Day-Ahead Optimal Scheduling for a Full-Scale PV–Energy Storage Microgrid: From Simulation to Experimental Validation
Abstract
1. Introduction
2. Problem Formulation
- From 0:00 to 8:00, the energy storage batteries are charged at a constant power rate until they reach their maximum state of charge (SOC).
- From 8:00 to 14:00, the energy storage batteries remain inactive. During this period, the PV power generation and the main power grid jointly supply the load demand, with any surplus PV power being sold back to the main grid.
- From 14:00 to 24:00, the energy storage batteries and the PV power generation work together to supply the load demand until the SOC of the energy storage batteries decreases to its minimum threshold.
2.1. Objective Function
2.2. Constraints
2.2.1. System Active Power Balance Constraints
2.2.2. Limitations on PV Power
2.2.3. Safety Requirements for Grid Exchange Power
2.2.4. Operational Constraints for Energy Storage Batteries
2.3. LSTM Neural Network-Based Prediction Model
3. Solution Strategy
- Input the historical data of PV power generation and load demand into the model, based on historical operation under various weather conditions.
- Utilize the LSTM neural network to perform day-ahead predictions of PV power generation and load demand for the microgrid under various weather conditions.
- Establish the day-ahead optimal scheduling model, as described by Equation (1) to (9), with the objective of maximizing economic efficiency based on the predicted data.
- Process the nonlinear variables in the model and transform it into a MILP problem to facilitate subsequent solutions, according to Equations (24) and (25).
- Solve the day-ahead optimal scheduling model of the microgrid in MATLAB using the Gurobi solver.
- Formulate specific time-sharing scheduling strategies for the microgrid throughout the day based on the obtained solution, taking into account various weather conditions.
- In the full-scale microgrid system, import the corresponding day-ahead scheduling strategies, tailored to the identified weather conditions, into the EMS to control the operation of the microgrid and collect field experimental data.
- Compare the field experimental data with historical operational data to assess the effectiveness of the proposed scheduling strategies.
4. Case Study
4.1. Configuration Parameters
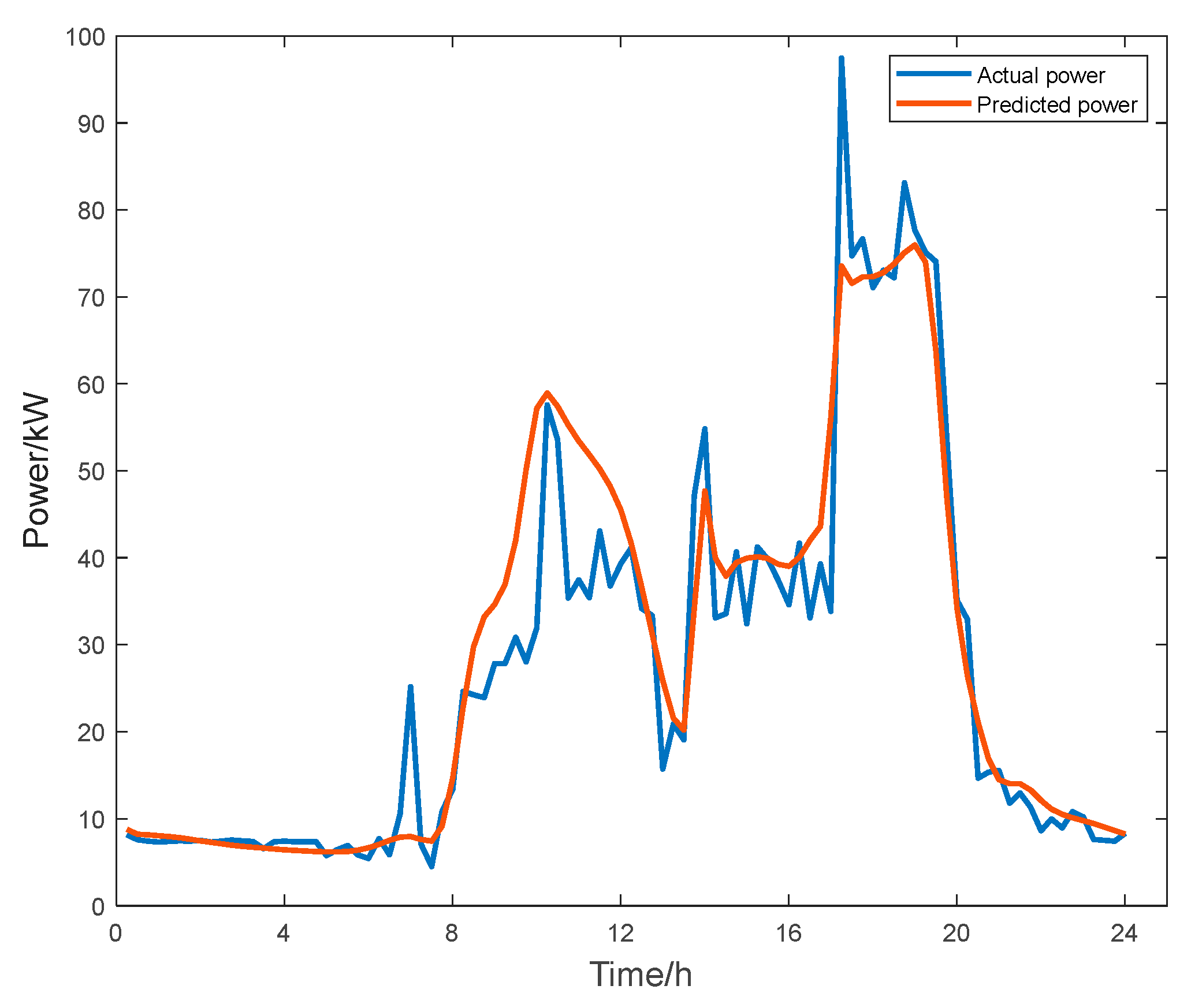
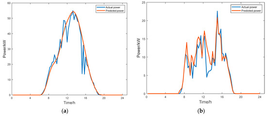
4.2. Forecasting Results for PV Power Generation and Load Demand
4.3. Simulation Analysis
4.3.1. Sunny Day Scenario
4.3.2. Cloudy Day Scenario
5. Experimental Validation
5.1. Experimental Scheme
- From 0:00 to 8:00, the energy storage battery is charged at a designated power level until it reaches the maximum SOC.
- From 8:00 to 15:00, the energy storage battery and PV power jointly supply the system load, with any surplus power from the PV system used to charge the battery.
- From 15:00 to 24:00, the energy storage battery and PV power continue to jointly supply the system load. If power is insufficient, additional power will be sourced from the main grid.
- From 0:00 to 8:00, the energy storage battery is charged at a designated power level until it reaches the maximum SOC.
- From 8:00 to 10:00, the power grid and PV power jointly supply the system load while the energy storage battery remains inactive.
