Enhanced Command Filter-Based Adaptive Asymptotic Backstepping Tracking Control and Its Application
Abstract
1. Introduction
- Unlike the traditional command filter used in [16,18,19,44,45], the enhanced command filter is introduced, which guarantees that the filter error is always in a given region. Motivated by the bounded property of the filter error, a smooth virtual stabilizing function is proposed to stabilize the subsystem and solve the problem of the filter error.
2. Preliminaries
3. Adaptive Command-Filtered Backstepping Control
4. Performance Analysis
5. Results and Discussion
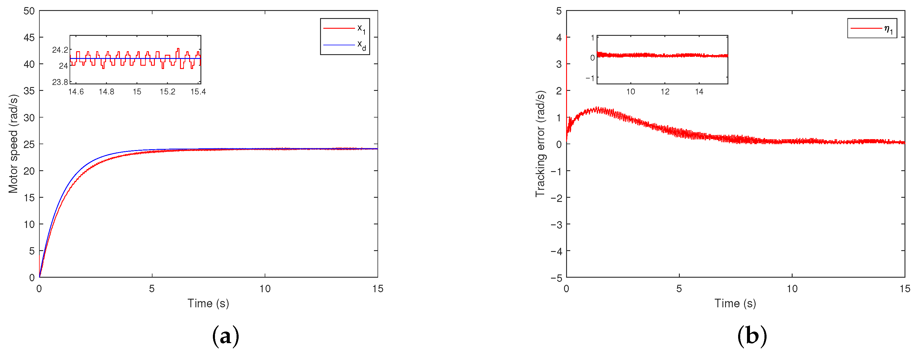
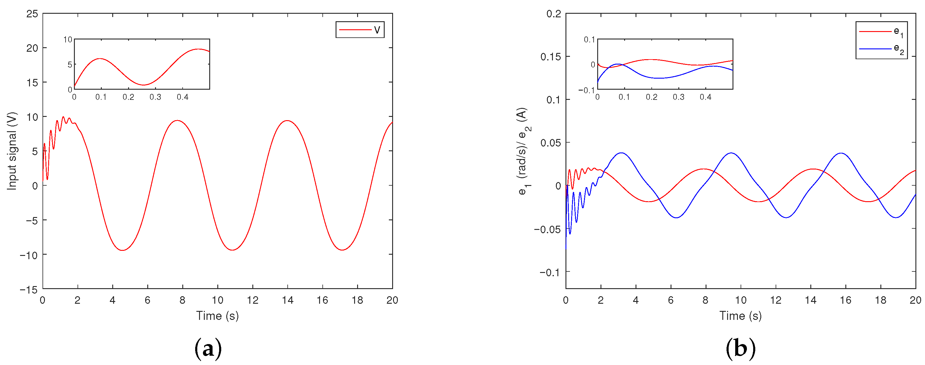
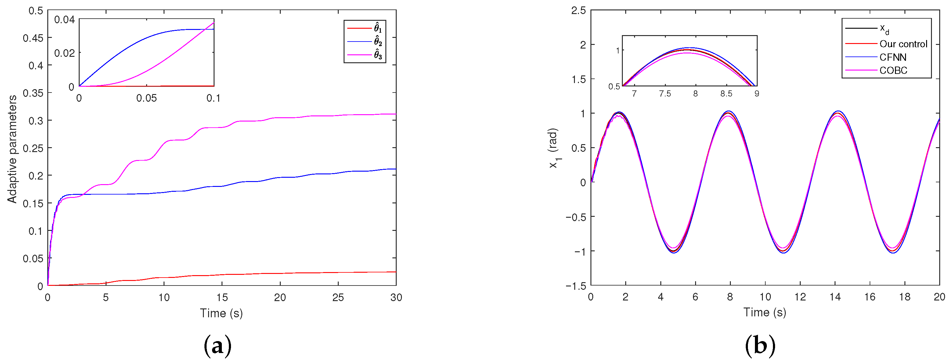
5.1. Simulation Validation
5.2. Experimental Validation
6. Conclusions
Author Contributions
Funding
Institutional Review Board Statement
Informed Consent Statement
Data Availability Statement
Conflicts of Interest
References
- Qiu, J.; Sun, K.; Rudas, I.J.; Gao, H. Command filter-based adaptive NN control for MIMO nonlinear systems with full-state constraints and actuator hysteresis. IEEE Trans. Cybern. 2020, 50, 2905–2915. [Google Scholar] [CrossRef]
- Ma, J.; Wang, J.; Xu, S. Command Filtered Adaptive Asymptotic Tracking Control of Nonlinear Systems with Unknown Control Directions via Logic-Based Switching. IEEE Trans. Autom. Sci. Eng. 2025, 22, 2309–2317. [Google Scholar] [CrossRef]
- Liu, D.; Liu, J.; Chen, X.; Yu, J. Deep Neural Network-Based Adaptive Control for Unmanned Surface Vehicles with Uncertain Dynamics. IEEE Trans. Ind. Electron. 2025, 1–9. [Google Scholar] [CrossRef]
- Cui, G.; Xu, H.; Yu, J.; Lam, H.K. Event-Triggered Distributed Fixed-Time Adaptive Attitude Control with Prescribed Performance for Multiple QUAVs. IEEE Trans. Autom. Sci. Eng. 2024, 21, 4471–4481. [Google Scholar] [CrossRef]
- Liu, J.; Wang, Q.G.; Yu, J. Convex Optimization-Based Adaptive Fuzzy Control for Uncertain Nonlinear Systems with Input Saturation Using Command Filtered Backstepping. IEEE Trans. Fuzzy Syst. 2023, 31, 2086–2091. [Google Scholar] [CrossRef]
- Zhang, W.; Zhao, L. Command Filtered Backstepping Based Finite-Time Adaptive Fuzzy Event-Triggered Control for Unmanned Aerial Vehicle with Full-State Constraints. IEEE Trans. Veh. Technol. 2025, 74, 10162–10174. [Google Scholar] [CrossRef]
- Kong, X.; Xia, Y.; Sun, Z.; Zhai, D.H.; Deng, Y.; Zhang, S. Differential High Order Control Barrier Function-Based Safe Reinforcement Learning. IEEE Rob. Autom. Lett. 2025, 10, 7524–7531. [Google Scholar] [CrossRef]
- Ji, C.; Zhang, Z.; Cheng, G.; Kong, M.; Li, R. Decoupled robust backstepping tracking control for variable stiffness actuated robot with input saturation. ISA Trans. 2025, 156, 109–122. [Google Scholar] [CrossRef] [PubMed]
