Digitally Adjustable Laser Diode Driver Circuit with 9 ps Resolution
Abstract
1. Introduction
2. Operating Condition of the Gain-Switched Laser Diode
3. Existing Driving Methods
Review of the Available Commercial Units
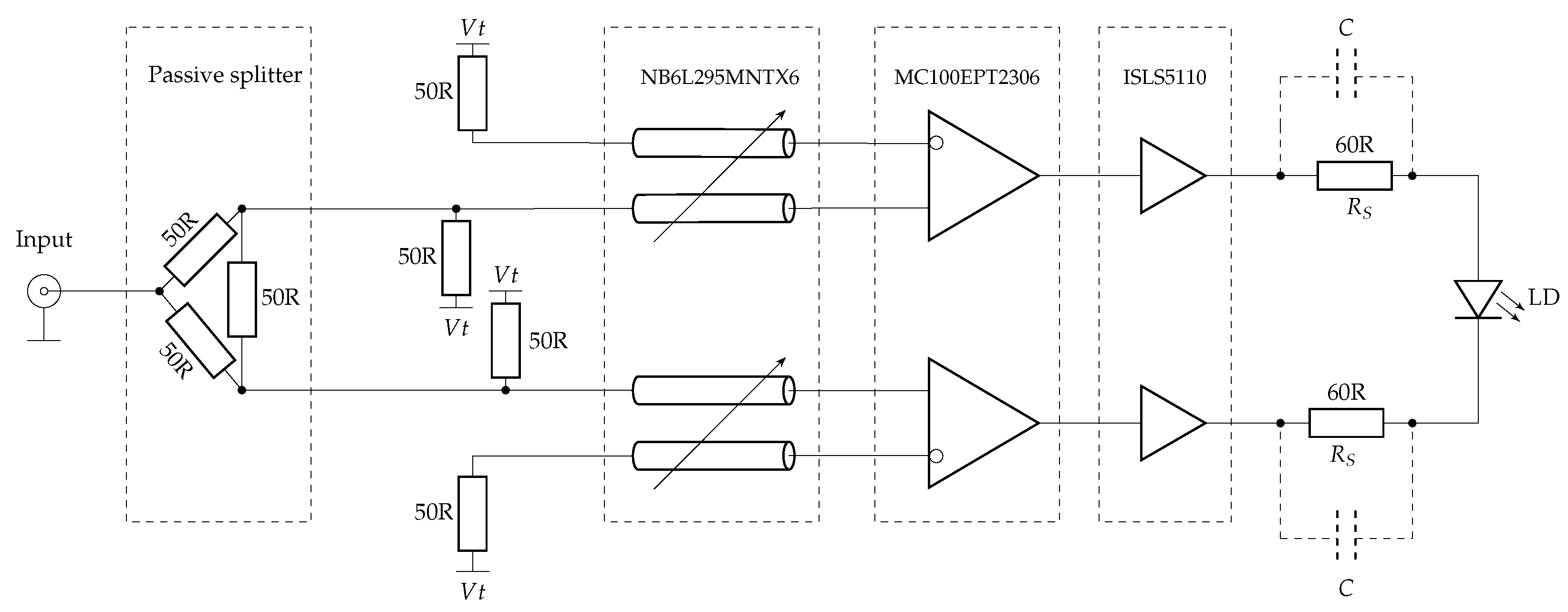
4. Proposed Solution
5. Experimental Results
- Pulse timing and amplitude jitter;
- Pulse timing dependence on repetition rate;
- Pulse properties dependence on supply voltage;
- Pulse timing dependence on control word.