- From 10:00 to 12:00, the energy storage battery and PV power work together to supply the load.
- From 12:00 to 14:00, the main power grid supplies power to the microgrid at its maximum capacity. A portion of this power is utilized to jointly supply the load alongside the PV system, while the remainder charges the energy storage battery.
- From 14:00 to 24:00, the energy storage battery and PV power jointly supply the system load. If additional power is required, it will be sourced from the main grid.
5.2. Experimental Environment
5.3. Field Experimental Results and Comparative Analysis
5.3.1. Field Experiments Under Sunny Day
5.3.2. Field Experiments Under Cloudy Day
- Variability in the accuracy of PV power generation and load demand predictions led to discrepancies between the actual conditions observed during the field experiments and the predicted values, resulting in certain operational errors.
- While the simulation results allow real-time adjustments according to current PV power generation and load demand, the day-ahead scheduling model does not permit changes to the operational strategy in response to real-time monitoring of the current conditions, leading to suboptimal outcomes.
6. Conclusions
Author Contributions
Funding
Data Availability Statement
Acknowledgments
Conflicts of Interest
References
- Zhang, X.; Wang, C.; Xie, K.; Li, Q.; Zhang, N.; Wu, S. Key Issues in the Construction of China’s Green Power Market under the “Carbon Peaking and Carbon Neutrality” Goals. Autom. Electr. Power Syst. 2024, 48, 25–33. (In Chinese) [Google Scholar] [CrossRef]
- Akinyele, D.; Belikov, J.; Levron, Y. Challenges of Microgrids in Remote Communities: A STEEP Model Application. Energies 2018, 11, 432. [Google Scholar] [CrossRef]
- Li, Y.; Zhang, F.; Li, Y.; Wang, Y. An Improved Two-Stage Robust Optimization Model for CCHP-P2G Microgrid System Considering Multi-Energy Operation under Wind Power Outputs Uncertainties. Energy 2021, 223, 120048. [Google Scholar] [CrossRef]
- Wang, W.; Yuan, B.; Sun, Q.; Wennersten, R. Application of Energy Storage in Integrated Energy Systems—A Solution to Fluctuation and Uncertainty of Renewable Energy. J. Energy Storage 2022, 52, 104812. [Google Scholar] [CrossRef]
- Priolkar, J.; ES, S. Distributed Generation and Demand Response Coordination for Optimal Operation of Microgrid Using Modified Elephant Herd Optimization. Electr. Power Compon. Syst. 2024, 1–18. [Google Scholar] [CrossRef]
- Armghan, H.; Xu, Y.; Ali, N.; Farooq, U. Coordination Control in Hybrid Energy Storage Based Microgrids Providing Ancillary Services: A Three-Layer Control Approach. J. Energy Storage 2024, 93, 112221. [Google Scholar] [CrossRef]
- Dini, A.; Hassankashi, A.; Pirouzi, S.; Lehtonen, M.; Arandian, B.; Baziar, A.A. A Flexible-Reliable Operation Optimization Model of the Networked Energy Hubs with Distributed Generations, Energy Storage Systems and Demand Response. Energy 2022, 239, 121923. [Google Scholar] [CrossRef]
- Rawa, M.; Al-Turki, Y.; Sedraoui, K.; Dadfar, S.; Khaki, M. Optimal Operation and Stochastic Scheduling of Renewable Energy of a Microgrid with Optimal Sizing of Battery Energy Storage Considering Cost Reduction. J. Energy Storage 2023, 59, 106475. [Google Scholar] [CrossRef]
- Chakraborty, A.; Ray, S. Economic and Environmental Factors based Multi-Objective Approach for Optimizing Energy Management in a Microgrid. Renew. Energy 2024, 222, 119920. [Google Scholar] [CrossRef]
