Abstract
The growing use of quadrotor unmanned aerial vehicles (UAVs), especially in low-altitude airspace, has raised concerns about their susceptibility to high-intensity radiated fields (HIRFs). These electromagnetic interferences can significantly affect UAV performance and safety. Therefore, understanding the electromagnetic behavior of quadrotor UAVs in HIRF environments and establishing robust airworthiness standards is crucial. In this paper, a novel transfer function model specifically designed for small quadrotor UAVs in HIRF environments is studied, covering the frequency range from 100 MHz to 6 GHz. The model characterizes the relationship between internal electric field strength and frequency in response to external excitation conditions. A comprehensive simulation of the interference with UAVs in the HIRF environment is conducted, followed by test validation in an anechoic chamber. To assess the consistency between simulation and test results, the feature selection validation (FSV) method is employed. This paper also compares the UAV transfer function with that of a conventional aircraft, revealing the unique electromagnetic characteristics of quadrotor UAVs and offering insights into their vulnerability in HIRF environments. The findings provide valuable contributions to the development of UAV airworthiness certification standards and their safe operation in complex electromagnetic environments.
1. Introduction
Unmanned aerial vehicles (UAVs) have become a focal point of research in the aviation domain due to their advanced functionalities and diverse applications. These aircraft incorporate technologies such as computer vision, machine learning, and the flight autonomy system, enabling capabilities like obstacle detection and 3D imaging. Furthermore, UAVs, often equipped with high-resolution cameras, are widely used in tasks like aerial mapping, environmental monitoring, terrain surveying [1], emergency rescue [2], and logistics distribution [3]. As of June 2023, over one million UAVs have been registered in China, reflecting their essential role in the modern development of civil aviation.
High-intensity radiated fields (HIRFs) are electromagnetic environments generated by RF transmitters, including radar, radio, and television systems, which can cause electromagnetic interference in the surrounding area. The effects of HIRFs have become a critical area of study in the context of electromagnetic environmental effects (E3) within aviation. Early aircraft, relying predominantly on mechanical systems, were less susceptible to HIRFs [4], whereas modern military and civil aircraft, which use digital systems to control key functions, are increasingly vulnerable to external electromagnetic interferences. Specific to particular aircraft functions or systems, the impacts caused by HIRFs such as system failures, malfunctions, or the dissemination of misleading information, have been documented in several studies [5]. In critical frequency bands such as 1.575 GHz for GPS navigation and 2.4 GHz for communication, HIRFs can disrupt signal reception, leading to functional failures or complete signal loss, which affecting the UAV’s operational safety. While much of the research on HIRF effects has focused on conventional aircraft [6,7,8,9,10,11,12,13,14], the growing use of UAVs has brought the impact of HIRFs on their operational safety to the forefront. UAVs have been shown to experience both physical damage to their electronic systems and operational disruptions, such as data storage failures and loss of functionality [15,16,17,18,19].
Currently, there are two primary approaches for assessing aircraft HIRF performance: high-level tests and low-level coupling tests. High-level tests expose the aircraft to high-intensity radiated fields to evaluate system vulnerabilities. In contrast, low-level coupling tests use lower-intensity fields to simulate the internal environment, which is then compared with RF levels or high-level tests. Due to their portability, lower cost, and ease of implementation, low-level coupling tests are typically preferred. These methods include direct current injection (DCI), low-level swept current (LLSC), and low-level swept field (LLSF), each suited to specific frequency ranges: DCI for 10 kHz to the first resonant frequency, LLSC for 500 kHz to 400 MHz, and LLSF for 100 MHz to 18 GHz [20]. While some of the HIRF airworthiness research has focused on conventional aircraft and composite material vehicles [21,22,23,24,25,26,27], establishing comprehensive airworthiness standards for UAVs remains a significant challenge. This is particularly crucial given the potential deployment of Urban Air Mobility (UAM) systems in complex electromagnetic environments, where HIRF effects will be even more pronounced. As a crucial tool for both an aircraft-level test and equipment-level test, the transfer function serves as a key link between the two. An effective transfer function can greatly facilitate the airworthiness qualification at both the device level and circuit level for UAVs.
In this paper, a novel transfer function model of a representative small quadrotor UAV in HIRF environments with a frequency range from 100 MHz to 6 GHz is presented. The relationship between the internal electric field (E-Field) and the external excitation conditions is analyzed through simulation. Test validation is conducted in the anechoic chamber between 1 GHz and 6 GHz. The feature selection validation (FSV) method is then employed to assess the discrepancies between simulation and test results. Based on these findings, recommendations are provided for the development of future airworthiness certification standards for UAVs operating in HIRF environments.
2. Simulation of the Internal E-Field of UAVs in HIRF Environments
2.1. High-Frequency Electromagnetic Solvers
Several numerical methods are commonly employed to solve high-frequency electromagnetic problems, such as Method of Moments (MoM), Finite-Difference Time Domain (FDTD), Multi-Level Fast Multipole Algorithm (MLFMA), and the Ant Colony Algorithm (ACA). Each has its own strengths and suitability for different scenarios.