- Wu, G.; Huang, Z.; Long, Z.; Huang, F.; Wang, M.-h.; Zhang, X. Motor fault diagnosis method based on spiking convolutional neural network with multi-scale decomposition local features. ISA Trans. 2025, 164, 271–283. [Google Scholar] [CrossRef]
- Liu, J.; Dai, B.; Liu, S.; Liu, J.; Li, T. Adaptive Fuzzy Human-in-the-Loop Control for Unmanned Surface Vehicles in Environmental Monitoring Applications. J. Mar. Sci. Eng. 2025, 13, 2270. [Google Scholar] [CrossRef]
- Wei, C.; Liu, J.; Liu, D. Adaptive neural network temperature control for thermoelectric refrigeration systems using online self-learning mechanism. Int. J. Refrig. 2026, 183, 379–390. [Google Scholar] [CrossRef]
- Niu, B.; Liu, Y.; Zong, G.; Han, Z.; Fu, J. Command filter-based adaptive neural tracking controller design for uncertain switched nonlinear output-constrained systems. IEEE Trans. Cybern. 2017, 47, 3160–3171. [Google Scholar] [CrossRef] [PubMed]
- Li, Y.X.; Yang, G.H. Adaptive neural control of pure-feedback nonlinear systems with event-triggered communications. IEEE Trans. Neural Netw. Learn. Syst. 2018, 29, 6242–6251. [Google Scholar] [CrossRef]
- Xi, R.; Shen, Z.; Huang, H.; Zhang, H. Command Filtered Adaptive Tracking Consensus of Random Nonlinear Multi-Agent Systems. IEEE Trans. Autom. Sci. Eng. 2024, 22, 8361–8370. [Google Scholar] [CrossRef]
- Farrell, J.A.; Polycarpou, M.; Sharma, M.; Dong, W. Command Filtered Backstepping. IEEE Trans. Autom. Control 2009, 54, 1391–1395. [Google Scholar] [CrossRef]
- Dong, W.; Farrell, J.A.; Polycarpou, M.M.; Djapic, V.; Sharma, M. Command filtered adaptive backstepping. IEEE Trans. Control Syst. Technol. 2012, 20, 566–580. [Google Scholar] [CrossRef]
- Xia, J.; Li, B.; Su, S.; Sun, W.; Shen, H. Finite-time command filtered event-triggered adaptive fuzzy tracking control for stochastic nonlinear systems. IEEE Trans. Fuzzy Syst. 2021, 29, 1815–1825. [Google Scholar] [CrossRef]
- Homayoun, B.; Arefi, M.M.; Vafamand, N. Robust adaptive backstepping tracking control of stochastic nonlinear systems with unknown input saturation: A command filter approach. Int. J. Robust. Nonlin. 2020, 30, 3296–3313. [Google Scholar] [CrossRef]
- Zheng, X.; Yang, X. Command filter and universal approximator based backstepping control design for strict-feedback nonlinear systems with uncertainty. IEEE Trans. Autom. Control 2020, 65, 1310–1317. [Google Scholar] [CrossRef]
- Qiu, J.; Ma, M.; Wang, T. Event-Triggered Adaptive Fuzzy Fault-Tolerant Control for Stochastic Nonlinear Systems via Command Filtering. IEEE Trans. Syst. Man Cybern. Syst. 2022, 52, 1145–1155. [Google Scholar] [CrossRef]
- Sui, S.; Liu, Z.; Bi, W.; Tong, S.; Chen, C.L.P. Neural Network Filter Quantized Control for a Class of Nonlinear Systems with Input and State Quantization. IEEE Trans. Autom. Sci. Eng. 2024, 21, 5802–5811. [Google Scholar] [CrossRef]
