Abstract
Metasurfaces, as subwavelength planar structures, offer unprecedented electromagnetic wavefront manipulation capabilities. However, most existing focusing metasurfaces operate in a single polarization mode, support only one focusing function, or rely on complex multi-unit configurations, limiting their versatility in practical applications. This study proposes a dual-polarization multiplexed transmissive focusing metasurface operating at 5.8 GHz. Through theoretical analysis and full-wave simulations, the electromagnetic response of the metasurface unit is systematically investigated. To overcome the limitations of conventional transmissive units, an anisotropic low-profile unit is designed using a hybrid stacking strategy that combines dielectric substrates and an air layer, achieving a compact profile of only 0.16λ. This unit achieves 360° phase modulation with a transmission magnitude exceeding 0.85 while being lightweight and cost-effective. Based on the unit, three metasurface arrays are developed to achieve various focusing functions, including single-point offset focusing, dual-point focusing, and multi-focal energy-controlled focusing, offering over 15% operational bandwidth and maintaining satisfactory performance under a 25° oblique incidence, with respective efficiencies of 35.59%, 25.11%, and 33.42%. This work provides a novel solution for multifunctional focusing applications, expanding the potential of metasurfaces in wireless communication, wireless power transfer, and beyond.
1. Introduction
In recent years, the demand for focusing technology has been steadily increasing across various fields, including millimeter-wave imaging [1], radio frequency identification (RFID) [2], biological applications [3], and wireless power transfer [4], driving research on focusing antennas. Traditional approaches include lens antennas and microstrip array antennas, both of which have notable limitations.
Lens antennas rely on geometric optics for phase compensation, yet they often suffer from fabrication complexity, bulky configurations, and high reflection losses, limiting their practical viability. While advancements such as 3D printing have streamlined manufacturing processes, challenges related to high-profile structures and intricate assembly remain unresolved [5,6,7]. Conversely, microstrip array antennas offer a compact and low-profile alternative but become increasingly cumbersome as the array size expands, particularly at higher frequencies, where the complexity of the feeding network escalates [8,9,10]. Additionally, mutual coupling between feed lines and radiating elements further complicates practical implementations, posing significant design constraints.
Metamaterials, as artificially engineered electromagnetic materials, provide a novel technological pathway for wavefront manipulation due to their unique electromagnetic response properties. As a two-dimensional extension of metamaterials, metasurfaces achieve multi-dimensional control over electromagnetic wave amplitude, phase, and polarization through subwavelength unit design, achieving the expected effect of beamforming, near-field control, and so on, making them a prominent research focus in antenna technology [11,12]. In focusing antenna applications, metasurfaces employ periodic units with tailored phase responses to locally compensate for incident wavefronts, thereby achieving constructive interference at predefined focal points. Depending on their electromagnetic wave interaction mechanism, metasurface-based focusing antennas can be categorized into reflective and transmissive types.
Reflective metasurfaces typically utilize a metal–dielectric–metal sandwich structure to manipulate wavefronts. Chou et al. [13] designed a 2.4 GHz reflective metasurface array for radio frequency identification (RFID) applications, where square patch elements arranged periodically provided phase compensation, enabling effective focusing under feed source illumination. Ma et al. [14] developed a terahertz-band metasurface with cross-shaped resonant elements, achieving a broad phase shift range while maintaining polarization insensitivity by tuning element dimensions. Hou et al. [15] proposed a broadband high-efficiency focusing metasurface to address the limitations of narrowband designs. However, most existing reflective metasurfaces remain restricted to single-focus operation. Notably, Yu et al. [16] introduced a tri-dipole element structure, enabling multi-focal generation via multi-resonance coupling effects. However, this approach only supports specific linear polarization conditions.
Although reflective metasurfaces effectively achieve focusing, an inherent drawback lies in their co-location of the feed source and focal point on the same side. This spatial overlap results in interference between incident and reflected waves, leading to near-field energy loss and efficiency degradation. In contrast, transmissive metasurfaces spatially separate the feed source and focal point on opposite sides, enhancing layout flexibility and eliminating beam-blocking issues. Li et al. [17] proposed a single-layer transmissive circularly polarized metasurface operating at 13 GHz, utilizing geometric phase modulation through element rotation. However, its functional extensibility was limited. In subsequent research, the same group [18] designed a transmissive metasurface with phase continuity in linearly polarized conditions, achieving a broad phase shift range at the cost of increased structural complexity. Cai et al. [19] developed a 10.6 GHz multifunctional metasurface composed of four metallic layers and three dielectric substrates, employing polarization-decoupling techniques to realize independent dual-polarization control for multi-directional focusing.
Despite the advantages of metasurface-based focusing antennas, such as those with a low profile and the elimination of complex feeding networks, transmissive metasurface designs still face notable challenges. First, most existing designs only support single-polarization operation or single functionality, limiting their applicability in multi-polarization scenarios. Second, multifunctional implementations often rely on multi-unit combinations or intricate multi-layered structures, significantly increasing their design complexity and fabrication costs. Addressing these challenges requires innovative design approaches.
In this study, we propose a dual-polarization multiplexing transmissive focusing metasurface operating at 5.8 GHz. Through theoretical derivation and full-wave simulation analysis by the CST Studio Suite 2022, we systematically investigated the performance of transmissive metasurface units. By optimizing key parameters, including the dielectric constant and electrical thickness of the dielectric substrate coupled with hybrid dielectric-air layer stacking, we propose an anisotropic transmissive metasurface unit structure. This design achieves both lightweight characteristics and independent dual-polarization control while maintaining superior transmission performance across varying parametric conditions. Furthermore, the dual-polarization transmissive metasurface constructed from these optimized units enables versatile combinations of focusing functionalities. Remarkably, the metasurface demonstrates robust focusing capabilities under diverse operational scenarios encompassing frequency variations, feed incidence angles, and polarization states of incident waves. These implementations not only fulfill predetermined specifications but also exhibit a high focusing efficiency, significantly expanding the potential application scenarios of metasurfaces.
2. Theory and Analysis
As shown in Figure 1, a two-port network model and scattering matrix representation are established for the single-metal-layer unit:
Figure 1.
Single-metal-layer unit.