Wang et al. [28] emphasized the importance of selecting an appropriate solver based on the frequency domain and model size when addressing high-frequency electromagnetic problems. In complex scenarios, choosing the optimal solver is crucial to reducing the simulation time and improving accuracy. Zhu et al. [29] found that the Method of Moments (MoM) offers computational accuracy comparable to the Multi-Level Fast Multipole Algorithm (MLFMA), while requiring less simulation time. Furthermore, Rasek et al. [30] demonstrated that MoM provides higher computational accuracy than the Finite-Difference Time Domain (FDTD) method when calculating high-frequency electromagnetic problems and observing E-field strength within the aircraft cabin. For these reasons, MoM is chosen as the preferred solver for the simulations in this study.
2.2. Model Construction
The simulation model is based on a 1:1 scale replica of the DJI Phantom 4 Pro. A single-face modeling approach is used to avoid mesh overlap or isolated mesh edges during grid division. Additionally, the mesh size is optimized for surfaces with numerous pores to improve computational efficiency. To reduce the simulation time, certain components with minimal impact on the electromagnetic effect, such as the propeller blades connected to the rotors, are omitted, as their material properties do not significantly affect the overall electromagnetic characteristics of the UAV. However, in contrast to conventional simulation methods, this model retains the full complexity of the UAV’s structure, including ventilation holes and curved surfaces, thereby ensuring more realistic simulation results.
The UAV’s exterior is constructed from polycarbonate (PC), while the interior comprises five polyvinyl chloride (PVC) plates that form a cavity for the battery. Each PVC plate incorporates a printed circuit board (PCB). In the simulation model, the exterior material is represented by PC, while the internal structure is modeled using five 1 mm thick copper plates to simulate the electromagnetic properties of the interior. The material parameters and simulation model are provided in Table 1 and illustrated in Figure 1.
Table 1.
The material parameters.
Figure 1.
A representative small quadrotor UAV: DJI Phantom 4 Pro and its simulation model.
In HIRF transfer function analysis, both the current and E-Field are typically investigated. In this study, the E-field strength is prioritized over the current in the HIRF transfer function analysis due to its more direct influence on the electromagnetic interaction between the external environment and UAVs. The primary reason for this choice is that E-field strength is easier to measure and simulate, and it has a more significant impact on the operation of UAV electronics compared to induced currents. Additionally, UAVs often have tightly packed internal wiring, making it challenging to measure currents within small, confined spaces. By focusing on the E-field, we can better assess the overall electromagnetic interference effects. This approach aligns with standard electromagnetic compatibility practices and provides a more reliable metric for evaluating UAV vulnerability to HIRFs. For high-frequency E-field analysis, the standard practice is to focus on the Level A display system. Therefore, selecting observation points requires a comprehensive approach that considers factors such as UAV configuration, algorithmic design, and failure modes. As shown in previous studies on quadcopter UAV failure mechanisms [31,32], while mechanical failures in the rotor mechanism are one case, the primary causes of most quadcopter UAV failures stem from fluctuations in motor drive voltage induced by external electromagnetic interference, which disrupts the flight control board. Additionally, the battery compartment is prone to strong electromagnetic coupling, which is more likely to amplify internal electromagnetic fields. Consequently, when determining observation points for UAVs operating in HIRF environments, special attention should be given to the battery compartment, which is surrounded by the flight control boards, as shown in Figure 2. In both the simulation and experimental setups, the E-field is evaluated at specific observation points inside the UAV’s battery compartment. The magnitude of the E-field is calculated using the three coordinate components, as given by Equation (1).
Figure 2.
E-Field observation point.
In the formula, Ex, Ey, and Ez represent the electric field components along the x, y, and z axes, respectively.
This value represents the total strength of the electric field at the observation point. The field components are measured at each point using either field probes or numerical sensors during the simulation process. The calculated E-field is then compared with the experimental results obtained from anechoic chamber tests, ensuring consistency and accuracy in the evaluation of the UAV’s electromagnetic response.
2.3. Simulation Environment Setting
In this paper, the internal E-field strength in the frequency range from 100 MHz to 5.9 GHz is primarily considered. The rationale for this range is as follows.
Given that the observation point for the field strength measurement is located inside the battery compartment, the battery compartment structure plays a critical role in determining the internal electromagnetic behavior. To estimate the resonant frequency, we chose a rectangular resonant cavity model. This simplification allows us to provide an initial estimate of the resonance frequency, which is helpful for the subsequent simulation and testing phases. The cavity formed by the PVC and PCB inside the UAV can be considered as a resonant cavity, with its primary resonant frequency, f101, approximately 5.31 GHz, which should fall within the simulation range. The resonant frequency is determined by Equation (2).
In the formula, a, b, and h represent the length, width, and height of the rectangular cavity, respectively; m, n, and p represent the resonant wave modes, taking an integer value or 0; c is the speed of light; and f is the frequency.
To consider the UAV’s communication frequencies at 2.4 GHz and 5.8 GHz, these frequencies are also included in the simulation. Meanwhile, pre-simulation results show that when the frequency exceeds 5.9 GHz, the simulated E-field strength inside the UAV diverges and becomes unreliable. Therefore, the focus of the simulation is limited to the frequency range from 100 MHz to 5.9 GHz for the E-field observation point.