- Dai, K.; Zhu, Z.; Shen, G.; Li, X.; Tang, Y.; Wang, W. Modeling and adaptive tension control of chain transmission system with variable stiffness and random load. IEEE Trans. Ind. Electron. 2022, 69, 8335–8345. [Google Scholar] [CrossRef]
- Long, J.; Yu, D.; Wen, G.; Li, L.; Wang, Z.; Chen, C.L.P. Game-Based Backstepping Design for Strict-Feedback Nonlinear Multi-Agent Systems Based on Reinforcement Learning. IEEE Trans. Neural Netw. Learn. Syst. 2024, 35, 817–830. [Google Scholar] [CrossRef]
- Liu, J.; Wang, Q.G.; Yu, J. Command-Filter-Approximator-Based Adaptive Control for Uncertain Nonlinear Systems and Its Application in PMSMs. IEEE Trans. Syst. Man Cybern. Syst. 2023, 53, 6828–6835. [Google Scholar] [CrossRef]
- van Zanten, S.; Zee, R.A.R.v.d.; Nauta, B. A Capacitive Stacking Mixer-First Receiver with Higher Order Capacitive Feedback. IEEE J. Solid-State Circuits 2025, 60, 3148–3163. [Google Scholar] [CrossRef]
- Barretta, C.; Macher, A.E.; Köntges, M.; Ascencio-Vásquez, J.; Topič, M.; Oreski, G. Effect of Encapsulant Degradation on Photovoltaic Modules Performances Installed in Different Climates. IEEE J. Photovoltaics 2025, 15, 290–296. [Google Scholar] [CrossRef]
- Liu, D.; Liu, J.; Yu, J.; Sun, C. Adaptive neural network-based obstacle avoidance control for USVs with uncertain dynamics. Ocean Eng. 2025, 332, 121390. [Google Scholar] [CrossRef]
- Hu, J.; Zhang, H. Immersion and invariance based command-filtered adaptive backstepping control of VTOL vehicles. Automatica 2013, 49, 2160–2167. [Google Scholar] [CrossRef]
- Ren, S.; Feng, Y.; Wang, H.; Zhu, X.; Sang, C.; Hu, Q. Command filtered backstepping control with nonlinear disturbance observer for multi-posture lower limb rehabilitation robot. J. Vib. Control 2025, 1–18. [Google Scholar] [CrossRef]
- Liu, B.; Liu, J.; Yu, J. Finite-time command-filtered autonomous docking control of underactuated unmanned surface vehicles with obstacle avoidance. ISA Trans. 2025, 164, 116–124. [Google Scholar] [CrossRef] [PubMed]
- Li, Y. Command filter adaptive asymptotic tracking of uncertain nonlinear systems with time-varying parameters and disturbances. IEEE Trans. Autom. Control 2022, 67, 2973–2980. [Google Scholar] [CrossRef]
- Wang, L.; Sun, W.; Su, S.F. Adaptive asymptotic tracking control for nonlinear systems with state constraints and input saturation. Appl. Math. Comput. 2022, 431, 127342. [Google Scholar] [CrossRef]
- Xu, K.; Wang, H.; Liu, P.X. Singularity-Free Adaptive Fixed-Time Tracking Control for MIMO Nonlinear Systems with Dynamic Uncertainties. IEEE Trans. Circuits Syst. II-Express Briefs 2024, 71, 1356–1360. [Google Scholar] [CrossRef]
- Wrat, G.; Bhola, M.; Ranjan, P.; Mishra, S.K.; Das, J. Energy saving and Fuzzy-PID position control of electro-hydraulic system by leakage compensation through proportional flow control valve. ISA Trans. 2020, 101, 269–280. [Google Scholar] [CrossRef]
