A Low-Cost, Wide-Band, High-Gain Mechanically Reconfigurable Multi-Polarization Antenna Based on a 3-D Printed Polarizer
Abstract
1. Introduction
2. Design of Dielectric Polarization Converter Unit
2.1. Working Principle
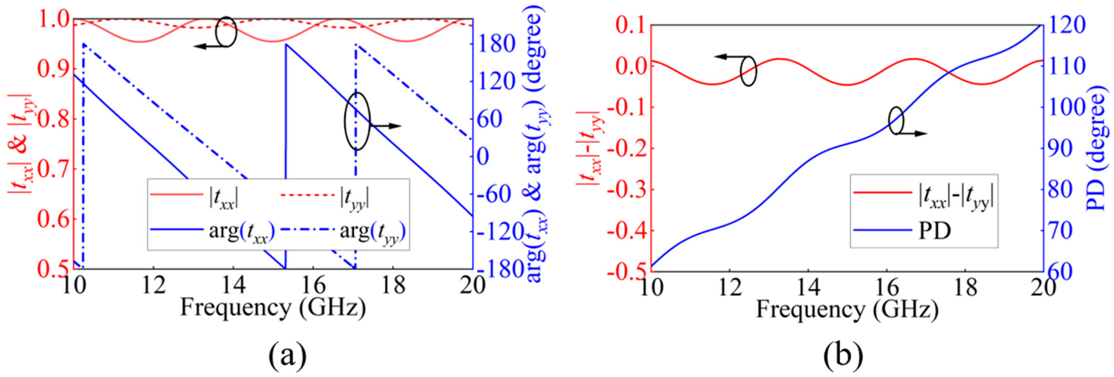
2.2. Dielectric Polarizer Unit Design
3. Multi-Polarization Reconfigurable Antenna Based on Dielectric Polarizer
3.1. Waveguide Antenna with a Dielectric Polarizer
3.2. Horn Antenna with a Dielectric Polarizer
4. Measurement Result
5. Conclusions
Author Contributions
Funding
Data Availability Statement
Conflicts of Interest
References
- Bayer, H.; Krauss, A.; Zaiczek, T.; Stephan, R.; Enge-Rosenblatt, O.; Hein, M.A. Ka-band user terminal antennas for satellite communications. IEEE Antennas Propag. Mag. 2016, 58, 76–88. [Google Scholar] [CrossRef]
- Gao, S.; Sambell, A.; Zhong, S.S. Polarization-agile antennas. IEEE Antennas Propag. Mag. 2006, 48, 28–37. [Google Scholar] [CrossRef]
- Sun, H.; Sun, S. A novel reconfigurable feeding network for quad-polarization-agile antenna design. IEEE Trans. Antennas Propag. 2016, 64, 311–316. [Google Scholar] [CrossRef]
- Zhang, M.; Sun, M.; Fu, X.; An, K.; Chen, A. A wideband quad-polarization-agile antenna with 1 b phase-reconfigurable baluns. IEEE Antennas Wirel. Propag. Lett. 2021, 20, 1671–1675. [Google Scholar] [CrossRef]
- Kang, L.; Li, H.; Tang, B.; Wang, X.; Zhou, J. Quad-polarization-reconfigurable antenna with a compact and switchable feed. IEEE Antennas Wirel. Propag. Lett. 2021, 20, 548–552. [Google Scholar] [CrossRef]
- Row, J.-S.; Wei, Y.-H. Wideband reconfigurable crossed-dipole antenna with quad-polarization diversity. IEEE Trans. Antennas Propag. 2018, 66, 2090–2094. [Google Scholar] [CrossRef]
- Hu, J.; Luo, G.Q.; Hao, Z.-C. A wideband quad-polarization reconfigurable metasurface antenna. IEEE Access 2018, 6, 6130–6137. [Google Scholar] [CrossRef]
- Wu, F.; Luk, K.M. Single-port reconfigurable magneto-electric dipole antenna with quad-polarization diversity. IEEE Trans. Antennas Propag. 2017, 65, 2289–2296. [Google Scholar] [CrossRef]
- Cui, Y.; Qi, C.; Li, R. A low-profile broadband quad-polarization reconfigurable omnidirectional antenna. IEEE Trans. Antennas Propag. 2019, 67, 4178–4183. [Google Scholar] [CrossRef]
- Hu, J.; Hao, Z.-C.; Hong, W. Design of a wideband quad-polarization reconfigurable patch antenna array using a stacked structure. IEEE Trans. Antennas Propag. 2017, 65, 3014–3023. [Google Scholar] [CrossRef]
- Liu, M.; Zhai, Z.J.; Lin, F.; Sun, H.J. Wideband quad-polarization-reconfigurable bidirectional antenna with a simple wideband switchable feeding network. IEEE Antennas Wirel. Propag. Lett. 2023, 22, 1346–1350. [Google Scholar] [CrossRef]
- Ji, Y.; Ge, L.; Li, Y.; Wang, J. Wideband polarization agile dielectric resonator antenna with reconfigurable broadside and conical beams. IEEE Trans. Antennas Propag. 2022, 70, 7169–7174. [Google Scholar] [CrossRef]
- Tang, W.; Gao, X.; Ding, C.; Zhu, C.; Li, R.; Tian, B.; Bu, X.; An, J. A quad-polarization reconfigurable conformal array of wide coverage range and high gain for unmanned aerial vehicle communications. IEEE Trans. Antennas Propag. 2024; in press. [Google Scholar] [CrossRef]