According to ARP 5583A, tests should include at least 100 frequency points per decade, equally spaced on a logarithmic scale, starting from 100 kHz. Larger spacing between points may be acceptable if the amplitude variation between test frequencies is less than 1 dB [20]. Rasek et al. [33] recommend that for the 100 MHz to 18 GHz range, the frequency selection should follow a logarithmic progression, with a 2.3% frequency step per decade (Y-axis unit per X-axis unit).
In accordance with the ARP 5583A standard, HIRF testing for aircraft requires sequential irradiation from four directions: the nose, tail, left wing, and right wing. For low-level swept field (LLSF) testing, irradiation can be directed towards specific areas of interest to further assess the system’s response. To validate the applicability of this testing method for small quadcopter UAVs, the scientific rationale behind these prescribed irradiation directions in the context of UAV testing is examined. As shown in Figure 3, antenna placement for aircraft HIRF tests involves five positions, each corresponding to a different irradiation direction, ranging from Position 1 to Position 5.
Figure 3.
Traditional irradiation directions for a UAV.
As shown in the simulation results in Figure 4, variations in E-field strength can be observed due to different irradiation directions in response to external electromagnetic environments. However, the overall frequency domain response trends remain consistent. This suggests that the prescribed irradiation directions in ARP 5583A for HIRF testing of small quadcopter UAVs may not effectively capture the interactions between the UAV’s apertures, cavities, and external electromagnetic fields. Therefore, alternative irradiation directions should be considered when setting up the simulation environment for small quadcopter UAVs.
Figure 4.
E-Field simulation results for 5 positions from (a) 100 MHz to 6 GHz and (b) 1 GHz to 6 GHz.
Given the primary application scenario of small UAVs, which are likely to encounter electromagnetic interference from multiple directions in low-altitude environments, an environmental model is developed to account for radiation sources from the top, bottom, and sides of the UAV, as shown in Figure 5. Compared to traditional methods, the proposed irradiation directions are better aligned with real scenarios and provide a more comprehensive framework for studying the coupling characteristics of internal field strength in UAVs.
Figure 5.
Innovative irradiation directions for a UAV.
2.4. Simulation Results and Analysis
In this scenario shown in Figure 5, three incident directions are considered, with each direction utilizing both horizontal and vertical polarization of plane waves at an amplitude of 1 V/m. E-field strength is simulated at the observation point, covering frequencies from 100 MHz to 5.9 GHz.
The simulation results are presented in Figure 6, where “V” represents vertical polarization and “H” represents horizontal polarization in the figure label. The simulation results clearly show that the E-field strength and resonant frequencies at the observation points depend primarily on the polarization of the incident wave, with variations observed for different irradiation directions and polarizations. For vertical polarization, the E-field strength is consistently higher across the frequency range from 100 MHz to 5.9 GHz compared to horizontal polarization. Resonance occurs at 1.85 GHz and 5.38 GHz for vertical polarization, with the 1.85 GHz resonance being more pronounced, exhibiting the highest E-field amplitude (2.53 V/m) when the wave is incident from the top. For horizontal polarization, resonance occurs only at 5.27 GHz, and the highest E-field amplitude (1.92 V/m) is observed when the wave is also incident from the top.
Figure 6.
E-Field simulation results for each direction and each polarization from (a) 100 MHz to 6 GHz and (b) 1 GHz to 6 GHz.
Based on a detailed analysis of the simulation results, the following conclusions can be drawn:
- 1.
- For different polarizations
For the same incident direction, the E-field strength at the observation point is consistently lower for horizontal polarization compared to vertical polarization across the frequency range from 100 MHz to 5.9 GHz. This difference is due to the alignment of vertical polarization waveforms with the UAV’s shell perforations, which enhances coupling into the battery compartment and induces a stronger E-field.
- 2.
- For different incident directions
For the same polarization, the E-field strength at the observation point is generally lower for side incident directions compared to top and bottom directions within the 100 MHz to 5.9 GHz range. This can be explained that the side incident waves lack direct access through the ventilation holes designed for cooling, as shown in Figure 7. Instead, they rely on coupling through the shell joints. In contrast, bottom incident waves couple through numerous ventilation holes, while top incident waves exploit the weak electromagnetic shielding of the shell material, coupling through gaps around the rotors to enter the battery compartment.
Figure 7.
Locations and layout of the ventilation holes that can cause variations in the E-Field depending on the direction of the external excitation.
- 3.
- Resonant frequency at 5.31 GHz
The resonance at 5.31 GHz is primarily attributed to the battery compartment, which behaves as a resonant cavity, with the compartment material modeled as pure copper. The simulation results demonstrate that this resonant frequency remains unchanged regardless of variations in external excitation conditions, such as polarization or incident direction, indicating that it is an intrinsic characteristic of the UAV’s structural design.
- 4.
