Semi-Global Observer-Based Secure Consensus of Multi-Agent Systems with Input Saturation and Denial-of-Service Attacks
Abstract
1. Introduction
- Compared to the previous studies in [19], this paper expands the scope of research by not only addressing input saturation but also by incorporating a time-series-based model for DoS attacks. Additionally, we introduce a quadratic common Lyapunov function to systematically analyze the consensus behavior of the entire system.
2. Preliminaries
2.1. Notation
2.2. Graph Theory
3. Main Results
3.1. Problem Statement
3.2. Consensusability Analysis
4. Numerical Simulation
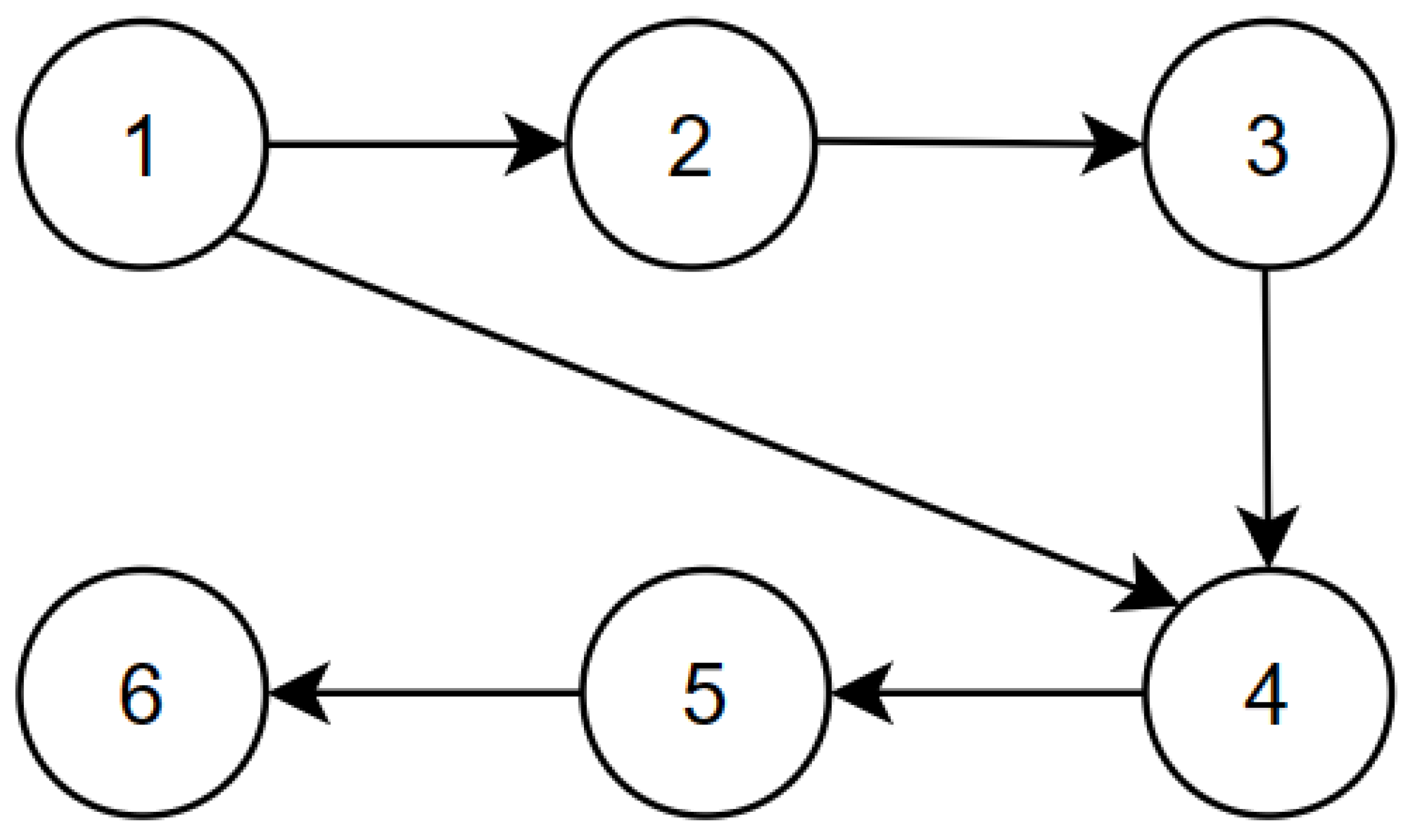
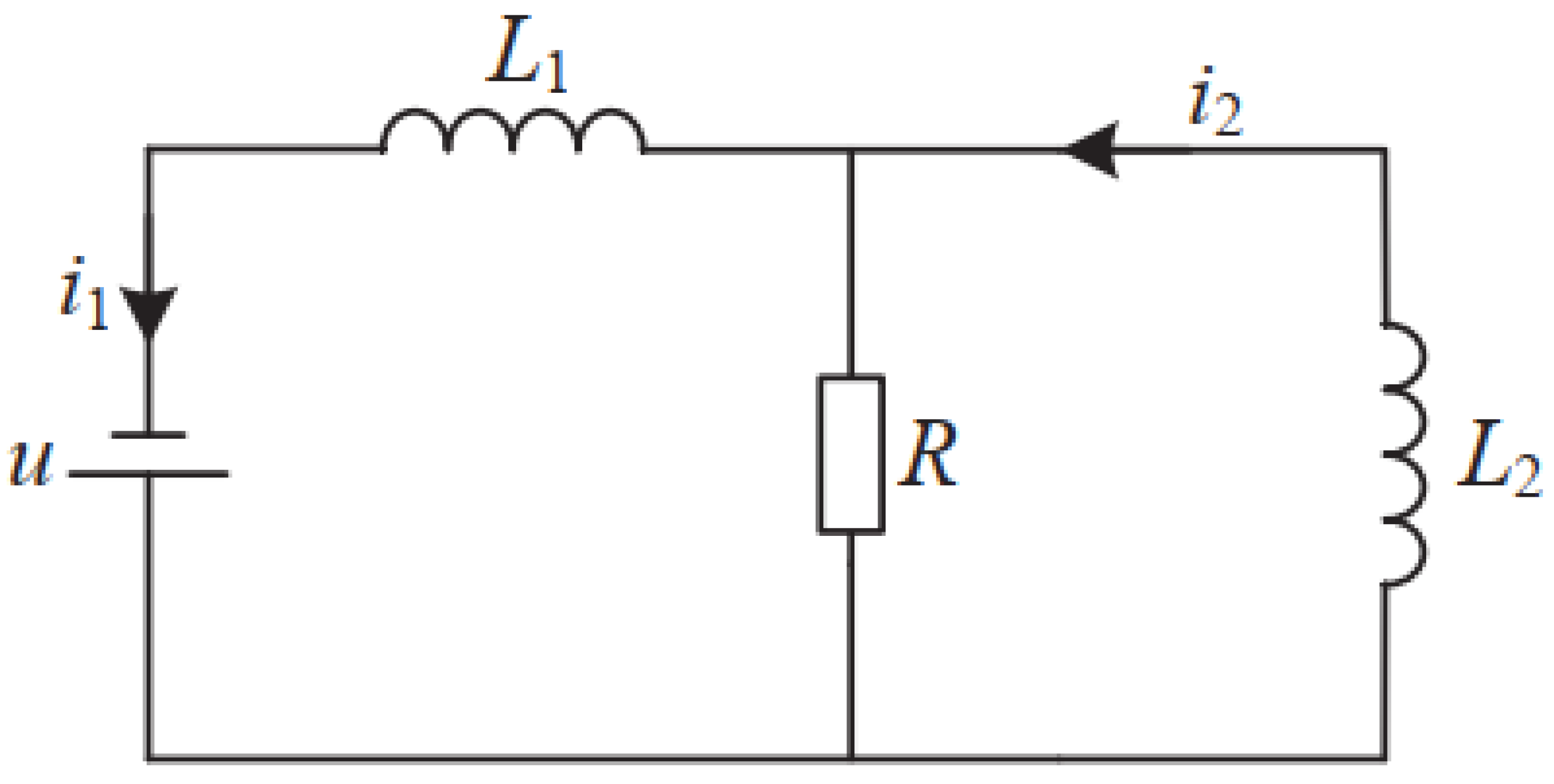
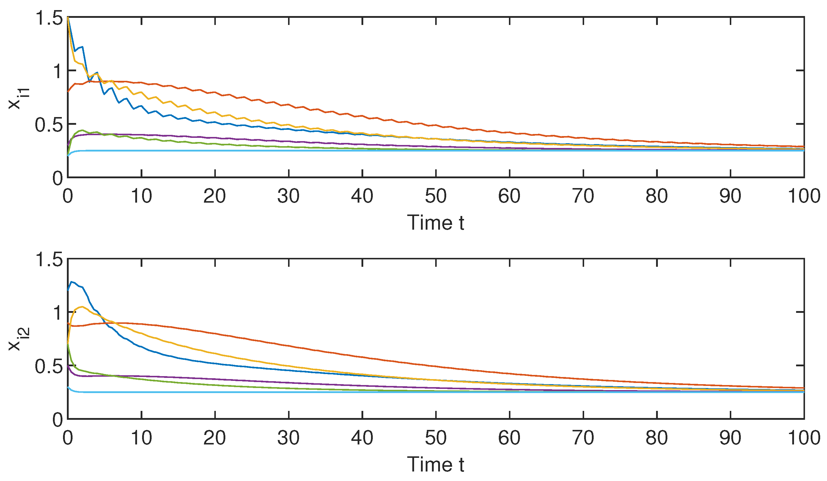
4.1. Example 1
4.2. Example 2
5. Conclusions
Author Contributions
Funding
Data Availability Statement
Conflicts of Interest
Appendix A
Appendix A.1. Proof of Theorem 1
References
- Zuo, S.; Wang, Y.; Rajabinezhad, M.; Zhang, Y. Resilient containment control of heterogeneous multi-agent systems against unbounded attacks on sensors and actuators. IEEE Trans. Control Netw. Syst. 2023, 11, 1537–1547. [Google Scholar] [CrossRef]
- Peng, Z.; Wang, D.; Li, T.; Han, M. Output-feedback cooperative formation maneuvering of autonomous surface vehicles with connectivity preservation and collision avoidance. IEEE Trans. Cybern. 2019, 50, 2527–2535. [Google Scholar] [CrossRef] [PubMed]
- Dou, C.X.; Liu, B. Multi-agent based hierarchical hybrid control for smart microgrid. IEEE Trans. Smart Grid 2013, 4, 771–778. [Google Scholar] [CrossRef]
- Wang, Z.; Shi, S.; He, W.; Xiao, M.; Cao, J.; Gorbachev, S. Observer-based asynchronous event-triggered bipartite consensus of multi-agent systems under false data injection attacks. IEEE Trans. Control Netw. Syst. 2023, 10, 1603–1615. [Google Scholar] [CrossRef]