- Li, Y.; Qu, F.; Tong, S. Observer-Based Fuzzy Adaptive Finite-Time Containment Control of Nonlinear Multiagent Systems with Input Delay. IEEE Trans. Cybern. 2021, 51, 126–137. [Google Scholar] [CrossRef] [PubMed]
- Sun, Y.; Gao, C.; Yang, Y.; Wu, L. High-gain fuzzy observer based quantized input control for uncertain nonlinear systems with sensor and actuator failures. ISA Trans. 2025, 167, 407–418. [Google Scholar] [CrossRef]
- Yu, J.; Zhao, L.; Yu, H.; Lin, C.; Dong, W. Fuzzy finite-time command filtered control of nonlinear systems with input saturation. IEEE Trans. Cybern. 2018, 48, 2378–2387. [Google Scholar] [CrossRef] [PubMed]
- Cui, G.; Yu, J.; Wang, Q.G. Finite-time adaptive fuzzy control for MIMO nonlinear systems with input saturation via improved command-filtered backstepping. IEEE Trans. Syst. Man Cybern. Syst. 2022, 52, 980–989. [Google Scholar] [CrossRef]
- Yu, J.; Shi, P.; Lin, C.; Yu, H. Adaptive neural command filtering control for nonlinear MIMO systems with saturation input and unknown control direction. IEEE Trans. Cybern. 2020, 50, 2536–2545. [Google Scholar] [CrossRef]
- Li, Y.; Li, Z.; Yu, X.; Zheng, X.; Yang, X.; Yang, Y. Attitude Tracking Control for Quadrotors Under Unknown Disturbances Based on Dual-Loop Nonlinear Command Filters. IEEE Trans. Circuits Syst. II Exp. Briefs 2024, 71, 2769–2773. [Google Scholar] [CrossRef]
- Liu, D.; Liu, J.; Sun, C.; Dai, B. Convex Optimization-Based Adaptive Neural Network Control for Unmanned Surface Vehicles Considering Moving Obstacles. J. Mar. Sci. Eng. 2025, 13, 587. [Google Scholar] [CrossRef]
- Li, Y.; Dong, S.; Li, K. Command Filter Adaptive Fuzzy Formation Asymptotic Tracking Control for Nonholonomic Multirobot Systems with Multiple Constraints. IEEE Trans. Syst. Man Cybern. Syst. 2024, 54, 1936–1947. [Google Scholar] [CrossRef]
- Yan, L.; Mo, L.; Liu, Z.; Kao, Y.; Zhu, Q. Adaptive fuzzy finite-time control of robotic manipulator: A command filter-based sliding mode approach. Int. J. Syst. 2025, 1–14. [Google Scholar] [CrossRef]
- Zheng, X.; Yu, X.; Yang, X.; Rodriguez-Andina, J.J. Practical finite-time command-filtered adaptive backstepping with its applications to quadrotor hovers. IEEE Trans. Cybern. 2024, 54, 3017–3029. [Google Scholar] [CrossRef] [PubMed]
- Xu, W.; Liu, J.; Yu, J.; Han, Y. Low complexity adaptive neural network three-dimensional tracking control for autonomous underwater vehicles considering uncertain dynamics. Eng. Appl. Artif. Intell. 2025, 142, 1098A60. [Google Scholar] [CrossRef]
- Jin, X. Adaptive fixed-time control for MIMO nonlinear systems with asymmetric output constraints using universal barrier functions. IEEE Trans. Autom. Control 2019, 64, 3046–3053. [Google Scholar] [CrossRef]