- Resonant frequency at 1.85 GHz
A distinct resonance at 1.85 GHz is produced exclusively under vertical polarization, with no resonance detected for horizontal polarization. This phenomenon arises from the coupling of the incident waves with the UAV’s structure, particularly under vertical polarization. The resonance is influenced by multipath effects and the interaction between the shell material and the circuit board. This interaction introduces phase differences and causes variations in the E-field at specific locations, which significantly alters the overall electric field distribution and results in resonance behavior that is solely dependent on the polarization mode.
3. Test of UAVs in the Anechoic Chamber and Comparison with Simulation Results Based on the FSV Method
3.1. Test Scenario
In order to validate the simulation results, an anechoic chamber test is conducted. To ensure measurement accuracy and minimize uncertainty, the probe is calibrated using standard procedures for electromagnetic field measurements. The calibration is performed over a frequency range of 1 MHz–6 GHz using a known reference source, as shown in Figure 8. This calibration process ensured that the measurements taken in this study were reliable and the impact of measurement uncertainty was minimized. The internal E-field measuring scenario within the UAV is shown in Figure 9. The test equipment information is given in Table 2.
Figure 8.
Spatial arrangement of E-field calibration scenario.
Figure 9.
Spatial arrangement of E-field measuring scenario.
Table 2.
Test equipment information.
3.2. Test Results and Analysis
Based on the simulation, it is evident that below 1 GHz, the relationship between the E-field at the observation points does not yield significant results. At these lower frequencies, the longer wavelengths of incident electromagnetic waves do not couple effectively with the UAV’s internal components or geometry. Additionally, lower-frequency waves cannot induce resonance or significant electromagnetic effects within the UAV, resulting in a relatively stable internal E-field regardless of changes in incident direction or polarization. This uniform response is expected in the low-frequency range and contrasts with the higher-frequency range, where resonances and stronger coupling effects are more pronounced.
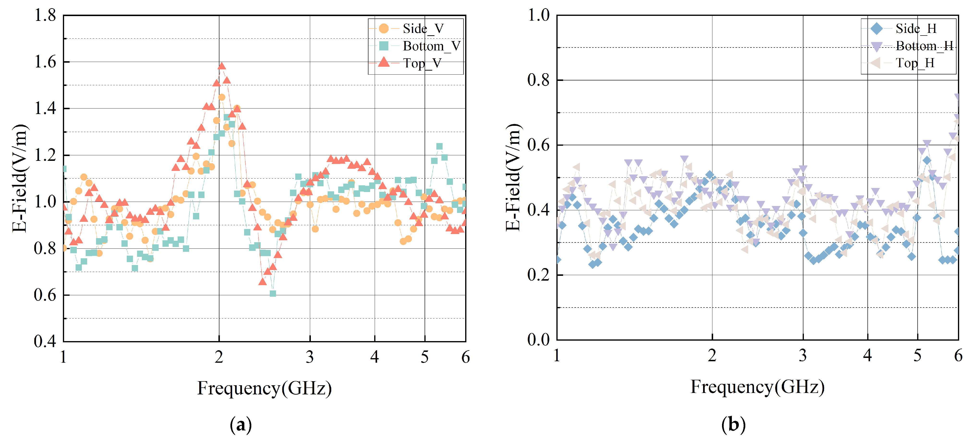
For these reasons, the tests are only conducted within the frequency range from 1 GHz to 6 GHz. This range is selected to investigate the E-field response under various incident wave directions and polarization modes. The test results are presented in Figure 10.
Figure 10.
Test results for each direction with (a) vertical polarization and (b) horizontal polarization.
From the test results, the following conclusions can be drawn:
- 1.
- For different polarizations
For the same incident direction, the E-field strength at the observation point is consistently lower for horizontal polarization than for vertical polarization across the frequency range from 1 GHz to 6 GHz. This is due to the alignment of vertical polarization with the UAV’s shell perforations, which enhances coupling into the battery compartment and induces a stronger E-field, consistent with the simulation results.
- 2.
- For different incident directions
For the same polarization, the E-field strength at the observation point is generally lower for bottom incident directions compared to other incident directions across the frequency range from 1 GHz to 2.5 GHz. This subtle difference from the simulation results is due to the UAV’s design, which incorporates a protective layer between the bottom ventilation holes and the battery compartment to prevent direct contact, resulting in lower E-field strength at the bottom in this frequency band.
- 3.
- Resonant frequency at 5.31 GHz
A slight resonance at 5.31 GHz is observed under all external excitation conditions, confirming that this resonant frequency is independent of external excitation and is an intrinsic characteristic of the UAV’s structure. This resonant frequency is primarily attributed to the battery compartment, which behaves as a resonant cavity, with the compartment material modeled as pure copper.
- 4.
- Resonant frequency at 2 GHz
A pronounced resonance at 2 GHz is also observed under vertical polarization in the experimental results, further confirming that this resonance is not an artifact of the simulation. Instead, it is caused by the coupling of external incident waves into the battery compartment through a specific pathway. This interaction is influenced by the UAV’s internal structure, where certain geometric features and material properties facilitate resonance, highlighting the importance of understanding the coupling mechanisms and their impact on the UAV’s electromagnetic behavior.