- Dey, B.; Misra, S.; Marquez FP, G. Microgrid System Energy Management with Demand Response Program for Clean and Economical Operation. Appl. Energy 2023, 334, 120717. [Google Scholar] [CrossRef]
- Sun, L.; Ding, D.; Dong, H.; Yi, X. Distributed Economic Dispatch of Microgrids Based on ADMM Algorithms with Encryption-Decryption Rules. IEEE Trans. Autom. Sci. Eng. 2025, 22, 8427–8438. [Google Scholar] [CrossRef]
- Zhang, H.; Yue, D.; Dou, C.; Hancke, G.P. PBI Based Multi-Objective Optimization via Deep Reinforcement Elite Learning Strategy for Micro-grid Dispatch with Frequency Dynamics. IEEE Trans. Power Syst. 2022, 38, 488–498. [Google Scholar] [CrossRef]
- Zhang, H.; Qin, W.; Han, X.; Wang, P.; Guo, X. Optimization Scheduling Scheme for Energy Management of Microgrid in Multiple Time Scales. Power Syst. Technol. 2017, 41, 1533–1542. (In Chinese) [Google Scholar] [CrossRef]
- Ponnambalam, K.; Quintana, V.; Vannelli, A. A Fast Algorithm for Power System Optimization Problems Using an Interior Point Method. IEEE Trans. Power Syst. 1992, 7, 892–899. [Google Scholar] [CrossRef]
- Zhu, P.; Liu, Z.; Sun, K.; Wang, L.; Hu, P.; Zhu, N.; Jiang, D. Distributed Model Predictive Control Strategy Based on Block-Wised Alternating Direction Multiplier Method for Microgrid Clusters. IET Gener. Transm. Distrib. 2022, 16, 4630–4639. [Google Scholar] [CrossRef]
- Kölsch, L.; Wieninger, K.; Krebs, S.; Hohmann, S. Distributed Frequency and Voltage Control for AC Microgrids Based on Primal-Dual Gradient Dynamics. IFAC PapersOnLine 2020, 53, 12229–12236. [Google Scholar] [CrossRef]
- Huangfu, Y.; Tian, C.; Zhuo, S.; Xu, L.; Li, P.; Quan, S.; Zhang, Y.; Ma, R. An Optimal Energy Management Strategy with Subsection Bi-Objective Optimization Dynamic Programming for Photovoltaic/Battery/Hydrogen Hybrid Energy System. Int. J. Hydrogen Energy 2023, 48, 3154–3170. [Google Scholar] [CrossRef]
- Feng, Y.; Hu, D. Research on Optimal Scheduling of Grid-Connected Microgrid Based on Simulated Annealing Genetic Algorithm. Electr. Eng. Mater. 2022, 183, 75–80. (In Chinese) [Google Scholar] [CrossRef]
- Park, J.-B.; Jeong, Y.-W.; Shin, J.-R.; Lee, K.Y. An Improved Particle Swarm Optimization for Nonconvex Economic Dispatch Problems. IEEE Trans. Power Syst. 2010, 25, 156–166. [Google Scholar] [CrossRef]
- Khatod, D.; Pant, V.; Sharma, J. Evolutionary Programming Based Optimal Placement of Renewable Distributed Generators. IEEE Trans. Power Syst. 2013, 28, 683–695. [Google Scholar] [CrossRef]
- Abdollahzadeh, B.; Gharehchopogh, F.S.; Khodadadi, N.; Mirjalili, S. Mountain Gazelle Optimizer: A New Nature-Inspired Metaheuristic Algorithm for Global Optimization Problems. Adv. Eng. Softw. 2022, 174, 103282. [Google Scholar] [CrossRef]
- Zuo, F.; Zhang, Y.; Zhao, Q.; Sun, L. Two-Stage Stochastic Optimization for Operation Scheduling and Capacity Allocation of Integrated Energy Production Unit Considering Supply and Demand Uncertainty. Proc. CSEE 2022, 42, 8205–8215. (In Chinese) [Google Scholar] [CrossRef]
- Sun, P.; Teng, Y.; Hui, Q.; Chen, Z. Two-Stage Robust Optimal Scheduling Model for Multi-Energy Systems Considering Thermal Inertia Uncertainty. Proc. CSEE 2021, 41, 7249–7260. (In Chinese) [Google Scholar] [CrossRef]