- Li, Y.; Zheng, X.; Li, K. Time-Domain Mapping-Based Adaptive Fuzzy Formation Control of Nonlinear Multi-Agent Systems with Input Saturation. IEEE Trans. Fuzzy Syst. 2024, 32, 1848–1861. [Google Scholar] [CrossRef]
- Yu, J.; Zhao, L.; Yu, H.; Lin, C. Barrier Lyapunov functions-based command filtered output feedback control for full-state constrained nonlinear systems. Automatica 2019, 105, 71–79. [Google Scholar] [CrossRef]
- Niu, S.; Wang, J.; Zhao, J.; Shen, W. Neural network-based finite-time command-filtered adaptive backstepping control of electro-hydraulic servo system with a three-stage valve. ISA Trans. 2024, 144, 419–435. [Google Scholar] [CrossRef]
- Ren, B.; Ge, S.S.; Tee, K.P.; Lee, T.H. Adaptive Neural Control for Output Feedback Nonlinear Systems Using a Barrier Lyapunov Function. IEEE Trans. Neural Netw. 2010, 21, 1339–1345. [Google Scholar] [CrossRef]
- Niu, B.; Yan, B.; Zhao, X.; Zhang, B.; Zhao, T.; Liu, X. Event-Triggered Adaptive Command Filtered Bipartite Finite-Time Tracking Control of Nonlinear Coopetition MASs with Time-Varying Disturbances. IEEE Trans. Autom. Sci. Eng. 2024, 21, 4482–4494. [Google Scholar] [CrossRef]
- Shi, X.N.; Zhou, Z.G.; Zhou, D.; Li, R. Event-Triggered Fixed-Time Adaptive Trajectory Tracking for a Class of Uncertain Nonlinear Systems with Input Saturation. IEEE Trans. Circuits Syst. II 2021, 68, 983–987. [Google Scholar] [CrossRef]
- Gao, H.; Wang, J.; Xia, Y.; Zhang, J.; Cui, B. Fixed-Time Neuroadaptive Backstepping Tracking Control for Uncertain Nonlinear Systems with Predictor Based Learning. IEEE Trans. Autom. Sci. Eng. 2025, 22, 3147–3159. [Google Scholar] [CrossRef]
- Li, H.; Li, Z.; Song, F.; Yu, X.; Yang, X.; Rodríguez-Andina, J.J. Finite-Time Fast Adaptive Backstepping Attitude Control for Aerial Manipulators Based on Variable Coupling Disturbance Compensation. IEEE Trans. Ind. Electron. 2024, 71, 14730–14739. [Google Scholar] [CrossRef]
- Xia, Y.; Liu, Y.; Sun, W. Prescribed-time adaptive event-triggered control for robot manipulators based on command filtering. ISA Trans. 2025, 163, 1–8. [Google Scholar] [CrossRef] [PubMed]
- Fang, L.; Shen, H.; Wang, H.; Song, T. A novel prescribed-time H∞ robust backstepping control algorithm of strict-feedback uncertain nonlinear systems based on fuzzy approximation. ISA Trans. 2025, 167, 394–406. [Google Scholar] [CrossRef] [PubMed]
- Xu, K.; Wang, H.; Liu, P.X. Adaptive Fixed-Time Control for High-Order Stochastic Nonlinear Time-Delay Systems: An Improved Lyapunov–Krasovskii Function. IEEE Trans. Cybern. 2024, 54, 776–786. [Google Scholar] [CrossRef]
- Tong, S.; Sun, K.; Sui, S. Observer-Based Adaptive Fuzzy Decentralized Optimal Control Design for Strict-Feedback Nonlinear Large-Scale Systems. IEEE Trans. Fuzzy Syst. 2018, 26, 569–584. [Google Scholar] [CrossRef]