5.1. Standard Deviation of Parameters
5.2. Repetition Rate Dependence
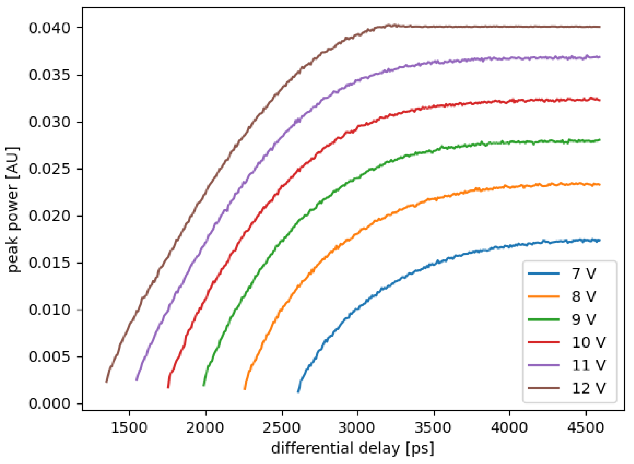
5.3. Supply Voltage Dependence
5.4. Control Word Dependence
6. Conclusions
Author Contributions
Funding
Data Availability Statement
Acknowledgments
Conflicts of Interest
References
- Moehring, D.L.; Blinov, B.B.; Gidley, D.W.; Kohn, R.N.; Madsen, M.J.; Sanderson, T.D.; Vallery, R.S.; Monroe, C. Precision lifetime measurements of a single trapped ion with ultrafast laser pulses. Phys. Rev. A 2006, 73, 023413. [Google Scholar] [CrossRef]
- Halip, H.; Yoshimura, Y.; Inami, W.; Kawata, Y. Ultrashort laser based two-photon phase-resolved fluorescence lifetime measurement method. Methods Appl. Fluoresc. 2020, 8, 025003. [Google Scholar] [CrossRef]
- Kumar, S.; Kamali, T.; Levitte, J.M.; Katz, O.; Hermann, B.; Werkmeister, R.; Považay, B.; Drexler, W.; Unterhuber, A.; Silberberg, Y. Single-pulse CARS based multimodal nonlinear optical microscope for bioimaging. Opt. Express 2015, 23, 13082–13098. [Google Scholar] [CrossRef]
- Campagnola, P.J.; de Wei, M.; Lewis, A.; Loew, L.M. High-Resolution Nonlinear Optical Imaging of Live Cells by Second Harmonic Generation. Biophys. J. 1999, 77, 3341–3349. [Google Scholar] [CrossRef]
- Reinhold, L.; Stefan, D.; Armin, E.; Lothar, K.; Wilhelm, P.; Weber, H.G. A Tunable Femtosecond Modelocked Semiconductor Laser for Applications in OTDM-Systems. IEICE Trans. Electron. 1998, E81-C, 140–145. [Google Scholar]
- Bimberg, D.; Ketterer, K.; Schöll, E.; Vollmer, H.P. Avalanche generator triggered picosecond light pulses from unbiased V-groove GaAs/GaAlAs LASERS. Physica 1985, 129, 469–472. [Google Scholar] [CrossRef]
- Paulus, P.; Langenhorst, R.; Jäger, D. Generation and Optimum Control of Picosecond Optical Pulses from Gain Switched Semiconductor Lasers. IEEE J. Quantum Electron. 1988, 24, 1519–1523. [Google Scholar] [CrossRef]
- Rosado, A.; Pérez-Serrano, A.; Tijero, J.M.G.; Gutierrez, A.V.; Pesquera, L.; Esquivias, I. Numerical and Experimental Analysis of Optical Frequency Comb Generation in Gain-Switched Semiconductor Lasers. IEEE J. Quantum Electron. 2019, 55, 1–12. [Google Scholar] [CrossRef]
- Hu, Y.; Dubov, M.; Khrushchev, I. Self-seeded gain-switched operation of an InGaN MQW laser diode. In Semiconductor Lasers and Laser Dynamics; Lenstra, D., Morthier, G., Erneux, T., Pessa, M., Eds.; International Society for Optics and Photonics; SPIE: Bellingham, DC, USA, 2004; Volume 5452, pp. 625–627. [Google Scholar] [CrossRef][Green Version]
- Lourtioz, J.-M.; Chusseau, L.; Stelmakh, N. Picosecond and sub-picosecond pulse generation in semiconductor lasers. J. Phys. III Fr. 1992, 2, 1673–1690. [Google Scholar] [CrossRef][Green Version]
- Demokan, M.; Nacaroglu, A. An analysis of gain-switched semiconductor lasers generating pulse-code-modulated light with a high bit rate. IEEE J. Quantum Electron. 1984, 20, 1016–1022. [Google Scholar] [CrossRef]
- Torphammar, P.; Eng, S. Picosecond pulse generation in semiconductor lasers using resonance oscillation. Electron. Lett. 1980, 16, 587–589. [Google Scholar] [CrossRef]