By imposing lossless constraints and reciprocal properties, the complex operations can be expanded via Euler’s formula, yielding the following results:
For the unit, this study used the infinite periodic boundary simulation. Full-wave simulations were conducted on six types of topologically reciprocal single-metal-layer units, as illustrated in Figure 2. The results, presented in Figure 3, reveal that regardless of whether the unit is a patch-type or a slot-type structure, the simulated data points strictly adhere to the theoretically predicted circular trajectory, demonstrating a high degree of overlap. This agreement validates the cosine relationship’s independence from the metallic structure.

Figure 2.
Schematic diagram of single-metal-layer unit structure: (a) cross patch unit; (b) square ring patch unit; (c) circle ring patch unit; (d) cross slot unit; (e) square ring slot unit; and (f) circle ring slot unit. Orange represents copper metal, and white represents emptiness. ‘p’ represents the unit period, ‘w’ represents the width of the metal patch or gap, and ‘l’ represents the size of the metal or gap.
Figure 3.
Comparison of theoretical and simulation results for single-metal-layer units: (a) cross patch unit; (b) square ring patch unit; (c) circle ring patch unit; (d) cross slot unit; (e) square ring slot unit; and (f) circle ring slot unit. The red circular arrow indicates the direction in which the metal or gap size “l” increases.
For patch-type units, an increase in the structural parameter l resulted in an increase in the equivalent inductance. Conversely, for slot-type units, an increase in l corresponds to an increase in the equivalent capacitance. Regardless of the metal structure type, increasing the size parameter causes a clockwise shift in the transmission phase response (As indicated by the red circular arrow). Consequently, by altering the unit structure, the range of phase modulation in transmission can be effectively adjusted.
Due to the intrinsic cosine relationship, a single-layer metal unit is unable to achieve full-phase coverage. Under the condition of maintaining a transmission magnitude greater than −1 dB (or −3 dB), the maximum achievable transmission phase modulation range is limited to 54° (or 90°). To overcome this limitation, cascading structures incorporating dielectric substrates are introduced to provide mechanical support and functional enhancement.
With the inclusion of a dielectric substrate, the system can be equivalently modeled as a cascade of metal layers and transmission line segments. The scattering parameters of the dielectric layer can be derived from the transmission line theory as follows:
where Γ represents the reflection coefficient of the equivalent transmission line, and β is the phase constant, given by the following:
From this, it follows that the scattering parameters of the dielectric substrate are determined by its relative dielectric constant εr, electrical thickness d, and wavelength λ.
By introducing the concept of electrical thickness, defined as the product of the physical thickness of the dielectric layer and the phase constant β of the electromagnetic wave propagating within it, the phase delay imposed by the dielectric layer can be described. When βd = nπ/2 (where n is an odd integer), a resonance effect occurs, significantly altering the trajectory radius of the transmission coefficient.
An increase in the dielectric constant εr narrows the phase modulation range, causing the phase response to approach a fixed value for materials with high εr. Through iterative cascading calculations, the transmission coefficients of multilayer unit structures can be obtained.
Taking a cross-shaped patch unit as an example, we examined the influence of the dielectric constant and electrical thickness on unit performance.
The impact of these two parameters on the single-metal-layer plus dielectric-layer unit is depicted in Figure 4 and Figure 5.
Figure 4.
Variation in the transmission coefficient of a single-metal-layer unit with εr (βd = 90°).
Figure 5.
Variation in the transmission coefficient of a single-metal-layer unit with βd (εr = 2.55).
- Dielectric Constant Effect (βd = 90°):
As εr increases, the unit’s transmission phase gradually converges toward 90° while the magnitude of the transmission continues to decrease. An excessively high dielectric constant makes it more difficult to tune the transmission phase by altering the dimensions of the metal unit. As shown by the magenta data points, for a unit composed of a high−εr material, the transmission phase variation is significantly reduced (ranging only from 75° to 115°).
- Electrical Thickness Effect (εr = 2.55):
As βd increases from 0° to 180°, the corresponding trajectory rotates clockwise around the origin in the polar coordinate system, while the radius of the transmission coefficient circle also changes. The theoretical curve reaches its minimum diameter at βd = 90°, resulting in the smallest theoretical maximum transmission magnitude and the narrowest phase modulation range.
The influence of these parameters on dual-metal-layer units is illustrated in Figure 6 and Figure 7. The results once again validate the strong consistency between theoretical calculations and full-wave simulations, with simulation data closely following the theoretical prediction curves.
Figure 6.
Variation in the transmission coefficient of the bimetallic layer unit with εr (βd = 90°).
Figure 7.
Variation in the transmission coefficient of the bimetallic layer unit with βd (εr = 2.55).
- Dielectric Constant Effect (βd = 90°):
As εr increases, maintaining a constant electrical thickness requires reducing the substrate thickness. This decreases the separation between the two metal layers, enhancing the coupling of high-order modes between them. Consequently, deviations arise between simulation results and theoretical predictions, as illustrated by the magenta simulation data points in Figure 6.
- Electrical Thickness Effect (εr = 1):
The transmission coefficient curve displays a peak at the 90° phase point. Around this point, symmetrical changes in electrical thickness led to a decrease in the transmission magnitude along the vertical axis and an increase along the horizontal axis.
When βd is changed to 38° or 142° (that is, 90° ± 52°), the transmission magnitude falls to −1 dB. A further change to 24.5° or 155.5° (that is, 90° ± 65.5°) results in a transmission magnitude of −3 dB, which significantly affects the unit’s overall performance.
The influence of three-metal-layer and four-metal-layer units is illustrated in Figure 8.
Figure 8.
Variation in the transmission coefficient of the multi-metal-layer unit: (a) Three-metal-layer unit with εr (βd = 90°); (b) four-metal-layer unit with εr (βd = 90°); and (c) three-metal-layer unit with βd (εr = 1).
To ensure that the transmission magnitude of a three-metal-layer transmission unit remains above −3 dB across the full 360° phase range, the dielectric constant should be chosen within the range of 2.55 to 4.7. Notably, when εr = 2.55, the transmission magnitude remains above −1 dB, making it the optimal dielectric choice for achieving full-phase coverage. However, even for a three-metal-layer structure, the transmission magnitude still falls below −1 dB over a 60° phase range.