- Han, Y.; Gong, C.; Ma, Z.; Liu, C.; Li, W.; Chen, G. Precise Cumulative Error Calibration With Delay Effects Rejected for Incremental Encoders Used in High-Speed PMSMs. IEEE Trans. Ind. Electron. 2022, 69, 9667–9672. [Google Scholar] [CrossRef]
- Wang, J.Q.; Song, L.; Shen, J.; Yong, B.; Han, X.; Jiang, Y.; Raoufi, M.; Zhou, Q. Physics-informed continuous-time reinforcement learning with data-driven approach for robotic arm manipulation. J. Ind. Inf. Integr. 2026, 49, 101008. [Google Scholar] [CrossRef]
- Bataduwaarachchi, S.D.; Najdovski, Z.; Trinh, H.; Lim, C.P.; Huynh, V.T. Deterministic delay-aware reinforcement learning. Robot. Auton. Syst. 2026, 197, 105271. [Google Scholar] [CrossRef]
- Hazem, Z.B.; Saidi, F.; Guler, N.; Altaif, A.H. A Hybrid Reinforcement Learning Framework Combining TD3 and PID Control for Robust Trajectory Tracking of a 5-DOF Robotic Arm. Automation 2025, 6, 56. [Google Scholar] [CrossRef]
- Xing, X.; Burdet, E.; Si, W.; Yang, C.; Li, Y. Impedance Learning for Human-Guided Robots in Contact with Unknown Environments. IEEE Trans. Robot. 2023, 39, 3705–3721. [Google Scholar] [CrossRef]









| Parameter | CFNN | COBC | OUR CONTROL |
|---|---|---|---|
| MSE () | 0.0326 | 0.0278 | 0.0027 |
| MSE () | 0.0651 | 0.0031 | 0.0124 |
| MSE () | 0.3875 | 0.1613 | 0.0214 |
| 0.22 s | 1.41 s | 0.11 s | |
| 0.0643 | 0.0522 | 0.0543 |
| Parameter | ||||
|---|---|---|---|---|
| o | ||||
Disclaimer/Publisher’s Note: The statements, opinions and data contained in all publications are solely those of the individual author(s) and contributor(s) and not of MDPI and/or the editor(s). MDPI and/or the editor(s) disclaim responsibility for any injury to people or property resulting from any ideas, methods, instructions or products referred to in the content. |
© 2026 by the authors. Licensee MDPI, Basel, Switzerland. This article is an open access article distributed under the terms and conditions of the Creative Commons Attribution (CC BY) license.
Share and Cite
Wang, D.; Liu, J. Enhanced Command Filter-Based Adaptive Asymptotic Backstepping Tracking Control and Its Application. Electronics 2026, 15, 470. https://doi.org/10.3390/electronics15020470
Wang D, Liu J. Enhanced Command Filter-Based Adaptive Asymptotic Backstepping Tracking Control and Its Application. Electronics. 2026; 15(2):470. https://doi.org/10.3390/electronics15020470
Chicago/Turabian StyleWang, Dexu, and Jiapeng Liu. 2026. "Enhanced Command Filter-Based Adaptive Asymptotic Backstepping Tracking Control and Its Application" Electronics 15, no. 2: 470. https://doi.org/10.3390/electronics15020470
APA StyleWang, D., & Liu, J. (2026). Enhanced Command Filter-Based Adaptive Asymptotic Backstepping Tracking Control and Its Application. Electronics, 15(2), 470. https://doi.org/10.3390/electronics15020470