- Wang, X.; Wang, X.; Su, H.; Lam, J. Coordination control for uncertain networked systems using interval observers. IEEE Trans. Cybern. 2019, 50, 4008–4019. [Google Scholar] [CrossRef] [PubMed]
- Huang, J.; Zhang, H.; Raïssi, T. Distributed interval estimation methods for multiagent systems. IEEE Syst. J. 2022, 17, 1843–1852. [Google Scholar] [CrossRef]
- Wang, X.; Su, H.; Jiang, G.P. Interval observer-based robust coordination control of multi-agent systems over directed networks. IEEE Trans. Circuits Syst. I Regul. Pap. 2021, 68, 5145–5155. [Google Scholar] [CrossRef]
- Xu, H. Dynamic event-triggered secure semi-global bipartite consensus of linear multi-agent systems with input saturation under DoS attacks. Int. J. Control Autom. Syst. 2024, 22, 1472–1484. [Google Scholar] [CrossRef]
- Wu, H.; Su, H. Observer-based consensus for positive multiagent systems with directed topology and nonlinear control input. Int. J. Control Autom. Syst. 2018, 49, 1459–1469. [Google Scholar] [CrossRef]
- Ji, J.; Zhang, Z.; Zuo, Z.; Wang, Y. Event-triggered global consensus of second-order multi-agent systems with asymmetric input saturation. Neurocomputing 2024, 574, 127287. [Google Scholar] [CrossRef]
- Liu, T.; Ma, C.Q.; Sheng, A.; Qi, G.; Li, Y. Observer-based adaptive output consensus for singular heterogeneous multiagent systems with input saturation. IEEE Syst. J. 2023, 17, 6033–6044. [Google Scholar] [CrossRef]
- Lin, Z. Global control of linear systems with saturating actuators. Automatica 1998, 34, 897–905. [Google Scholar] [CrossRef]
- Lin, Z. Low gain and low-and-high gain feedback: A review and some recent results. In Proceedings of the 2009 Chinese Control and Decision Conference, Guilin, China, 15–18 December 2009; pp. lii–lxi. [Google Scholar]
- Zhou, B.; Duan, G.; Lin, Z. A parametric Lyapunov equation approach to the design of low gain feedback. IEEE Trans. Autom. Control 2008, 53, 1548–1554. [Google Scholar] [CrossRef]