By adopting a four-metal-layer structure with a dielectric constant of εr = 2.55, the transmission phase coverage can be further extended to nearly 360°, fulfilling the design requirements. Different values of βd also affect the overall transmission performance of the unit, as illustrated in Figure 8c.
Table 1.
Transmission phase range of metal units with different layers (fixed electrical thickness).
Table 2.
Transmission phase range of metal units with different layers (fixed dielectric constant).
3. Design of Metasurface Units
For a single-layer metallic unit, if its phase shift can cover a transmission phase range of 180° ± 40°, exceeding 80° in total, then the multilayer stacked unit composed of this structure and the dielectric substrate can achieve a transmission phase regulation range close to the theoretical limit [20]. Based on theoretical calculations and simulation analyses from previous sections, a unit structure with a metallic cross topology inspired by the design of units with an outer metallic frame has been optimized and designed, as shown in Figure 9c. The structural parameters of the three designs are summarized in Table 3. It is worth noting that reducing the unit period size p enhances the precision of electromagnetic wave manipulation but further narrows the phase regulation range.
Figure 9.
Design process of the metal-layer topology structure: (a) Structure A; (b) Structure B; and (c) Structure C. Orange represents copper metal, and white represents emptiness. ‘p’ represents the unit period, ‘w’ represents the width of the metal patch or gap, ‘l’ represents the size of the metal or gap, ‘a’ represents the width of the outer metal frame, and ‘b’ represents the distance between the outer metal frame and the cell boundary.
Table 3.
Geometric parameters of the three structures.
Upon comparing the transmission phase curves of the three structures depicted in Figure 10, Structure C was found to meet the requirement of covering the 180° ± 40° phase shift range (140°~220°) and demonstrate superior phase control capabilities across the length l variation range. Given its compliance with the design criteria, Structure C was selected for further metasurface array development.
Figure 10.
Transmission phase curves corresponding to the three structures.
A single-layer metallic structure can only achieve a limited phase shift range of less than 180°. Consequently, multilayer structures are commonly used to expand the phase shift range required by the design. From the comparative analysis presented earlier, adopting a structure with three dielectric layers and four metallic layers effectively meets the phase shift requirements while maintaining a high transmission amplitude. The overall unit structure is illustrated in Figure 11. This design consists of four identical cross-shaped copper metal patches (conductivity S = 5.8 × 107 V/m; thickness t = 0.035 mm) and dielectric substrates made of F4B (εr = 2.55; loss tangent tanδ = 0.002; and height d = 3 mm).
Figure 11.
Geometric model of the transmit array unit with three dielectric substrates. Orange represents copper metal, and baby blue represents dielectric substrate. ‘p’ represents the unit period, ‘w’ represents the width of the metal patch or gap, ‘l’ represents the size of the metal or gap, ‘a’ represents the width of the outer metal frame, ‘b’ represents the distance between the outer metal frame and the cell boundary, and ‘d’ represents the thickness of the dielectric substrate.
Compared with multilayer structures where each metallic layer has different shapes and dimensions, using identical structures significantly simplifies the design complexity, reduces the dimensionality of optimization variables, and maintains high transmission efficiency.
The majority of the unit’s weight and profile height are derived from the three dielectric substrates. To decrease the profile’s height and overall mass, an optimized unit structure was designed by substituting one intermediate dielectric layer with an air layer. The improved structure is depicted in Figure 12.
Figure 12.
Geometric model of the transmit array unit with the air layer. ‘p’ represents the unit period, ‘w’ represents the width of the metal patch or gap, ‘l’ represents the size of the metal or gap, ‘a’ represents the width of the outer metal frame, ‘b’ represents the distance between the outer metal frame and the cell boundary, ‘d’ represents the thickness of the dielectric substrate, and ‘h’ represents the height of the air layer.
Full-wave simulations were conducted to analyze the unit’s performance, with the results presented in Figure 13 and Figure 14. The comparison reveals that for both unit structures, the transmission amplitude remains above 0.8 over a wide range of metallic structure length variations l, and the phase regulation range covers 360°. Moreover, the phase shift curve maintains a smooth trend, ensuring that minor manufacturing errors do not introduce significant phase deviations, thereby meeting the design and application requirements. The introduction of the air layer slightly reduces the phase control range for transmission amplitudes above −3 dB from 360° to 345°. However, for amplitudes above −1 dB, the phase shift range significantly increases from 150° to 260°, greatly improving the transmission unit’s regulation performance.
Figure 13.
The transmission coefficient of the transmit array unit with three dielectric substrates: (a) the relationship between the transmission coefficient and unit size l; (b) the transmission coefficient’s relation in the polar coordinate diagram.
Figure 14.
The transmission coefficient of the transmit array unit with the air layer: (a) the relationship between the transmission coefficient and unit size l; (b) the transmission coefficient’s relation in the polar coordinate diagram.
The simulation results confirm that incorporating an air layer effectively reduces the unit’s mass, volume, and profile while preserving transmission performance. Subsequently, the influence of the intermediate air layer height and the dielectric substrate thickness on the unit’s transmission characteristics is investigated. Figure 15 depicts the effect of varying the air layer height while maintaining a constant dielectric substrate thickness of 3 mm. The outcomes suggest that the transmission phase is largely unaffected by the air layer height and continues to span 360°. As the air layer height h increases from 2 mm to 5 mm, the transmission amplitude enhances in specific regions but diminishes in others. Importantly, the impact on the transmission coefficient response is minimal, with only a slight reduction of approximately 0.3 (−2 dB) in the range of [−90°, −30°], indicating that merely reducing h is not enough for significant performance enhancement.
Figure 15.
The transmission coefficient of the transmit array unit with the air layer: (a) d = 3 mm; (b) h = 2 mm.
Figure 15b investigates the impact of different dielectric substrate thicknesses d while maintaining a constant air layer height of 2 mm. The findings suggest that the unit’s transmission phase shift consistently spans 360°. Taking into account both the phase control range and transmission amplitude, the final design opts for a dielectric thickness of d = 3 mm and an air layer height of h = 2 mm, resulting in a total unit thickness of 8.14 mm (0.16λ). This optimized structure not only expands the phase control range for transmission amplitudes above –1 dB but also reduces the mass and profile height of the original structure, effectively meeting the metasurface array requirements for a low profile and cost efficiency.