Based on the simulation and test results, interference in the resonant frequency bands can be more easily impact UAV operation. To mitigate the adverse effects of electromagnetic interference in these bands, several strategies should be implemented such as a shielding technique and band-pass filters in critical systems. Careful flight planning to avoid high-interference areas is also beneficial.
3.3. Feature Selection Validation (FSV) Method Comparison
The feature selection validation (FSV) method is commonly used to compare simulation and test results in electromagnetic modeling. FSV identifies differences in magnitude, trends, and features of the data, providing a comprehensive evaluation of both the overall and detailed aspects of the data. It also provides various qualitative and quantitative metrics for assessment. Compared to traditional methods, FSV has significant advantages in quickly pinpointing data differences and quantitatively expressing the characteristics of these differences [34].
FSV evaluates the correlation between two datasets using the Amplitude Difference Measure (ADM) and Feature Difference Measure (FDM). ADM assesses the concordance in amplitudes, while FDM evaluates the similarity in the shapes of the datasets. These measures collectively contribute to the General Difference Measure (GDM), which provides an overall metric for their agreement. The range of values for the ADM and, in fact, the FDM and GDM can be divided into six categories, each with a natural language descriptor: Excellent (Ex), Very Good (VG), Good (G), Fair (F), Poor (P), and Very Poor (VP). These are the terms that are most often used in descriptions of the quality of comparisons [35].
This paper follows the verification procedure outlined in [35], with the specific results shown in Figure 11. In the figure’s legend, the two-letter codes represent different aspects of the incident wave. The first letter denotes the direction of the incident wave: ‘T’ for top, ‘S’ for side, and ‘B’ for bottom. The second letter indicates the polarization of the incident wave: ’V’ for vertical and ‘H’ for horizontal.
Figure 11.
FSV sample results for each type of excitation condition. ADM, Amplitude Difference Measure; FDM, Feature Difference Measure; GDM, General Difference Measure. The range of values for the ADM, FDM, and GDM can be divided into six categories, each with a natural language descriptor: Excellent (Ex), Very Good (VG), Good (G), Fair (F), Poor (P), and Very Poor (VP). The two-letter codes in figure’s legend represent different aspects of the incident wave. The first letter denotes the direction of the incident wave: ‘T’ for top, ‘S’ for side, and ‘B’ for bottom. The second letter indicates the polarization of the incident wave: ‘V’ for vertical and ‘H’ for horizontal.
The FSV results show that the simulation of the electromagnetic model is highly consistent with the test results. Some discrepancies could be due to the simplification of the PCB simulation model surrounding the battery compartment. In the simulation, the PCBs are assumed to be pure copper, which differs from the actual material of the real circuit boards. This simplification likely caused variations in the resonance frequencies and increased E-field coupling. To achieve better alignment between the simulation and test results, a more detailed model of the circuit boards around the battery compartment is necessary, providing a more accurate representation of the electromagnetic coupling characteristics at these frequencies.
Based on both the simulation and test results, a transfer function model can be derived which gives an accurate representation of the internal electromagnetic environment during UAV operation.
4. Transfer Function Derivation
4.1. Transfer Function Concept and Derivation Method
As a crucial tool for both an aircraft-level test and equipment-level test, the transfer function serves as a key link between the two. Derived from aircraft-level tests, the transfer function enables onboard equipment to more accurately simulate operational conditions in an HIRF environment, thereby improving test accuracy and reliability. To establish the transfer function, several aircraft orientations, configurations, and horizontal and vertical field polarizations must be tested as required. Given that not all aspects of an aircraft system’s installation can be replicated in a laboratory test setup, resonances may differ between the aircraft installation and the laboratory configuration. To address this, the enveloping method [20] is employed to ensure that potential resonance shifts are accounted for. The LLSF enveloping method involves using the maximum LLSF amplitude within a sliding frequency window of ±10% around a given frequency. This method ensures the transfer function accounts for variations and adequately evaluates the system’s resilience to elevated levels. Additionally, an extra safety margin can be incorporated into the transfer function, intensifying test requirements and enhancing the equipment’s safety profile.
4.2. Transfer Function from 100 MHz to 1 GHz
Since only simulation results are available for the frequency range from 100 MHz to 1 GHz, and no significant relationship between external excitation conditions and internal E-field strength is observed in this range, the transfer function for this frequency band is derived solely from the simulation results. As shown in Figure 12, the red solid line represents the transfer function with an added safety margin from 100 MHz to 1 GHz. The safety margin is incorporated because the transfer function, applied in the aircraft test, represents the ratio of electrical output to input in the frequency domain. Adding a safety margin during the derivation of the transfer function helps enhance the electromagnetic compatibility of the system, thus improving the safety of UAV operations.
Figure 12.
Transfer function from 100 MHz to 1 GHz.
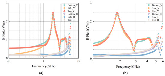
4.3. Transfer Function from 1 GHz to 6 GHz
For the frequency range from 1 GHz to 6 GHz, both simulation and test results are available, while the FSV analysis reveals that at certain frequency points, the simulation results differ from the test results. Since the transfer function is primarily used to guide the test, the test results are predominantly used to derive the transfer function in this frequency range. All test results in this frequency range are summarized in Figure 13, where the maximum values at each test frequency are connected to form an envelope, shown by the black solid line. Based on the envelop, a safety margin is then added to derive the transfer function for this frequency range, as shown by the red solid line in Figure 13.
