kinematics solution selectionElbow down configuration
Link length (upper, lower)1.5 m, 1.5 m
Simulation
parameters
kx6.0Max ρw3.0
ky6.0Blending factor α5.0
kz3.0Blending factor sρw/2
kθ4.5σ6.0
vb (min, max)(−2.5, 2.5) (m/s)ωb (min, max)(−2.5, 2.5) (rad/s)
d(θm1, θm2)/dt (min, max) (−2.5, 2.5) (rad/s)ωm (min, max)(−2.5, 2.5) (rad/s)
Table 3. Simulation scenario details.
Table 3. Simulation scenario details.
Initial state(xb, yb, zb)(−3.0, 3.0, 0.0)
(m, m, m)
(xt, yt, zt)(2.0, 0.0, 0.25)
(m, m, m)
vε0.0 (m/s)vεz0.0 (m/s)
θb0.0 (rad)ωε0.0 (rad/s)
vb0.0 (m/s)vρ0.0 (m/s)
ωb0.0 (rad/s)vz0.0 (m/s)
θε0.0 (rad)ωm0.0 (rad/s)
θm0.0 (rad)L1, L21.5, 1.5 (m)
θm1, θm2π/4, π/2 (rad)
trajectoryvxt1.2 sin (t/1.5) (m/s)
vyt−1.22 cos (t/1.5) (m/s)
vzt−0.25 cos (t) (m/s)
Table 4. The computation time comparison.
Table 4. The computation time comparison.
Mean TimeMax TimeMin Time
Proposed algorithm0.044 (ms)0.47 (ms)0.039 (ms)
QP-based algorithm0.576 (ms)2.85 (ms)0.23 (ms)
Disclaimer/Publisher’s Note: The statements, opinions and data contained in all publications are solely those of the individual author(s) and contributor(s) and not of MDPI and/or the editor(s). MDPI and/or the editor(s) disclaim responsibility for any injury to people or property resulting from any ideas, methods, instructions or products referred to in the content.

Share and Cite

MDPI and ACS Style

Kwon, J.-W.; Uhm, T.; Park, J.-H.; Lee, J.; Hwang, J.H. End Effector Driven Whole Body Trajectory Tracking for Mobile Manipulator Based on Linear and Angular Motion Decomposition. Electronics 2026, 15, 1384. https://doi.org/10.3390/electronics15071384

AMA Style

Kwon J-W, Uhm T, Park J-H, Lee J, Hwang JH. End Effector Driven Whole Body Trajectory Tracking for Mobile Manipulator Based on Linear and Angular Motion Decomposition. Electronics. 2026; 15(7):1384. https://doi.org/10.3390/electronics15071384

Chicago/Turabian Style

Kwon, Ji-Wook, Taeyoung Uhm, Ji-Hyun Park, Jongdeuk Lee, and Jeong Hwan Hwang. 2026. "End Effector Driven Whole Body Trajectory Tracking for Mobile Manipulator Based on Linear and Angular Motion Decomposition" Electronics 15, no. 7: 1384. https://doi.org/10.3390/electronics15071384

APA Style

Kwon, J.-W., Uhm, T., Park, J.-H., Lee, J., & Hwang, J. H. (2026). End Effector Driven Whole Body Trajectory Tracking for Mobile Manipulator Based on Linear and Angular Motion Decomposition. Electronics, 15(7), 1384. https://doi.org/10.3390/electronics15071384

Note that from the first issue of 2016, this journal uses article numbers instead of page numbers. See further details here.

Article Metrics

Back to TopTop