Due to fabrication tolerances and minor errors, the actual operating frequency of the array and its units may differ from the intended design frequency, which could impact performance. Consequently, broadband characteristics are an essential design consideration. As illustrated in Figure 16, by adjusting the length of the metallic unit l, the unit designed for a center frequency of 5.8 GHz achieves the highest transmission amplitude and the smoothest phase shift at this frequency. Even at 5.3 GHz and 6.2 GHz, the transmission amplitude and phase shift curves remain relatively stable and parallel, indicating excellent broadband characteristics with a relative bandwidth exceeding 15%.
Figure 16.
The transmission coefficient versus size l at different frequencies.
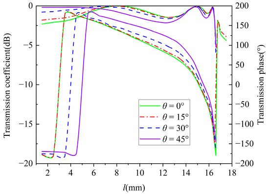
In the design of transmission arrays, the majority of units within the metasurface receive electromagnetic waves at oblique angles rather than normal incidence due to the characteristics of feed radiation. Consequently, analyzing the effect of the incidence angle θ on the transmission performance of these units is essential to guarantee minimal phase deviation at oblique angles. Parameter sweeps were performed for θ ranging from 0° to 45°, in increments of 15°, with the transmission coefficient responses depicted in Figure 17. These findings suggest that for smaller unit structural parameters (l ≤ 5 mm), both amplitude and phase responses remain consistent as the incidence angle varies. When l falls within the range of [7,14] mm, the 45° incidence angle marginally diminishes the transmission amplitude. Interestingly, at θ = 15°, the transmission efficiency improves for all parameter sizes, thereby enhancing the overall performance. Based on these insights, a critical incidence angle of 30° was established as the design threshold. This implies that for engineering applications where the maximum beam tilt angle does not surpass 30°, the incidence wave can be considered normal incidence. This approach simplifies unit parameter design while maintaining design accuracy. The wide-angle stability achieved in this manner improves the overall radiation performance of the array antenna and expands the range of applications involving oblique incidence.
Figure 17.
Transmission coefficient versus size, l, at different incidence angles.
Figure 18 illustrates the transmission amplitude and phase response of the unit under x-polarized and y-polarized excitation at 5.8 GHz as a function of the metallic arm length lx. As lx ranges from 1.5 mm to 16.5 mm, the unit accomplishes a complete 360° phase shift while preserving transmission amplitudes above 0.85. Upon switching to y-polarized incidence while solely adjusting lx, the transmission amplitude stays above 0.97, and the phase shift range is constrained to a narrow 13° fluctuation (136°~149°), signifying minimal mutual influence between x and y polarization responses. This substantiates the unit’s exceptional dual-polarization independent control capability.
Figure 18.
Transmission coefficient versus size l at different polarization directions.
The electromagnetic response characteristics depicted in Figure 19a and Figure 20a reveal that the crossed cruciform metallic layers exhibit directional selectivity under various polarization excitations. When exposed to x-polarized incident waves, the current surface distribution predominantly aligns with the x-axis of the cruciform structure. The regions of high electric field intensity are concentrated at the tips of the metallic arms, whereas the field distribution perpendicular to the x-axis remains minimal. This behavior suggests the activation of an electric dipole resonance mode along the x-axis. Interestingly, alterations in the structural parameters along the y-axis do not markedly influence the phase control of x-polarized incident waves. This finding is consistent with the numerical simulation results of the transmission coefficient, affirming the anisotropic response of the designed structure. Under y-polarized incident wave excitation, as illustrated in Figure 19b and Figure 20b, the electric field intensity and surface current distribution of the unit exhibit similar results to those under x-polarized excitation.
Figure 19.
The surface current of the metal layer under incident linearly polarized waves: (a) the surface current of the metal layer under incident x-polarized waves; (b) the surface current of the metal layer under incident y-polarized waves. Arrows indicate the direction of surface current.
Figure 20.
The distributions of the electric field of the metal layer under incident linearly polarized waves: (a) the distributions of the electric field of the metal layer under incident x-polarized waves; (b) the distributions of the electric field of the metal layer under incident y-polarized waves.
In conclusion, effective phase control for the corresponding polarization can only be achieved by adjusting the length of the metallic arms in the same direction as the incident wave’s electric field.
4. Design Process of Metasurfaces
4.1. The Principle and Design Process of Focus
The transmissive metasurface designed in this chapter enables various focusing functionalities. For instance, the schematic diagram of the metasurface focusing system for dual-polarized single-point focusing is depicted in Figure 21. The electromagnetic wave, emitted by the feed source, traverses the transmissive metasurface array and is modulated by the phase compensation provided by each unit. Ultimately, the energy converges at a preset focal point.
Figure 21.
Schematic diagram of focused transmit array antenna. x, y and z represent the coordinate axes of the entire system. Lx and Ly represent the dimensions of the metasurface on the x and y axes. The gray square represents the metasurface units that make up the array, the light blue square represents the central unit of the metasurface, and the red square represents the Sijth metasurface unit. The red dashed arrow is used as an example to illustrate the focusing effect of the Sij metasurface unit.
Beyond the intuitive focal spot parameters such as preset focal position, focal width, and depth of focus, focusing efficiency is commonly employed as a critical metric to evaluate focusing performance. The total system focusing efficiency, η, is defined as the ratio of the focused power within the focal region, P1, to the radiated power of the feed source P0 [16], expressed mathematically as follows:
To achieve precise electromagnetic energy focusing, it is essential to establish an accurate phase compensation function as follows:
where k = 2π/λ is the free-space wavenumber. rf, rij, and rd are the position vectors of the feed, unit Sij, and preset focal point, respectively. φ0 is the reference transmission phase, which represents the transmission phase value of the metasurface center unit in this paper. This function corrects the geometric phase difference from the radiation source to each unit in the array and compensates for the phase delay from each unit to the target’s focal point. In the designed transmissive metasurface focusing system, the phase center of the feed source is aligned along the z-axis, which is perpendicular to the center of the metasurface array, and the preset focal point position is known. According to Equation (9), the phase compensation for the Sij metasurface unit can be explicitly determined. Consequently, the transmission phase compensation for any unit in the metasurface array can be derived based on the feed position, target focal point, and reference transmission phase of the array center unit.