Figure 13.
Transfer function from 1 GHz to 6 GHz.
4.4. Final Transfer Function from 100 MHz to 6 GHz
Incorporating both the simulation and test results for this specific UAV, along with a safety margin, the final transfer function for this quadrotor UAV from 100 MHz to 6 GHz is shown in Figure 14. In the case of transfer function discontinuity at 1 GHz, the higher value or the test result should be selected, so 1.5 V/m is chosen as the E-field strength at 1 GHz. For frequencies below 100 MHz, the transfer function could be linearly extrapolated from the simulation results, while for frequencies above 6 GHz, a reasonable attenuation coefficient could be referenced from traditional aircraft.
Figure 14.
Transfer function from 100 MHz to 6 GHz for this type of quadrotor UAV.
Compared to traditional aircraft, the transfer function for this quadrotor UAV shows significant differences in both amplitude and corresponding frequency ranges. These differences are primarily due to the UAV’s size, which affects the resonance frequency, and the shell material, which determines its electromagnetic interference resistance capabilities.
Table 3 compares the proposed models with the model given by ARP 5583A based on various factors. It effectively highlights the proposed model is specifically designed for small UAVs, addressing unique challenges that are not covered by traditional transfer function models used for large transport aircraft. The traditional HIRF transfer functions are typically designed for large commercial transport aircraft, and have specific transfer functions in the range of 10 kHz to 1 GHz, while the rest can only be estimated by extrapolation with poor accuracy.
Table 3.
Comparison of HIRF transfer function models for UAVs and traditional aircraft.
In contrast, the transfer function model proposed in this study is specifically designed for small quadrotor UAVs. The model incorporates detailed simulations of UAV geometries, including smaller, more intricate components. Unlike the traditional models, which simulate radiation from limited directions, this model accounts for multi-directional radiation sources (top, bottom, and sides), better reflecting the actual operational environment of small UAVs. Furthermore, this model utilizes a combination of simulation and test validation in an anechoic chamber, along with the FSV method. This approach allows for more accurate modeling of electromagnetic interference, leading to a transfer function that is better suited to the unique challenges faced by UAVs in HIRF environments.
5. Conclusions
This paper highlights the critical role of transfer functions in UAV airworthiness validation. A detailed simulation model for a small quadrotor UAV is developed, focusing on the internal E-field within the frequency range of 100 MHz to 6 GHz. Key findings include the identification of resonance frequencies at 1.85 GHz and 5.38 GHz, with the latter being determined by the UAV’s battery compartment geometry. A new HIRF testing scenario is proposed, which better reflects real-world conditions for consumer-grade UAVs, differing from traditional aircraft tests. Simulation results are validated through anechoic chamber tests, showing overall consistency in frequency response trends, despite some discrepancies in E-field amplitudes at specific frequencies. The FSV method is used to assess simulation–test consistency, and suggestions for further improvements are provided. The proposed transfer function model offers a unique tool for UAV EMC validation and is particularly suited to system-level and equipment-level testing. However, limitations such as the model’s restricted frequency range and constant material properties warrant further research. Future work could address these limitations by expanding the frequency range and incorporating real-world material variations to improve the model’s accuracy.
Author Contributions
Conceptualization, Z.M.; methodology, Z.M. and H.W.; software, Z.M.; validation, Z.M. and H.W.; formal analysis, H.W.; investigation, H.W.; resources, Z.M.; data curation, H.W.; writing—original draft preparation, H.W.; writing—review and editing, Z.M. and X.Y.; visualization, Z.M. and X.Y.; supervision, Z.M.; project administration, Z.M. and X.Y.; funding acquisition, Z.M. All authors have read and agreed to the published version of the manuscript.
Funding
This research was funded by the Natural Science Foundation of Tianjin, grant number 21JCZDJC00860, and the Fundamental Research Funds for the Central Universities, grant number XJ2021003601.
Data Availability Statement
The data can be shared upon request.
Conflicts of Interest
The authors declare no conflicts of interest.
References
- Liu, J.-X.; Liu, H.-P.; Liu, R.; Xue, J.-Q.; Li, Y.-H.; Wang, F. Application of aeromagnetic survey to mineral exploration of Jinping, Yunnan, China by using multirotor UAV. Trans. Nonferrous Met. Soc. China 2023, 33, 1550–1558. [Google Scholar] [CrossRef]
- Lyu, M.; Zhao, Y.; Huang, C.; Huang, H. Unmanned aerial vehicles for search and rescue: A survey. Remote Sens. 2023, 15, 3266. [Google Scholar] [CrossRef]
- Li, S.; Zhang, H.; Yi, J.; Liu, H. A bi-level planning approach of logistics unmanned aerial vehicle route network. Aerosp. Sci. Technol. 2023, 141, 108572. [Google Scholar] [CrossRef]
- Federal Aviation Administration. AC20-158B. In The Certification of Aircraft Electrical and Electronic Systems for Operation in the High-Intensity Radiated Fields (HIRF) Environment; Federal Register: Washington, DC, USA, 2024. [Google Scholar]
- Gutierrez, G.G.; Romero, S.F.; Gonzaga, M.; Pascual-Gil, E.; Angulo, L.D.; Cabello, M.R.; Garcia, S.G. Influence of geometric simplifications on high-intensity radiated field simulations. Prog. Electromagn. Res. C 2018, 86, 217–232. [Google Scholar] [CrossRef]
- European Commission. HIRF-SE. (December 2008–May 2013). Available online: www.hirf-se.eu (accessed on 17 January 2023).