- Nissinen, J.; Kostamovaara, J. A High Repetition Rate CMOS Driver for High-Energy Sub-ns Laser Pulse Generation in SPAD-Based Time-of-Flight Range Finding. Electron. Lett. 2016, 16, 1628–1633. [Google Scholar] [CrossRef]
- Zhang, C.; Zhang, Y.; Tong, Z.; Zou, H.; Zhang, H.; Zhang, Z.; Lin, G.; Xu, J. Theoretical analysis and experimental demonstration of gain switching for a PPM based UWOC system with picosecond pulses. Opt. Express 2022, 30, 38663–38673. [Google Scholar] [CrossRef]
- Johnson, B.C.; Mooradian, A. Observation of gain compression in a GaAlAs diode laser through a picosecond transmission measurement. Appl. Phys. Lett. 1986, 49, 1628–1633. [Google Scholar] [CrossRef]
- Lopez, A.; Strong, H.N.; McGlothen, K.I.; Hines, D.J.; Baker, R.J. A Compact Avalanche-Transistor-Based Pulse Generator for Transcranial Infrared Light Stimulation (TILS) Experiments. Instruments 2022, 6, 20. [Google Scholar] [CrossRef]
- Bielecki, Z.; Chmielewski, J. application of avalanche effect in transistors for shaping the pulse driving diode laser. Opto-Electron. Rev. 1996, 4, 58–61. [Google Scholar]
- Kilpelä, A.; Kostamovaara, J. Laser pulser for a time-of-flight laser radar. Rev. Sci. Instrum. 1997, 68, 2253–2258. [Google Scholar] [CrossRef]
- Biernat, A.; Korapa, G. Generation of high-power picosecond laser pulses. In Proceedings of the Gallium Arsenide Applications Symposium, Amsterdam, The Netherlands, 5–6 October 1998. [Google Scholar]
- Rai, V.N.; Shukla, M.; Pant, H.C. Generation of picosecond optical pulses from single heterostructure GaAs diode laser and their emission characteristics. Pramana 1995, 45, 439–451. [Google Scholar] [CrossRef]
- semiconductor, R. Laser Diode Drive Circuit Design Method and Spice Model. Available online: https://fscdn.rohm.com/en/products/databook/applinote/opto/laser_diode/high_power/ld_for_lidar_spice_an-e.pdf (accessed on 1 December 2025).
- Tajfar, A.; Zamprogno, M.; Villa, F.; Zappa, F. A 20 A Sub-Nanosecond Integrated CMOS Laser Diode Driver for High Repetition Rate SPAD-Based Direct Time-of-Flight Measurements. In Proceedings of the 2018 International Conference on Computing, Electronics & Communications Engineering (iCCECE), Southend-on-Sea, UK, 16–17 August 2018; pp. 272–276. [Google Scholar] [CrossRef]
- Wens, M.; Redoute, J.M.; Blanchaert, T.; Bleyaert, N.; Steyaert, M. An integrated 10A, 2.2ns rise-time laser-diode driver for LIDAR applications. In Proceedings of the 2009 Proceedings of ESSCIRC, Athens, Greece, 14–18 September 2009; pp. 144–147. [Google Scholar] [CrossRef]
- Coleman, P.D.; Borchardt, J.J.; Alexander, J.A.; Williams, J.T.; Peters, T.F. Characterization of a synchronous wave nonlinear transmission line. In Proceedings of the 2011 IEEE Pulsed Power Conference, Chicago, IL, USA, 19–23 June 2011; pp. 173–177. [Google Scholar] [CrossRef]
- Torphammar, P.; Tell, R.; Eklund, H.; Johnston, A. Minimizing pattern effects in semiconductor lasers at high rate pulse modulation. IEEE J. Quantum Electron. 1979, 15, 1271–1276. [Google Scholar] [CrossRef]
- Klein, H.J.; Bimberg, D.; Beneking, H.; Kuhl, J.; Göbel, E.O. High peak power picosecond light pulses from a directly modulated semiconductor laser. Appl. Phys. Lett. 1982, 41, 394–396. [Google Scholar] [CrossRef]