By utilizing the mapping relationship between the transmission phase and unit structural parameters (as illustrated in Figure 18), the corresponding metallic arm dimensions lx and ly of each unit in the metasurface array can be inversely mapped, thereby determining the physical and structural distribution of the entire transmissive metasurface array.
The overall design procedure of the transmissive focusing metasurface is as follows:
- Define the focusing requirements, such as the focal type and position;
- Compute the transmission phase compensation for each unit based on the phase compensation equation;
- Perform inverse mapping using the transmission coefficient response curve to obtain the corresponding metallic structure dimensions;
- Construct and simulate the metasurface array model to verify the design performance;
- Conduct experimental testing to evaluate its practical performance;
- This systematic design approach ensures the efficiency and accuracy of transmissive metasurfaces in focusing applications.
4.2. Design of Transmissive Arrays
Utilizing the designed dual-polarized metasurface unit and the focusing principle, it is possible to achieve metasurfaces with various focusing functionalities by exploiting their unique responses to different polarized excitations. An excessive number of units will lead to overly complex calculations and designs, while too few units will result in the insufficient resolution of the metasurface and, thus, affect performance. Therefore, in this section, we present three multifunctional transmissive focusing metasurface arrays, each comprising a 19 × 19 unit layout with a physical size of 380 mm × 380 mm. The primary functionalities of these metasurfaces encompass the following points:
- Dual-polarized single-point focusing;
- Dual-polarized dual-point focusing;
- Energy-controlled focusing with a combination of single- and dual-focus modes.
- Dual-Polarized Single-Point Focusing Metasurface
The first metasurface (MS1) was designed for dual-polarized single-point focusing, where the two focal points are set at Fx1 (100 mm, 0 mm, 600 mm) and Fx2 (0 mm, 100 mm, 600 mm), corresponding to the transmission responses under x-polarized and y-polarized incident waves, respectively.
Firstly, the necessary phase compensation for each unit is calculated using MATLAB R2021a. The transmission phase distributions for the two single-focus positions under various polarization excitations are depicted in Figure 22.
Figure 22.
Characterization of MS1: (a) phase compensation distribution at x-polarization; (b) phase compensation distribution at y-polarization.
By performing the inverse mapping of the phase compensation distribution, the corresponding metal arm length distribution of the metasurface is obtained, as shown in Figure 23. The final physical structure design of the metasurface array is illustrated in Figure 24. The metasurface operates at 5.8 GHz for both polarization channels, with an aperture size of 7.35λ × 7.35λ.
Figure 23.
Characterization of MS1: (a) actual size distribution at x-polarization; (b) actual size distribution at y-polarization.
Figure 24.
Schematic diagram of MS1 structure.
- 2.
- Dual-Polarized Dual-Point Focusing Metasurface
Following the same design principles and workflow, the second metasurface (MS2) was developed to achieve dual-focus functionality under different polarization excitations. The predefined focal positions are as follows:
- For x-polarized excitation, F2x1 (−60 mm, 0 mm, 560 mm), F2x2 (60 mm, 0 mm, 560 mm);
- For y-polarized excitation, F2y1 (0 mm, 100 mm, 560 mm), F2y2 (0 mm, −100 mm, 560 mm).
- 3.
- Energy-Controlled Focused Metasurfaces with Single- and Dual-Focus Modes.
The third metasurface (MS3) is designed to achieve unequal power distribution among focal points under different polarization conditions. The predefined focal positions are as follows:
- For x-polarized excitation, F3x (0 mm, 0 mm, 560 mm);
- For y-polarized excitation, F3y1 (−100 mm, 0 mm, 560 mm), F3y2 (100 mm, 0 mm, 560 mm).
The phase compensation requirements for various metasurfaces under different polarization excitations are illustrated in Figure 25. By applying the inverse mapping process, the corresponding metal dimensions are obtained, as shown in Figure 26.
Figure 25.
Phase compensation distribution of metasurfaces: (a) MS2 (x-polarization); (b) MS2 (y-polarization); (c) MS3 (x-polarization); and (d) MS3 (y-polarization).
Figure 26.
Actual size distribution of metasurfaces: (a) MS2 (x-polarization); (b) MS2 (y-polarization); (c) MS3 (x-polarization); and (d) MS3 (y-polarization).
The final constructed array dimensions for all three metasurfaces are 390 mm × 390 mm, as depicted in Figure 27.
Figure 27.
Schematic diagram of metasurface structures: (a) MS1 structure; (b) MS2 structure.
5. Simulation Results
To validate the performance of the designed dual-polarization single-focus metasurface, full-wave simulations were conducted through electromagnetic simulation software. For the metasurface array, this study used the open boundary simulation. The electric field intensity distributions are illustrated in Figure 28, which presents the focusing performance of the metasurface under x-polarized incident waves (corresponding to a horn feed orientation of 0°). A distinct single-focus phenomenon was observed, with the maximum electric field intensity along the z-axis appearing at approximately 600 mm from the metasurface plane, which corresponds to 5.8λ, which aligns well with the predetermined focal plane distance.
Figure 28.
Electric field distributions of MS1: (a) XOY plane (z = 600 mm; x-polarization); (b) YOZ plane (x = 100 mm; x-polarization); (c) XOY plane (z = 600 mm; y-polarization); and (d) XOZ plane (y = –100 mm; y-polarization).
Figure 28a,b depict the electric field intensity distributions on the focal plane and the central axial plane, respectively. The focal spot is centered at the designated focal plane position of (100 mm, 100 mm), with a focal width of 46 mm and a focal depth of 190 mm. In this study, the focal width and focal depth are defined as the width and depth of the focal point where the maximum electric field intensity drops by 3 dB in the transverse and axial directions, respectively. Similarly, Figure 28c,d illustrate the focusing performance under y-polarized incident waves (corresponding to a horn feed rotation of 90°). A comparable single-focus phenomenon is observed, with the focal point symmetrically positioned relative to that of the x-polarized case. The focal point center is located at (−100 mm, −100 mm), with a focal width of 51 mm and a focal depth of 192 mm. The sidelobe level in both polarization cases is about −4dB; that is, the main radiation intensity is still distributed on the main lobe, which can transmit energy better. The transmission focusing efficiency under dual-polarized incidence is calculated based on the defined formula, yielding a value of 35.59%. The simulation results confirm that the proposed metasurface effectively achieves independent polarization-controlled focusing, demonstrating a well-defined single-focus effect.
