A Game Theory Model for Network Attack–Defense Strategy Selection in Power Internet of Things
Abstract
1. Introduction
2. Game Theory-Based PIoT Attack–Defense Model
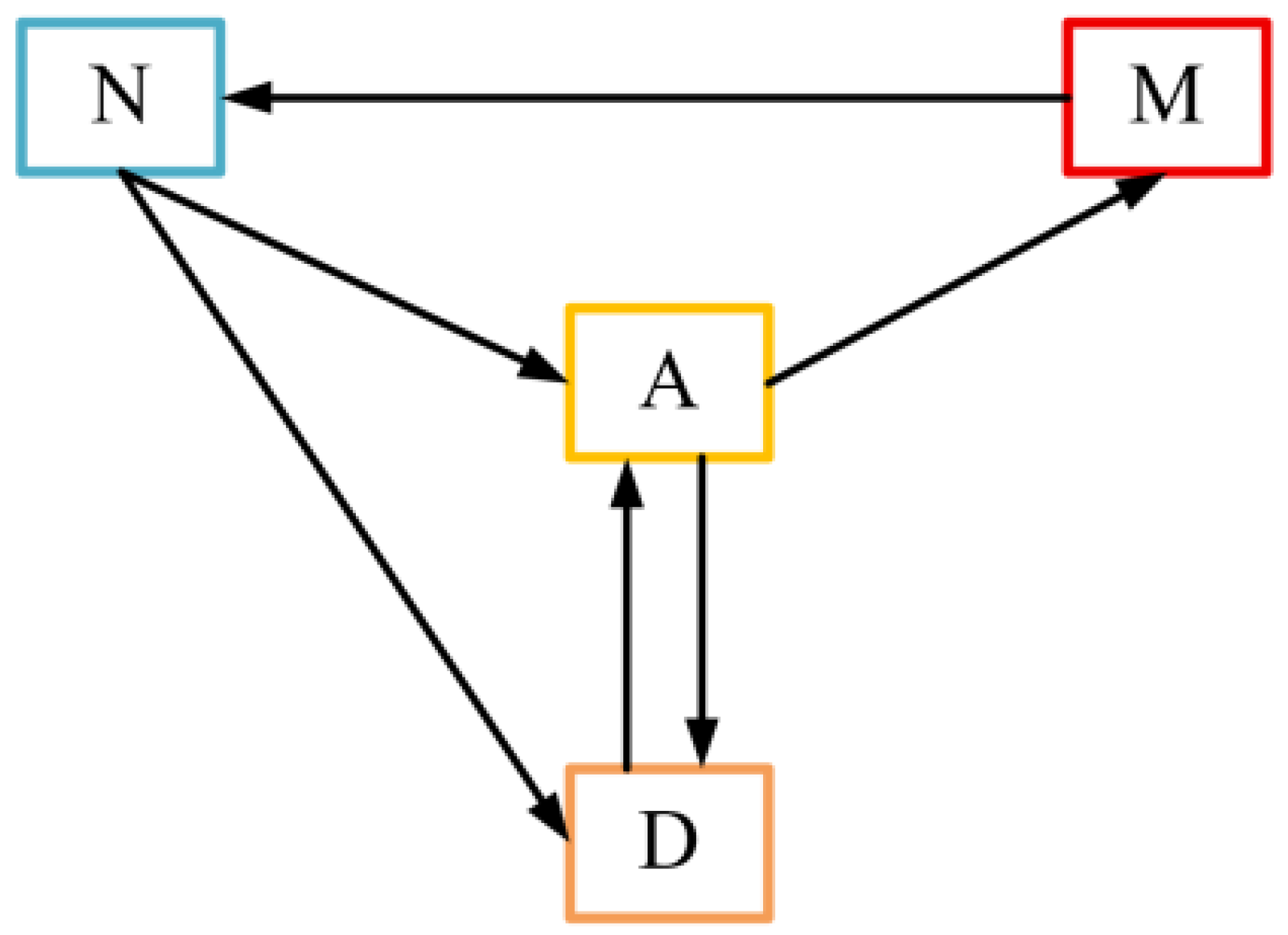
2.1. Network Model and Network States
2.2. Network State Transition Relationships
2.3. Network Evolution
2.4. Game Model
3. Optimal Network Decision Analysis
4. Simulation Result
5. Conclusions and Future Research Directions
Author Contributions
Funding
Data Availability Statement
Conflicts of Interest
Abbreviations
| Symbol | Description |
| The competitive intensity invested by attacker on specific IoT devices at time t | |
| The competitive intensity invested by defender on specific IoT devices at time t | |
| N | Normal state |
| D | Defense state |
| A | Attack state |
| M | Malfunction state |
| Transition probability | |
| G | attack–defense game model |
| The average competitive intensity injected by the attacker | |
| The average competitive intensity injected by the defender | |
| C | The strategy execution cost |
| U | The utility function |
References
- Abir, S.A.A.; Anwar, A.; Choi, J.; Kayes, A. Iot-enabled smart energy grid: Applications and challenges. IEEE Access 2021, 9, 50961–50981. [Google Scholar] [CrossRef]
- Liu, Y.; Ning, P.; Reiter, M.K. False data injection attacks against state estimation in electric power grids. ACM Trans. Inf. Syst. Secur. 2011, 14, 13. [Google Scholar] [CrossRef]
- Hatziargyriou, N.; Milanovic, J.; Rahmann, C.; Ajjarapu, V.; Canizares, C.; Erlich, I.; Hill, D.; Hiskens, I.; Kamwa, I.; Pal, B.; et al. Definition and classification of power system stability–revisited & extended. IEEE Trans. Power Syst. 2020, 36, 3271–3281. [Google Scholar]
- Zhang, H.; Liu, B.; Wu, H. Smart grid cyber-physical attack and defense: A review. IEEE Access 2021, 9, 29641–29659. [Google Scholar] [CrossRef]
- He, H.; Yan, J. Cyber-physical attacks and defences in the smart grid: A survey. IET Cyber-Phys. Syst. Theory Appl. 2016, 1, 13–27. [Google Scholar] [CrossRef]
- Hahn, A.; Ashok, A.; Sridhar, S.; Govindarasu, M. Cyber-physical security testbeds: Architecture, application, and evaluation for smart grid. IEEE Trans. Smart Grid 2013, 4, 847–855. [Google Scholar] [CrossRef]
- Chen, M.; Zhang, Y.; Li, Y.; Mao, S.; Leung, V.C. EMC: Emotion-aware mobile cloud computing in 5G. IEEE Netw. 2015, 29, 32–38. [Google Scholar] [CrossRef]
- Miorandi, D.; Sicari, S.; De Pellegrini, F.; Chlamtac, I. Internet of things: Vision, applications and research challenges. Ad Hoc Netw. 2012, 10, 1497–1516. [Google Scholar] [CrossRef]