- Aaslid, P.; Korpas, M.; Belsnes, M.M.; Fosso, O.B. Stochastic Optimization of Microgrid Operation with Renewable Generation and Energy Storages. IEEE Trans. Sustain. Energy 2022, 13, 1481–1491. [Google Scholar] [CrossRef]
- Hematian, H.; Askari, M.T.; Ahmadi, M.A.; Sameemoqadam, M.; Nik, M.B. Robust Optimization for Microgrid Management with Compensator, EV, Storage, Demand Response, and Renewable Integration. IEEE Access 2024, 12, 73413–73425. [Google Scholar] [CrossRef]
- Campos, F.; Sousa, T.; Barbosa, R. Short-Term Forecast of Photovoltaic Solar Energy Production Using LSTM. Energies 2024, 17, 2582. [Google Scholar] [CrossRef]
- Shenzhen Climate Bulletin (2023). Shenzhen Special Zone Daily (A08), 29 January 2023. [CrossRef]













| Historical Operating Costs | Operating Costs After Simulation Optimization | Cost Savings | |
|---|---|---|---|
| Sunny day (excluding the months of July and August) | CNY 190.03 | CNY 180.69 | CNY 9.34 |
| Cloudy day (excluding the months of July and August) | CNY 385.69 | CNY 375.07 | CNY 10.62 |
| Sunny day (during the months of July and August) | CNY 192.06 | CNY 182.06 | CNY 10.00 |
| Cloudy day (during the months of July and August) | CNY 394.23 | CNY 376.59 | CNY 17.64 |
| The entire year (estimated) | CNY 77,785.03 | CNY 74,517.41 | CNY 3267.62 |
| Historical Operating Costs | Operating Costs under the Experimental Scheme | Cost Savings | |
|---|---|---|---|
| Sunny day (excluding the months of July and August) | CNY 172.96 | CNY 164.59 | CNY 8.37 |
| Cloudy day (excluding the months of July and August) | CNY 273.86 | CNY 266.88 | CNY 6.98 |
| Sunny day (during the months of July and August) | CNY 174.23 | CNY 166.50 | CNY 7.73 |
| Cloudy day (during the months of July and August) | CNY 278.84 | CNY 268.60 | CNY 10.24 |
| The entire year (estimated) | CNY 63,599.16 | CNY 61,024.79 | CNY 2574.37 |
Disclaimer/Publisher’s Note: The statements, opinions and data contained in all publications are solely those of the individual author(s) and contributor(s) and not of MDPI and/or the editor(s). MDPI and/or the editor(s) disclaim responsibility for any injury to people or property resulting from any ideas, methods, instructions or products referred to in the content. |
© 2025 by the authors. Licensee MDPI, Basel, Switzerland. This article is an open access article distributed under the terms and conditions of the Creative Commons Attribution (CC BY) license (https://creativecommons.org/licenses/by/4.0/).
Share and Cite
Wang, Z.; Shi, L. Day-Ahead Optimal Scheduling for a Full-Scale PV–Energy Storage Microgrid: From Simulation to Experimental Validation. Electronics 2025, 14, 1509. https://doi.org/10.3390/electronics14081509
Wang Z, Shi L. Day-Ahead Optimal Scheduling for a Full-Scale PV–Energy Storage Microgrid: From Simulation to Experimental Validation. Electronics. 2025; 14(8):1509. https://doi.org/10.3390/electronics14081509
Chicago/Turabian StyleWang, Zixuan, and Libao Shi. 2025. "Day-Ahead Optimal Scheduling for a Full-Scale PV–Energy Storage Microgrid: From Simulation to Experimental Validation" Electronics 14, no. 8: 1509. https://doi.org/10.3390/electronics14081509
APA StyleWang, Z., & Shi, L. (2025). Day-Ahead Optimal Scheduling for a Full-Scale PV–Energy Storage Microgrid: From Simulation to Experimental Validation. Electronics, 14(8), 1509. https://doi.org/10.3390/electronics14081509