- Lin, Z.; Saberi, A. Semi-global exponential stabilization of linear systems subject to “input saturation” via linear feedbacks. Syst. Control Lett. 1993, 21, 225–239. [Google Scholar] [CrossRef]
- Zhang, Z.; Shen, J.; Qiu, H.; Fei, C. Semiglobal interval observer-based robust coordination control of multi-agent systems with input saturation. Asian J. Control 2024, 26, 3302–3313. [Google Scholar] [CrossRef]
- Qiu, H.; Shen, J. Analysis and stabilization of discrete-time positive systems with input saturation. Syst. Control Lett. 2024, 190, 105854. [Google Scholar] [CrossRef]
- Su, H.; Chen, M.Z.; Lam, J.; Lin, Z. Semi-global leader-following consensus of linear multi-agent systems with input saturation via low gain feedback. IEEE Trans. Circuits Syst. I Regul. Pap. 2013, 60, 1881–1889. [Google Scholar] [CrossRef]
- Su, H.; Chen, M.Z.; Wang, X.; Lam, J. Semiglobal observer-based leader-following consensus with input saturation. IEEE Trans. Ind. Electron. 2013, 61, 2842–2850. [Google Scholar] [CrossRef]
- Zhu, H.; Liu, J.; Zhang, Z.; Zhang, S.; Qu, F. Consensus control of multiagent systems under switching topology and denial-of-service attacks. IEEE Syst. J. 2023, 17, 5911–5919. [Google Scholar] [CrossRef]
- Qiu, H.; Shen, J.; Xing, W. Event-triggered secure control of positive networked control systems under multi-channels Attacks. Int. J. Robust Nonlinear Control 2025, 35, 630–641. [Google Scholar] [CrossRef]
- De Persis, C.; Tesi, P. Input-to-state stabilizing control under denial-of-service. IEEE Trans. Autom. Control 2015, 60, 2930–2944. [Google Scholar] [CrossRef]
- Du, S.; Yan, Q.; Dong, L.; Qiao, J. Secure consensus of multiagent systems with input saturation and distributed multiple DoS attacks. IEEE Trans. Circuits Syst. II Express Briefs 2021, 69, 2246–2250. [Google Scholar] [CrossRef]