In the initial metasurface design, two focal points were symmetrically distributed around the center point, generated under x- and y-polarized excitations and corresponding to horn feed rotations of 0° and 90°, respectively. Given the significant spatial separation between the two focal points, an additional case with a horn feed rotation of 45° was explored to illustrate the response under the simultaneous excitation of both polarizations. In practical applications, switching between x- and y-polarized incident waves can be easily accomplished by rotating the horn feed by 90°, allowing for focal point switching without the need for structural changes to the metasurface. This greatly enhances the flexibility of single-focus operation.
As illustrated in Figure 29, the electric field distributions on the same focal plane are compared for horn feed rotations of 0°, 45°, and 90°. When the horn feed is at 0°, as depicted in Figure 29a, the focal point is located at (100 mm, 100 mm), corresponding to x-polarized excitation. At a 90° rotation, as shown in Figure 29c, the focal point shifts to (−100 mm, −100 mm) under y-polarized excitation. For the 45° case, as depicted in Figure 29b, where both x- and y-polarized waves are simultaneously excited, two focal points appear with approximately equal intensity despite being slightly lower than those in the single-polarization cases. These results suggest that by adjusting the horn feed orientation, the incident wave state can be altered, thereby controlling the focal point positions. Furthermore, the number of focal points can be switched between one and two, demonstrating the metasurface’s ability for flexible focal point manipulation beyond single-focus operation.
Figure 29.
Electric field distributions of MS1 with different feed rotation angles: (a) 0°; (b) 45°; and (c) 90°.
Furthermore, the frequency-dependent performance of the metasurface under y-polarized incidence can be analyzed through full-wave simulations at various frequencies. As depicted in Figure 30, the focusing characteristics are assessed at 5.3 GHz, 5.8 GHz, and 6.2 GHz, with all field intensity distributions normalized to the same maximum value for direct comparison. Compared to the central frequency of 5.8 GHz, the electric field intensity shows varying degrees of attenuation at 5.3 GHz and 6.2 GHz. Moreover, the focal point shifts axially within the range of 500 mm to 640 mm as the frequency varies. The sidelobe level remains below −4 dB, indicating a robust focusing performance. In this study, the operational bandwidth of the metasurface is defined by the −3 dB criterion relative to the peak field intensity, resulting in a bandwidth that exceeds the 5.3 GHz to 6.2 GHz range (15%).
Figure 30.
Electric field distributions of MS1 (y-polarization) with different frequencies: (a) 5.3 GHz; (b) 5.8 GHz; and (c) 6.2 GHz.
Finally, the metasurface’s performance under oblique incidence is investigated through full-wave simulations for x-polarized incident waves at different tilt angles. Figure 31 illustrates the electric field distributions for feed tilt angles of 0°, 15°, and 25°. The results indicate that at a 15° tilt angle, the peak field intensity remains relatively stable, whereas at a 25° tilt angle, the peak intensity decreases by 3 dB. This suggests that the metasurface maintains an effective focusing capability without requiring structural modifications when the incidence angle is within 25°. These findings validate the robustness of the proposed metasurface under varying incidence angles, demonstrating its adaptability to practical deployment scenarios.
Figure 31.
Electric field distributions of MS1 (x-polarization) with different feed tilt angles: (a) 0°; (b) 15°; and (c) 25°.
Beyond the previously discussed method of generating two simultaneous focal points via dual-polarized waves through horn rotation, it is also possible to achieve this focusing function using a single-polarized incident wave. Given that single-point focusing may not meet the requirements of certain application scenarios, a second metasurface can be designed to achieve multi-focal functionality under dual-polarized excitation. Specifically, the metasurface is engineered to generate two focal points simultaneously under x- and y-polarized incident waves at predefined focusing positions.
As shown in Figure 32, under x-polarized incidence, the metasurface forms two focal points at the designed focal plane positioned 560 mm from the metasurface. Figure 32a,b indicate that the two focal spots are symmetrically distributed at (−60 mm, 0 mm) and (60 mm, 0 mm), which is consistent with the preset positions. The focal spot width is 42 mm, the focal depth is approximately 180 mm, and the majority of the focal plane’s energy is concentrated at the two focal points, achieving a focusing efficiency of 23.85%.
Figure 32.
Electric field distributions of MS2: (a) XOY plane (z = 560 mm; x-polarization); (b) XOZ plane (y = 0 mm; x-polarization); (c) XOY plane (z = 560 mm; y-polarization); and (d) YOZ plane (x = 0 mm; y-polarization).
When the polarization of the incident wave is switched to the y-direction, Figure 32c,d distinctly illustrate the formation of two symmetric focal points at (0 mm, 100 mm) and (0 mm, −100 mm). The focal spot width is 46 mm; the focal depth is approximately 280 mm; and similarly, the majority of the focal plane energy is concentrated at the two focal points, with a focusing efficiency of 26.37%. The overall calculated focusing efficiency of the metasurface is 25.11%. It is not difficult to see from the simulation results of the second metasurface that the sidelobe levels are lower than −10dB, and the impact on the focusing performance of this study can be basically ignored. In addition, in two different cases of polarization, the energy of the two focal points generated by the metasurface is basically equally distributed, and there is no great difference, so the application of the equal division of focal point energy is realized.
The dual-focus capability of this metasurface negates the necessity for horn rotation to generate dual-polarized excitation; instead, it achieves dual-focal focusing under single-polarized excitation. Furthermore, by employing the same horn rotation technique, it is theoretically possible to generate four focal points, significantly enhancing the functional versatility of the metasurface. Theoretically, under a single polarized wave incidence, preset dual-focal points can be formed at arbitrary positions. Similarly, achieving equal power distribution between the two focal points relies on theoretical calculations. In the current metasurface design, only the position of the focal spots was considered without incorporating power distribution control through feed excitation. Consequently, the phase distribution of the dual-focal points adheres to Equation (9).