- Zhou, Z.; Wang, B.; Dong, M.; Ota, K. Secure and efficient vehicle-to-grid energy trading in cyber physical systems: Integration of blockchain and edge computing. IEEE Trans. Syst. Man Cybern. Syst. 2019, 50, 43–57. [Google Scholar] [CrossRef]
- Kong, X.; Xu, Y.; Jiao, Z.; Dong, D.; Yuan, X.; Li, S. Fault location technology for power system based on information about the power internet of things. IEEE Trans. Ind. Inform. 2019, 16, 6682–6692. [Google Scholar] [CrossRef]
- Qin, P.; Zhao, H.; Fu, Y.; Geng, S.; Chen, Z.; Zhou, H.; Zhao, X. Energy-efficient resource allocation for space–air–ground integrated industrial power Internet of Things network. IEEE Trans. Ind. Inform. 2023, 20, 5274–5284. [Google Scholar] [CrossRef]
- Fang, X.; Misra, S.; Xue, G.; Yang, D. Smart grid—The new and improved power grid: A survey. IEEE Commun. Surv. Tutor. 2011, 14, 944–980. [Google Scholar] [CrossRef]
- Bakare, M.S.; Abdulkarim, A.; Zeeshan, M.; Shuaibu, A.N. A comprehensive overview on demand side energy management towards smart grids: Challenges, solutions, and future direction. Energy Inform. 2023, 6, 4. [Google Scholar] [CrossRef]
- Wang, W.; Lu, Z. Cyber security in the smart grid: Survey and challenges. Comput. Netw. 2013, 57, 1344–1371. [Google Scholar] [CrossRef]
- Ghasempour, A. Internet of things in smart grid: Architecture, applications, services, key technologies, and challenges. Inventions 2019, 4, 22. [Google Scholar] [CrossRef]
- Hossain, M.M.; Peng, C. Cyber–physical security for on-going smart grid initiatives: A survey. IET Cyber-Phys. Syst. Theory Appl. 2020, 5, 233–244. [Google Scholar] [CrossRef]
- Zhang, X.; Chen, L.; Fan, J.; Wang, X.; Qi, W. Power IoT security protection architecture based on zero trust framework. In Proceedings of the 2021 IEEE 5th International Conference on Cryptography, Security and Privacy (CSP), Zhuhai, China, 8–10 January 2021; pp. 166–170. [Google Scholar]
- Choi, C.; Choi, J. Ontology-based security context reasoning for power IoT-cloud security service. IEEE Access 2019, 7, 110510–110517. [Google Scholar] [CrossRef]
- Guo, Y.; Gong, Y.; Njilla, L.L.; Kamhoua, C.A. A stochastic game approach to cyber-physical security with applications to smart grid. In Proceedings of the IEEE INFOCOM 2018-IEEE Conference on Computer Communications Workshops (INFOCOM WKSHPS), Honolulu, HI, USA, 15–19 April 2018; pp. 33–38. [Google Scholar]
- Theodorakatos, N.P.; Babu, R.; Moschoudis, A.P. The branch-and-bound algorithm in optimizing mathematical programming models to achieve power grid observability. Axioms 2023, 12, 1040. [Google Scholar] [CrossRef]
- Varghese, A.C.; Shah, H.; Azimian, B.; Pal, A.; Farantatos, E. Deep neural network-based state estimator for transmission system considering practical implementation challenges. J. Mod. Power Syst. Clean Energy 2024, 12, 1810–1822. [Google Scholar] [CrossRef]