- Wu, C.; Zhao, X.; Zhao, N.; Xu, N. Periodic and dynamic periodic event-triggered control for nonlinear cyber-physical systems under DoS attacks via a hybrid system approach. IEEE Trans. Control Netw. Syst. 2023, 11, 221–232. [Google Scholar] [CrossRef]
- Gong, X.; Basin, M.V.; Feng, Z.; Huang, T.; Cui, Y. Resilient Time-Varying Formation-Tracking of Multi-UAV Systems Against Composite Attacks: A Two-Layered Framework. IEEE/CAA J. Autom. Sin. 2023, 10, 969–984. [Google Scholar] [CrossRef]
- Du, S.; Yan, Q.; Gao, Y.; Wang, C. Secure consensus of multiagent systems with input saturation and DoS attacks. In Proceedings of the 2020 39th Chinese Control Conference (CCC), Shenyang, China, 27–30 July 2020; pp. 4807–4812. [Google Scholar]
- Zhao, G.; Wang, Z.; Fu, X. Fully distributed dynamic event-triggered semiglobal consensus of multi-agent uncertain systems with input saturation via low-gain feedback. Int. J. Control Autom. Syst. 2021, 19, 1451–1460. [Google Scholar] [CrossRef]
- Yu, Z.; Huang, D.; Jiang, H.; Hu, C.; Yu, W. Distributed consensus for multiagent systems via directed spanning tree based adaptive control. SIAM J. Control Optim. 2018, 56, 2189–2217. [Google Scholar] [CrossRef]
- Liu, J.J.; Kwok, K.W.; Cui, Y.; Shen, J.; Lam, J. Consensus of positive networked systems on directed graphs. IEEE Trans. Neural Netw. Learn. Syst. 2021, 33, 4575–4583. [Google Scholar] [CrossRef] [PubMed]













| Symbol | Definition |
|---|---|
| The set of non-negative integers | |
| The p-dimensional vector | |
| The space of real matrices | |
| I | The identity matrix of appropriate dimension |
| The eigenvalues of matrix | |
| ⊗ | The Kronecker product |
| The ∞-norm of an n-dimensional vector | |
| x | The state vector |
| y | The output vector |
| u | The input vector |
| A | The state matrix |
| B | The control matrix |