Compared to the first metasurface, the second metasurface enhances functionality by increasing the number of focal points but does not support asymmetric power allocation between the different focal spots. However, in many practical applications, energy transmission necessitates further regulation, where different focal points require different amounts of power. To tackle this, the third metasurface was designed to incorporate unequal power distribution capabilities. Building upon Equation (9), phase compensation for the different focal points was augmented with the following energy weighting factors:
where Dm is the electric field amplitude of the target focal point. When forming dual focal points, the power at the focal points can be adjusted by modifying the ratio of Dm.
Under x-polarized excitation, the metasurface maintains the focusing capabilities previously discussed. For simplicity, the metasurface is designed to achieve single-point offset focusing under x-polarized incidence and to enable asymmetric power distribution under y-polarized excitation. The predefined energy ratio is set at 2:1.
As shown in Figure 33, under x-polarized incidence, a single focal point was formed at the focal plane located 560 mm from the metasurface and precisely aligned with the central axis. The focal spot width measured 42 mm, the focal depth was 175 mm, and the focusing efficiency was 40.64%. Under y-polarized incidence, two focal spots with different electric field intensities were generated at the predefined positions. The peak electric field intensity at the focal center located at (100 mm, 0 mm) was 0 dB, while the focal center at (−100 mm, 0 mm) exhibited a peak intensity of approximately −5 dB, corresponding to an intensity ratio of approximately 1:0.56, which closely agreed with the predefined dual-focal energy ratio, and the total focusing efficiency was 26.19%. The overall calculated focusing efficiency of the metasurface was 33.42%. The sidelobe level in the two different polarization cases was at a low level of about −10dB, which did not have much impact on the focusing performance.
Figure 33.
Electric field distributions of MS3: (a) XOY plane (z = 560 mm; x-polarization); (b) XOZ plane (y = 0 mm; x-polarization); and (c) XOY plane (z = 560 mm; y-polarization).
6. Experimental Validation
The designed MS3, a metasurface with a single- and dual-focus combination of unequal power energy distribution focusing characteristics, was manufactured and tested. The 19 × 19 unit metasurface is shown in Figure 34a, and the test experimental device platform of the metasurface is shown in Figure 34b,c. In the experiment, the receiving antenna moved on the XOY focal plane at a fixed step size to record the experimental data.
Figure 34.
Metasurface focusing experiment: (a) physical drawing; (b) experimental device; and (c) experimental platform diagram.
The experimental validation results are shown in Figure 35. Figure 35a shows the simulation and actual measurement results of the normalized power distribution taken along the x-axis (white dashed line) when an x-polarized wave is incident. The measured data in red are in good agreement with the simulation results in blue. The maximum normalized power appears at the center point; that is, the focus of the center and the half-power width reaches 70 mm, showing a good focusing effect. Figure 35b shows the simulation and actual measurement results of the normalized power distribution along the x-axis when the y-polarized wave is incident. The measured data in red are basically consistent with the simulation curve in blue, and there are two peaks, respectively, corresponding to the two focal points of unequal power distribution, reflecting a good focusing effect of the unequal power distribution and the maximum power value ratio of the focus was 1:0.51.
Figure 35.
The normalized power distribution of the full-wave simulation and measurement: (a) x-polarization; (b) y-polarization.
The main errors of the test results come from the machining errors of the metasurface and the influence of the experimental environment, but the overall results show that the designed-focused metasurface with the linear polarization single- and dual-focus combination can achieve the expected focusing function and have good focusing performance.
7. Discussion
This paper proposed the use of a dual-polarization multiplexing transmissive focusing metasurface operating at 5.8 GHz. Through the theoretical derivation and full-wave simulation analysis, we systematically investigated the performance of transmissive metasurface units. By optimizing the dielectric substrate’s dielectric constant and electrical thickness, we designed an anisotropic low-profile metasurface unit. The results indicate that, by adopting a four-layer consistent anisotropic metal patch layer as the core unit and employing the mixed stacking design of a dielectric substrate with a dielectric constant of 2.55 and an electrical thickness of 90° combined with an air layer, the unit can independently control the incident wave under different polarization conditions. The transmission phase modulation range is capable of covering 360°, while the transmission amplitude remains above 0.85. This design significantly reduces the mass, volume, and cost, achieving a low-profile and lightweight design. Moreover, the unit demonstrates a wideband working ability with a 15% bandwidth for the −3 dB transmission amplitude (5.3 GHz~6.2 GHz), maintaining high transmission efficiency within the 45° range of the feed angle.
The dual-polarization metasurface, assembled from the designed units, can achieve multiple focusing functions and combinations. The three metasurfaces designed showed consistent focusing results with the preset focusing positions and functions under x-polarized and y-polarized excitation. Within the 5.3 GHz to 6.2 GHz frequency range, the focusing effect did not show significant deviation, and the focusing performance remained stable within a feed angle range of 25°. This further verifies the excellent transmission performance of the designed units. The three metasurfaces effectively implemented single-point offset focusing, dual-focus focusing, and non-equal power energy distributions between the focal points. The average focusing efficiencies were 35.59%, 25.11%, and 33.42%, respectively, demonstrating excellent focusing performance.
Author Contributions
Conceptualization, J.L.; Data curation, C.G.; Formal analysis, C.G.; Funding acquisition, J.L.; Investigation, C.G.; Methodology, C.G.; Project administration, J.L.; Resources, J.L.; Software, C.G.; Supervision, J.L.; Validation, C.G.; Visualization, C.G.; Writing—Original draft, C.G.; Writing—Review and Editing, C.G. All authors have read and agreed to the published version of the manuscript.
Funding
This research received no external funding.
Data Availability Statement
The original contributions presented in this study are included in the article. Further inquiries can be directed to the corresponding author.
Conflicts of Interest
The authors declare no conflict of interest.