- Sun, H.; Pan, Z. Design of a quad-polarization-agile antenna using a switchable impedance converter. IEEE Antennas Wirel. Propag. Lett. 2019, 18, 269–273. [Google Scholar] [CrossRef]
- Sun, Y.; Lin, F.; Zhao, D.H.; Zhai, Z.J.; Sun, H.J.; Zhang, X.Y. A filtering patch antenna with reconfigurable quad-polarization diversity. IEEE Trans. Circuits Syst. II-Express Briefs. 2024, 71, 1106–1110. [Google Scholar] [CrossRef]
- Sun, Q.; Ban, Y.-L.; Liu, Y.; Yan, F.-Q. Millimeter-wave switchable quadri-polarization array antenna based on folded C-type SIW. IEEE Antennas Wirel. Propag. Lett. 2021, 20, 1088–1092. [Google Scholar] [CrossRef]
- Xu, C.; Su, J.; Qu, M.; Li, Z.; Qi, K.; Yin, H. Design of an active polarizer for wideband quad-polarization conversion. IEEE Antennas Wirel. Propag. Lett. 2023, 22, 3047–3051. [Google Scholar] [CrossRef]
- Yu, H.; Zhang, Z.; Su, J.; Qu, M.; Li, Z.; Xu, S.; Yang, F. Quad-polarization reconfigurable reflectarray with independent beam-scanning and polarization switching capabilities. IEEE Trans. Antennas Propag. 2023, 71, 7285–7298. [Google Scholar] [CrossRef]
- Zhu, J.; Yang, Y.; McGloin, D.; Unnithan, R.R.; Li, S.; Liao, S.; Xue, Q. 3-D printed planar dielectric linear-to-circular polarization conversion and beam-shaping lenses using coding polarizer. IEEE Trans. Antennas Propag. 2020, 68, 4332–4343. [Google Scholar] [CrossRef]
- Wang, K.X.; Wong, H. A wideband millimeter-wave circularly polarized antenna with 3-D printed polarizer. IEEE Trans. Antennas Propag. 2017, 65, 1038–1046. [Google Scholar] [CrossRef]
- Zhao, X.B.; Wei, F.; Hou, J.Q.; Xu, L.; Yang, Y.; Yang, X.; Wu, N. 3-D printed conformal dielectric linear-to-circular polarization converters for cylindrical and spherical surfaces. IEEE Antennas Wirel. Propag. Lett. 2021, 20, 2539–2543. [Google Scholar] [CrossRef]
- Ding, C.; Luk, K.-M. Low-profile planar dielectric polarizer using high-dielectric-constant material and anisotropic antireflection layers. IEEE Trans. Antennas Propag. 2021, 69, 8494–8502. [Google Scholar] [CrossRef]
- Lin, Q.-W.; Alkaraki, S.; Wong, H.; Kelly, J.R. A wideband circularly polarized antenna based on anisotropic metamaterial. IEEE Trans. Antennas Propag. 2023, 71, 1254–1262. [Google Scholar] [CrossRef]
- Castro, N.; Pizarro, F.; Rajo-Iglesias, E. High gain low profile horn array with circular polarization using a 3D printed anisotropic dielectric composite material at 38 GHz. Sci. Rep. 2022, 12, 18944. [Google Scholar] [CrossRef]
- Melendro-Jiménez, J.; Sanchez-Olivares, P.; Tamayo-Domínguez, A.; Masa-Campos, J.L.; Fernández-González, J.-M. A Novel Logarithmic-Spiral-Shaped 3-D-Printed Dielectric Polarizer for Dual-Circularly Polarized Conical-Beam Radiation Patterns in the Ka-Band. IEEE Trans. Antennas Propag. 2024, 72, 6219–6228. [Google Scholar] [CrossRef]