- Alexopoulos, T.A.; Korres, G.N.; Manousakis, N.M. Complementarity reformulations for false data injection attacks on PMU-only state estimation. Electr. Power Syst. Res. 2020, 189, 106796. [Google Scholar] [CrossRef]
- Zhang, H.; Jiang, L.V.; Huang, S.; Wang, J.; Zhang, Y. Attack-defense differential game model for network defense strategy selection. IEEE Access 2018, 7, 50618–50629. [Google Scholar] [CrossRef]
- Agah, A.; Das, S.K. Preventing DoS attacks in wireless sensor networks: A repeated game theory approach. Int. J. Netw. Secur. 2007, 5, 145–153. [Google Scholar]
- Wu, H.; Gao, Q.; Tao, X.; Zhang, N.; Chen, D.; Han, Z. Differential game approach for attack-defense strategy analysis in internet of things networks. IEEE Internet Things J. 2021, 9, 10340–10353. [Google Scholar] [CrossRef]
- Bressan, A. Noncooperative differential games. Milan J. Math. 2011, 79, 357–427. [Google Scholar] [CrossRef]








| 0.4 | 0.9 | |
| Initial Probability | 0.1 | 0.9 |
| 0.6 | 0.8 | |
| Initial Probability | 0.25 | 0.75 |
| 0.5 | 0.8 | |
| Initial Probability | 0.6 | 0.9 |
| 0.6 | 0.9 | |
| Initial Probability | 0.2 | 0.8 |
Disclaimer/Publisher’s Note: The statements, opinions and data contained in all publications are solely those of the individual author(s) and contributor(s) and not of MDPI and/or the editor(s). MDPI and/or the editor(s) disclaim responsibility for any injury to people or property resulting from any ideas, methods, instructions or products referred to in the content. |
© 2026 by the authors. Licensee MDPI, Basel, Switzerland. This article is an open access article distributed under the terms and conditions of the Creative Commons Attribution (CC BY) license.
Share and Cite
Liu, D.; Lv, T.; Su, W.; Cong, L.; Wu, D. A Game Theory Model for Network Attack–Defense Strategy Selection in Power Internet of Things. Electronics 2026, 15, 426. https://doi.org/10.3390/electronics15020426
Liu D, Lv T, Su W, Cong L, Wu D. A Game Theory Model for Network Attack–Defense Strategy Selection in Power Internet of Things. Electronics. 2026; 15(2):426. https://doi.org/10.3390/electronics15020426
Chicago/Turabian StyleLiu, Danni, Ting Lv, Weijia Su, Li Cong, and Di Wu. 2026. "A Game Theory Model for Network Attack–Defense Strategy Selection in Power Internet of Things" Electronics 15, no. 2: 426. https://doi.org/10.3390/electronics15020426
APA StyleLiu, D., Lv, T., Su, W., Cong, L., & Wu, D. (2026). A Game Theory Model for Network Attack–Defense Strategy Selection in Power Internet of Things. Electronics, 15(2), 426. https://doi.org/10.3390/electronics15020426