| C | The output matrix |
| The standard vector-valued saturation function | |
| The number of DoS attacks | |
| The frequency of DoS attacks | |
| The total duration of DoS attacks | |
| The average duration of DoS attacks | |
| L | The Laplacian matrix of the communication topology graph |
| The estimated state of x | |
| G | The observer gain |
Disclaimer/Publisher’s Note: The statements, opinions and data contained in all publications are solely those of the individual author(s) and contributor(s) and not of MDPI and/or the editor(s). MDPI and/or the editor(s) disclaim responsibility for any injury to people or property resulting from any ideas, methods, instructions or products referred to in the content. |
© 2025 by the authors. Licensee MDPI, Basel, Switzerland. This article is an open access article distributed under the terms and conditions of the Creative Commons Attribution (CC BY) license (https://creativecommons.org/licenses/by/4.0/).
Share and Cite
Dong, X.; Ouyang, Q. Semi-Global Observer-Based Secure Consensus of Multi-Agent Systems with Input Saturation and Denial-of-Service Attacks. Electronics 2025, 14, 878. https://doi.org/10.3390/electronics14050878
Dong X, Ouyang Q. Semi-Global Observer-Based Secure Consensus of Multi-Agent Systems with Input Saturation and Denial-of-Service Attacks. Electronics. 2025; 14(5):878. https://doi.org/10.3390/electronics14050878
Chicago/Turabian StyleDong, Xinyue, and Quan Ouyang. 2025. "Semi-Global Observer-Based Secure Consensus of Multi-Agent Systems with Input Saturation and Denial-of-Service Attacks" Electronics 14, no. 5: 878. https://doi.org/10.3390/electronics14050878
APA StyleDong, X., & Ouyang, Q. (2025). Semi-Global Observer-Based Secure Consensus of Multi-Agent Systems with Input Saturation and Denial-of-Service Attacks. Electronics, 14(5), 878. https://doi.org/10.3390/electronics14050878