- Baldazzi, E.; Cicchetti, R.; Foged, L.; Testa, O. A dielectric linear-to-circular polarization converter exploiting uniaxial anisotropy. In Proceedings of the 2024 IEEE International Symposium on Antennas and Propagation and INC/USNC-URSI Radio Science Meeting (AP-S/INC-USNC-URSI), Firenze, Italy, 14–19 July 2024; pp. 727–728. [Google Scholar]
- Baldazzi, E.; Cicchetti, R.; Testa, O.; Foged, L. A novel dielectric lens with integrated polarization conversion capability. In Proceedings of the 2023 IEEE Conference on Antenna Measurements and Applications (CAMA), Genoa, Italy, 15–17 November 2023; pp. 383–385. [Google Scholar]
- Baldazzi, E.; Cicchetti, R.; Testa, O.; Foged, L. Performance of a class of stacked-disk dielectric lenses for lightweight antennas. In Proceedings of the 2023 IEEE International Symposium on Antennas and Propagation and USNC-URSI Radio Science Meeting (USNC-URSI), Portland, OR, USA, 23–28 July 2023; pp. 1089–1090. [Google Scholar]










| Ref. | Center Frequency (GHz) | 3 dB AR Bandwidth (GHz) | Peak Gain (dBic) | Polarization Type | Fabrication Technique | |
|---|---|---|---|---|---|---|
| [19] | 30.0 | 25.0–33.0 (27%) | 24.0 | RHCP, LHCP | 3D printing | |
| [20] | 60 | 49.0–67.0 (30%) | 15.0 | LHCP | 3D printing | |
| [23] | 10.5 | 9.25–12.5 (29.9%) | 6.5 | RHCP | 3D printing, PCB | |
| This work | 15.2 | 12.4–18.0 (36.8%) | Waveguide | 18.0 | RHCP, LHCP, dual LP | 3D printing |
| Horn antenna | 3 (dB) | |||||
Disclaimer/Publisher’s Note: The statements, opinions and data contained in all publications are solely those of the individual author(s) and contributor(s) and not of MDPI and/or the editor(s). MDPI and/or the editor(s) disclaim responsibility for any injury to people or property resulting from any ideas, methods, instructions or products referred to in the content. |
© 2025 by the authors. Licensee MDPI, Basel, Switzerland. This article is an open access article distributed under the terms and conditions of the Creative Commons Attribution (CC BY) license (https://creativecommons.org/licenses/by/4.0/).
Share and Cite
Ding, W.; Xie, G.; Hong, Y.; Yu, H.; Wang, C.; Wang, S.; Huang, Z. A Low-Cost, Wide-Band, High-Gain Mechanically Reconfigurable Multi-Polarization Antenna Based on a 3-D Printed Polarizer. Electronics 2025, 14, 1224. https://doi.org/10.3390/electronics14061224
Ding W, Xie G, Hong Y, Yu H, Wang C, Wang S, Huang Z. A Low-Cost, Wide-Band, High-Gain Mechanically Reconfigurable Multi-Polarization Antenna Based on a 3-D Printed Polarizer. Electronics. 2025; 14(6):1224. https://doi.org/10.3390/electronics14061224
Chicago/Turabian StyleDing, Wenjie, Guoda Xie, Yang Hong, Hang Yu, Chao Wang, Siliang Wang, and Zhixiang Huang. 2025. "A Low-Cost, Wide-Band, High-Gain Mechanically Reconfigurable Multi-Polarization Antenna Based on a 3-D Printed Polarizer" Electronics 14, no. 6: 1224. https://doi.org/10.3390/electronics14061224
APA StyleDing, W., Xie, G., Hong, Y., Yu, H., Wang, C., Wang, S., & Huang, Z. (2025). A Low-Cost, Wide-Band, High-Gain Mechanically Reconfigurable Multi-Polarization Antenna Based on a 3-D Printed Polarizer. Electronics, 14(6), 1224. https://doi.org/10.3390/electronics14061224