- Bimberg, D.; Ketterer, K.; Schöll, E.; Vollmer, H.P. Optical distance meter using a short pulse width laser diode with a fast avalanche photodiode. Physica 1995, 66, 43–47. [Google Scholar] [CrossRef]
- Wada, K.; Kitagawa, N.; Matsukura, S.; Matsuyama, T.; Horinaka, H. Timing and amplitude jitter in a gain-switched multimode semiconductor laser. Jpn. J. Appl. Phys. 2016, 55, 042702. [Google Scholar] [CrossRef]
- Grant, K.J.; Liu, H.F.; Jan, R. Spectral technique for measuring the pulse-width jitter of a gain-switched laser. Opt. Commun. 2002, 213, 183–186. [Google Scholar] [CrossRef]
















| ID | Manufacturer | MPN | Pulse Width [ps] | Repetition Rate [MHz] | Jitter [ps] | Power Efficiency [%] |
|---|---|---|---|---|---|---|
| 1 | ANALOG MODULES, INC. (FL, USA) | Model 767 | 150–750 | 1 | unspecified | 25 |
| 2 | Alphalas (Germany) | ALPHALAS PICOPOWER™-LD Series | 60, 50, 40 | 0–100 | <4 | <0.1 |
| 3 | Thorlabs (NJ, USA) | GSL series | 1–65 | 0.2–200 | 12 | <0.01 |
| 4 | Innolume (Germany) | LDD-14pin-2A-GS | 60 | 0.001–30 | unspecified | 10 |
| 5 | Innolume (Germany) | LDD-14pin-2A-NS | 1n–100n | 0.001–10 | unspecified | 10 |
| 6 | Proposed solution | 370–2800 * | 0–150 | 4–15 | 20 | |
| Device Type | [ps] | [ps] | Pulse Width [ps] | Trigger Delay [ps] | Amplitude [%] | |
|---|---|---|---|---|---|---|
| green laser diode | 9 | 9.3 | 3.9 | 5.8 | 3.6 | 0.42 |
| 10 | 9.9 | 2.5 | 4.9 | 4.4 | 0.51 | |
| 11 | 6.2 | 2.5 | 4.3 | 4.5 | 0.29 | |
| 12 | 5.6 | 2.0 | 4.8 | 6.3 | 0.26 | |
| red laser diode | 7 | 8.3 | 4.9 | 9.3 | 3.9 | 0.29 |
| 8 | 8.4 | 4.6 | 7.7 | 4.6 | 0.47 | |
| 9 | 11.1 | 17.3 | 15.2 | 18.0 | 0.76 | |
| 10 | 14.6 | 19.7 | 14.8 | 21.7 | 1.04 | |
| 11 | 9.7 | 20.0 | 10.2 | 20.5 | 0.54 | |
| 12 | 12.7 | 18.0 | 9.5 | 20.0 | 0.83 |
Disclaimer/Publisher’s Note: The statements, opinions and data contained in all publications are solely those of the individual author(s) and contributor(s) and not of MDPI and/or the editor(s). MDPI and/or the editor(s) disclaim responsibility for any injury to people or property resulting from any ideas, methods, instructions or products referred to in the content. |
© 2026 by the authors. Licensee MDPI, Basel, Switzerland. This article is an open access article distributed under the terms and conditions of the Creative Commons Attribution (CC BY) license.
Share and Cite
Pietrzak, M.; Porakowski, W.; Zhyhylii, O. Digitally Adjustable Laser Diode Driver Circuit with 9 ps Resolution. Electronics 2026, 15, 210. https://doi.org/10.3390/electronics15010210
Pietrzak M, Porakowski W, Zhyhylii O. Digitally Adjustable Laser Diode Driver Circuit with 9 ps Resolution. Electronics. 2026; 15(1):210. https://doi.org/10.3390/electronics15010210
Chicago/Turabian StylePietrzak, Michał, Wiktor Porakowski, and Oleksandra Zhyhylii. 2026. "Digitally Adjustable Laser Diode Driver Circuit with 9 ps Resolution" Electronics 15, no. 1: 210. https://doi.org/10.3390/electronics15010210
APA StylePietrzak, M., Porakowski, W., & Zhyhylii, O. (2026). Digitally Adjustable Laser Diode Driver Circuit with 9 ps Resolution. Electronics, 15(1), 210. https://doi.org/10.3390/electronics15010210