- Kim, S.G.; Lee, E.; Hong, I.P.; Yook, J.G. Review of intentional electromagnetic interference on UAV sensor modules and experimental study. Sensors 2022, 22, 2384. [Google Scholar] [CrossRef]
- Gong, Y.; Chen, X.; Li, Y. Research and application of finite-element time-domain method for transient response of buried cable excited by an electromagnetic wave. J. Electromagn. Waves Appl. 2020, 34, 2147–2167. [Google Scholar] [CrossRef]
- Moreno, Y.; Egea, A.; Almandoz, G.; Ugalde, G.; Urdangarin, A.; Moreno, R. High-Frequency Modelling of Electrical Machines for EMC Analysis. Electronics 2024, 13, 787. [Google Scholar] [CrossRef]
- Li, F.; Han, J.; Zhang, C. Study on the influence of PCB parameters on the shielding effectiveness of metal cavity with holes. In Proceedings of the 2019 IEEE 3rd Information Technology, Networking, Electronic and Automation Control Conference (ITNEC), Chengdu, China, 15–17 March 2019; IEEE: New York, NY, USA, 2019; pp. 383–387. [Google Scholar]
- Jie, H.; Zhao, Z.; Zeng, Y.; Chang, Y.; Fan, F.; Wang, C.; See, K.Y. A review of intentional electromagnetic interference in power electronics: Conducted and radiated susceptibility. IET Power Electron. 2024, 17, 1487–1506. [Google Scholar] [CrossRef]
- Pan, Y.; Ren, J.; Zhou, Z.; Zhang, T. Research on Calculation Method of Shielding Effectiveness of Irregular Cavity. 2021 IEEE 5th Information Technology, Networking, Electronic and Automation Control Conference (ITNEC). IEEE 2021, 5, 623–626. [Google Scholar]
- Wu, Y.; Zhou, H.; Li, H.; Bao, X.; Zhong, L. Validation of Electromagnetic model for an Aircraft Under HIRF Condition with the Nonintrusive Polynomial Chaos Methods. In Proceedings of the 2019 International Symposium on Electromagnetic Compatibility-EMC EUROPE, Barcelona, Spain, 2–6 September 2019; IEEE: New York, NY, USA, 2019; pp. 1150–1154. [Google Scholar]
- Rad, S.S.; Zheng, Z.; Kheirollahi, R.; Mostafa, A.; Zhao, S.; Wang, Y.; Chevinly, J.; Nadi, E.; Bensala, T.; Zhang, H.; et al. Electromagnetic Interference on Unmanned Aerial Vehicles (UAVs): A Case Study of High Power Transmission Line Impacts. IEEE Trans. Transp. Electrif. 2025. [Google Scholar] [CrossRef]
- Ta, Q.B.; Pham, Q.Q.; Pham, N.L.; Huynh, T.C.; Kim, J.T. Smart Aggregate-Based Concrete Stress Monitoring via 1D CNN Deep Learning of Raw Impedance Signals. Struct. Control. Health Monit. 2024, 2024, 5822653. [Google Scholar] [CrossRef]
- Ta, Q.B.; Huynh, T.C.; Pham, Q.Q.; Kim, J.T. Corroded bolt identification using mask region-based deep learning trained on synthesized data. Sensors 2022, 22, 3340. [Google Scholar] [CrossRef] [PubMed]
- Zhang, D.; Cheng, E.; Wan, H.; Zhou, X.; Chen, Y. Prediction of electromagnetic compatibility for dynamic datalink of UAV. IEEE Trans. Electromagn. Compat. 2018, 61, 1474–1482. [Google Scholar] [CrossRef]
- Zhang, W.; Zhang, Q.; Zhang, T.; Zhao, Q.; Fu, S. Research on interference coupling mechanism and test method of UAV in complex electromagnetic environment. In Proceedings of the 2021 13th International Symposium on Antennas, Propagation and EM Theory (ISAPE), Zhuhai, China, 1–4 December 2021; IEEE: New York, NY, USA, 2021; pp. 1–3. [Google Scholar]
- Wang, Y.; Ma, L.; Chen, Y. Electromagnetic Energy Coupling Path and Protection Method of UAV Datalink against Broad-Spectrum High-Power Microwave Radiation. Radioengineering 2022, 31, 201–209. [Google Scholar] [CrossRef]
- SAE International. SAE ARP 5583A. In Guide to Certification of Aircraft in a High Intensity Radiated Field (HIRF) Environment; SAE Aerospace Group: Washington, DC, USA, 2010. [Google Scholar]
- Hamdalla MZ, M.; Caruso, A.N.; Hassan, A.M. Electromagnetic compatibility analysis of quadcopter UAVs using the equivalent circuit approach. IEEE Open J. Antennas Propag. 2022, 3, 1090–1101. [Google Scholar] [CrossRef]