References
- Mobashsher, A.T.; Abbosh, A.M. Performance of directional and omnidirectional antennas in wideband head imaging. IEEE Antennas Wirel. Propag. Lett. 2016, 15, 1618–1621. [Google Scholar] [CrossRef]
- Sharma, A.; Zuazola, I.J.G.; Batchelor, J.C.; Perallos, A. Dual purpose near-and far-field UHF RFID coil antenna with non-uniformly distributed-turns. IEEE Antennas Wirel. Propag. Lett. 2015, 14, 1342–1345. [Google Scholar] [CrossRef]
- Le-Huu, H.; Bui, G.T.; Seo, C. Efficient compact radiative near-field wireless power transfer to miniature biomedical implants. IEEE Antennas Wirel. Propag. Lett. 2023, 22, 2803–2807. [Google Scholar] [CrossRef]
- Gowda, V.R.; Yurduseven, O.; Lipworth, G.; Zupan, T.; Reynolds, M.S.; Smith, D.R. Wireless power transfer in the radiative near field. IEEE Antennas Wirel. Propag. Lett. 2016, 15, 1865–1868. [Google Scholar] [CrossRef]
- Bor, J.; Clauzier, S.; Lafond, O.; Himdi, M. 60 GHz foam-based antenna for near-field focusing. Electron. Lett. 2014, 50, 571–572. [Google Scholar] [CrossRef]
- Liu, S.; Lin, X.; Jia, X.; Ping, P. A near field focused lens antenna for wireless power transmission systems. In Proceedings of the 2018 IEEE Asia-Pacific Conference on Antennas and Propagation (APCAP), Auckland, New Zealand, 5–8 August 2018; pp. 313–315. [Google Scholar]
- Markovich, H.; Filonov, D.; Shishkin, I.; Ginzburg, P. Bifocal Fresnel lens based on the polarization-sensitive metasurface. IEEE Trans. Antennas Propag. 2018, 66, 2650–2654. [Google Scholar] [CrossRef]
- Shan, L.; Geyi, W. Optimal design of focused antenna arrays. IEEE Trans. Antennas Propag. 2014, 62, 5565–5571. [Google Scholar] [CrossRef]
- Chou, H.T.; Lee, M.Y.; Yu, C.T. Subsystem of phased array antennas with adaptive beam steering in the near-field RFID applications. IEEE Antennas Wirel. Propag. Lett. 2015, 14, 1746–1749. [Google Scholar] [CrossRef]
- Li, P.F.; Qu, S.W.; Yang, S.; Liu, Y.A.; Xue, Q. Near-field focused array antenna with frequency-tunable focal distance. IEEE Trans. Antennas Propag. 2018, 66, 3401–3410. [Google Scholar] [CrossRef]
- Battaglia, G.M.; Bellizzi, G.G.; Morabito, A.F.; Sorbello, G.; Isernia, T. A general effective approach to the synthesis of shaped beams for arbitrary fixed-geometry arrays. J. Electromagn. Waves Appl. 2019, 33, 2404–2422. [Google Scholar] [CrossRef]
- Battaglia, G.M.; Isernia, T.; Palmeri, R.; Maisto, M.A.; Solimene, R.; Morabito, A.F. Near-Field Synthesis of 1-D Shaped Patterns through Spectral Factorization and Minimally-Redundant Array-Like Representations. IEEE Trans. Antennas Propag. 2025. [Google Scholar] [CrossRef]
- Chou, H.T.; Hung, T.M.; Wang, N.N.; Chou, H.H.; Tung, C.; Nepa, P. Design of a near-field focused reflectarray antenna for 2.4 GHz RFID reader applications. IEEE Trans. Antennas Propag. 2010, 59, 1013–1018. [Google Scholar] [CrossRef]
- Ma, W.; Jia, D.; Yu, X.; Feng, Y.; Zhao, Y. Reflective gradient metasurfaces for polarization-independent light focusing at normal or oblique incidence. Appl. Phys. Lett. 2016, 108, 071111. [Google Scholar] [CrossRef]
- Hou, H.S.; Wang, G.M.; Li, H.P.; Guo, W.L.; Li, T.J.; Cai, T. Single-layer broadband planar antenna using ultrathin high-efficiency focusing metasurfaces. Chin. Phys. B 2017, 26, 057701. [Google Scholar] [CrossRef]
- Yu, S.; Liu, H.; Li, L. Design of near-field focused metasurface for high-efficient wireless power transfer with multifocus characteristics. IEEE Trans. Ind. Electron. 2018, 66, 3993–4002. [Google Scholar] [CrossRef]
- Li, T.; Liang, J. Single-layer transparent focusing metasurface and its application to high gain circularly polarized lens antenna. In Proceedings of the 2016 IEEE International Workshop on Electromagnetics: Applications and Student Innovation Competition (iWEM), Nanjing, China, 16–18 May 2016; pp. 1–3. [Google Scholar]
- Li, H.; Wang, G.; Liang, J.; Gao, X.; Hou, H.; Jia, X. Single-layer focusing gradient metasurface for ultrathin planar lens antenna application. IEEE Trans. Antennas Propag. 2016, 65, 1452–1457. [Google Scholar] [CrossRef]
- Cai, T.; Wang, G.; Tang, S.; Xu, H.; Duan, J.; Guo, H.; Guan, F.; Sun, S.; He, Q.; Zhou, L. High-efficiency and full-space manipulation of electromagnetic wave fronts with metasurfaces. Phys. Rev. Appl. 2017, 8, 034033. [Google Scholar] [CrossRef]
- Luo, J.; Yang, F.; Xu, S.; Li, M.; Gu, S. A high gain broadband transmitarray antenna using dual-resonant E-shaped element. Microw. Opt. Technol. Lett. 2018, 60, 1531–1536. [Google Scholar] [CrossRef]
Disclaimer/Publisher’s Note: The statements, opinions and data contained in all publications are solely those of the individual author(s) and contributor(s) and not of MDPI and/or the editor(s). MDPI and/or the editor(s) disclaim responsibility for any injury to people or property resulting from any ideas, methods, instructions or products referred to in the content. |
© 2025 by the authors. Licensee MDPI, Basel, Switzerland. This article is an open access article distributed under the terms and conditions of the Creative Commons Attribution (CC BY) license (https://creativecommons.org/licenses/by/4.0/).