- Cui, Y.; Cui, C. A developing method of aircraft HIRF/L preventive maintenance program. In Proceedings of the 2013 International Conference on Quality, Reliability, Risk, Maintenance, and Safety Engineering (QR2MSE), Emeishan, China, 15–18 July 2013; IEEE: New York, NY, USA, 2013; pp. 1215–1218. [Google Scholar]
- Zhang, Z.; Zhou, Y.; Zhang, Y.; Qian, B. Strong Electromagnetic Interference and Protection in UAVs. Electronics 2024, 13, 393. [Google Scholar] [CrossRef]
- Zhao, Y.R. Airworthiness Engineering and Practices of COMAC C919 Airplane. Aerosp. Traffic Saf. 2024, 1, 20–26. [Google Scholar] [CrossRef]
- Schickele, P.; Ferrieres, X.; Parmantier, J.P. FEM-MTLN hybridization technique to evaluate electrical current on multiconductor cables inside enclosures illuminated by a plane wave. In Proceedings of the 2019 International Applied Computational Electromagnetics Society Symposium (ACES), Nanjing, China, 8–11 August 2019; IEEE: New York, NY, USA, 2019; pp. 1–2. [Google Scholar]
- Bastard, C.; Meyer, M.; Guiffaut, C.; Reineix, A. Ways of improvement for HIRF transfer function assessment on rotorcraft. In Proceedings of the 2019 ESA Workshop on Aerospace EMC (Aerospace EMC), Budapest, Hungary, 20–22 May 2019; IEEE: New York, NY, USA, 2019; pp. 1–6. [Google Scholar]
- Romero, S.F.; Rodríguez, P.L.; Bocanegra, D.E.; Martínez, D.P.; Cancela, M.A. Comparing open area test site and resonant chamber for unmanned aerial vehicle’s high-intensity radiated field testing. IEEE Trans. Electromagn. Compat. 2018, 60, 1704–1711. [Google Scholar] [CrossRef]
- Wang, W.J.; Xu, R.; Li, H.Y.; Liu, Y.; Guo, X.Y.; Xu, Y.; Yin, W.Y. Massively parallel simulation of large-scale electromagnetic problems using one high-performance computing scheme and domain decomposition method. IEEE Trans. Electromagn. Compat. 2017, 59, 1523–1531. [Google Scholar] [CrossRef]
- Zhu, Z.Q.; Chu, W.Q.; Guan, Y. Quantitative comparison of electromagnetic performance of electrical machines for HEVs/EVs. CES Trans. Electr. Mach. Syst. 2017, 1, 37–47. [Google Scholar] [CrossRef]
- Rasek, G.A.; Pascual-Gil, E.; Schroder, A.; Junqua, I.; Guidi, R.; Kreller, C.A.; Bruns, H.-D.; Loos, S.E. HIRF transfer functions of a fuselage model: Measurements and simulations. IEEE Trans. Electromagn. Compat. 2013, 56, 311–319. [Google Scholar] [CrossRef]
- Avram, R.C.; Zhang, X.; Muse, J. Quadrotor actuator fault diagnosis and accommodation using nonlinear adaptive estimators. IEEE Trans. Control. Syst. Technol. 2017, 25, 2219–2226. [Google Scholar] [CrossRef]
- Taimoor, M.; Lu, X.; Maqsood, H.; Sheng, C. A novel fault diagnosis in sensors of quadrotor unmanned aerial vehicle. J. Ambient. Intell. Humaniz. Comput. 2023, 14, 14081–14099. [Google Scholar] [CrossRef]
- Rasek, G.A.; Schroder, A.; Tobola, P.; Reznicek, Z.; Loos, S.E.; Tischler, T.; Bruns, H.-D. HIRF transfer function observations: Notes on results versus requirements and certification approach. IEEE Trans. Electromagn. Compat. 2015, 57, 195–202. [Google Scholar] [CrossRef]
- Xiao, S.W.; Li, B.W.; Chen, X.P. Feature selective validation method: Principle application and the latest progress. Telecommun. Eng. 2016, 56, 346–352. [Google Scholar]
- IEEE 1597.1-2022; IEEE Standard for Validation of Computational Electromagnetics Computer Modeling and Simulations. IEEE Standards Association: Piscataway, NJ, USA, 2022.
Disclaimer/Publisher’s Note: The statements, opinions and data contained in all publications are solely those of the individual author(s) and contributor(s) and not of MDPI and/or the editor(s). MDPI and/or the editor(s) disclaim responsibility for any injury to people or property resulting from any ideas, methods, instructions or products referred to in the content. |
© 2025 by the authors. Licensee MDPI, Basel, Switzerland. This article is an open access article distributed under the terms and conditions of the Creative Commons Attribution (CC BY) license (https://creativecommons.org/licenses/by/4.0/).













