Next Article in Journal
Testing and Verification of Connected and Autonomous Vehicles: A Review
Next Article in Special Issue
Magnetic and Temperature Effects on Optical Quantum Transition Line Properties in Electron-Piezoelectric Phonon Coupled Materials Under Square Well Confinement Potential
Previous Article in Journal
Real-Time Adaptive and Lightweight Anomaly Detection Based on a Chaotic System in Cyber–Physical Systems
Previous Article in Special Issue
Cryo-CMOS Multi-Frequency Modulator for 2-Qubit Controller
 
 
Font Type:
Arial Georgia Verdana
Font Size:
Aa Aa Aa
Line Spacing:
Column Width:
Background:
Article

Tunneling Current in a Double Quantum Dot Driven by Two-Mode Microwave Photons

1
School of Engineering, Guangzhou College of Technology and Business, Foshan 528138, China
2
Guangdong Provincial Key Laboratory of Nanophotonic Functional Materials and Devices, School of Optoelectronic Science and Engineering, South China Normal University, Guangzhou 510006, China
3
Guangdong Basic Research Center of Excellence for Structure and Fundamental Interactions of Matter, School of Optoelectronic Science and Engineering, South China Normal University, Guangzhou 510006, China
*
Author to whom correspondence should be addressed.
Electronics 2025, 14(3), 599; https://doi.org/10.3390/electronics14030599
Submission received: 19 November 2024 / Revised: 17 January 2025 / Accepted: 31 January 2025 / Published: 3 February 2025
(This article belongs to the Special Issue Quantum and Optoelectronic Devices, Circuits and Systems, 2nd Edition)

Abstract

In this study, a model of a double-quantum-dot system driven by two-mode microwave photons is presented. The quantum master equation is derived from the system’s Hamiltonians, and the expression for the steady-state current is obtained. Electronic tunneling properties are then analyzed. The results revealed that different two-mode quantum microwave photons have varying effects on the tunneling current within the double-quantum-dot system, with a steplike current trend emerging. The tunneling current showed pronounced negative differential conductance for both coherent and squeezed microwave photons. Furthermore, the tunneling current was significantly influenced by changing the squeezing coefficient and phase. The asymmetric evolution of the tunneling current under varying bias voltages also depends on the asymmetry in system parameters. These findings are crucial for manipulating the transport properties of double-quantum-dot systems in nanostructured devices.

1. Introduction

Mesoscopic and nanostructured devices offer numerous advantages and have gained widespread use in recent years [1]. The electronic states and optical properties of mesoscopic nanostructured quantum dot systems can be controlled via external fields, enabling applications in detecting light–matter interactions in circuit quantum electrodynamics and in designing quantum information devices [2]. The study of coupling optical cavities with mesoscopic nanostructured quantum dots has attracted considerable attention, with rapid progress made in both experimental and theoretical research [3,4,5]. Microwave parameters, such as the phase coherence time of qubits, can now be measured, overcoming challenges faced by traditional methods.
In quantum dot transport systems, photon-assisted tunneling currents provide valuable tools for analyzing the electronic and optical properties of coupled quantum dots [6]. Additionally, photocurrent spectra can unveil quantum optical phenomena in mesoscopic nanostructured quantum dot systems [7]. For instance, in 2018, X. Mi and M. Benito et al. demonstrated the strong coupling between a single spin in silicon and a single photon in the microwave band, with a coupling rate exceeding 10 MHz. This study highlights how coherent single-spin controllability and single-spin dispersion readouts offer new approaches for realizing single-spin entanglement of photons in the microwave band [8]. The authors of [9] employed spectral probes to investigate the effect of electron–phonon interactions on optoelectronic dynamics in coupled quantum dot systems. Furthermore, Hartke et al. explored methods for detecting electron–phonon interactions in coupled double quantum dots using microwave signals and analyzed their mechanisms [10].
These studies are crucial for leveraging quantum dots to regulate microwave signals and for detecting quantum and optical properties of quantum dot systems in the microwave background. While most research focuses on the quantum transport properties of single-mode quantum-state photons interacting with a single quantum dot [11], the importance of quantum transport properties in multi–quantum dot systems driven by multimode microwave photons cannot be overstated [12]. Multimode squeezed-state microwave photons exhibit a range of unique characteristics. For example, they disrupt the quadrature noise associated with the classical state of microwave photons and have no direct counterparts in classical optics. Additionally, their quantum statistical properties differ significantly from classical statistics [13]. The use of multimode squeezed states in weak signal detection, gravitational wave detection, precision measurement, optical communication, and quantum information processing has sparked extensive and in-depth research. C.F. Kam and X.D. Hu studied the dispersive readout of a single spin in a semiconductor double quantum dot coupled with a microwave resonator [14]. Ref. [15] examines the theoretical aspects of optical bistability in a double quantum dot injected with a squeezed vacuum state. By utilizing dual-mode compressed microwave photons associated with the mode field to control different quantum dots, this study sought to explore the impact of mode correlation on the coupling between the quantum dots, ultimately affecting the system’s electronic transport characteristics. However, a more detailed analysis of the tunneling current in double-quantum-dot systems driven by two-mode microwave photons is still required.
In this study, the quantum master equation is derived from the Hamiltonian of quantized microwave photons. The tunneling current is numerically analyzed and discussed for a double-quantum-dot system driven by two-mode microwave photons.

2. The Model

Embedding double quantum dots into microwave cavities has attracted significant experimental attention [1]. Figure 1 presents a schematic diagram of a double-quantum-dot system coupled with a two-mode microwave cavity that is based on an actual experimental system [1]. Here, the hybrid nanocircuit is a double-quantum-dot fabricated out of a carbon nanotube on top of which source, drain, and top DC gates have been deposited. The double dot is coupled capacitively with the cavity central conductor [1]. The quantum dot is modeled as a single-level system, with modes a and b representing the two modes of the microwave cavity. L-QD and R-QD refer to the left and right quantum dots, respectively. In this work, we focus on the influence of different quantum-state microwave photons on the electronic tunneling characteristics of double-quantum-dot systems, without considering microwave losses.

3. The Hamiltonian

Based on Figure 1, the total Hamiltonian of the system can be written as H = H l e a d s + H d + H d l + H o p t + H d o + H T . The Hamiltonian expressions for each part are detailed below.
The first part, H l e a d s , corresponds to the Hamiltonian of the left and right electrodes (L, R):
H l e a d s = k ħ ε L k c L k c L k + ħ ε R k c R k c R k ,
where ħ is the Planck constant, ħ ε L k denotes electronic energy levels, and c L k ( c L k ) and c R k ( c R k ) are the creation (annihilation) operators for electrons with the wave vector k in the left and right electrodes, respectively.
H d represents the Hamiltonian for the double quantum dots, which is given by:
H d = ħ ε L d L d L + ħ ε R d R d R ,
where d L ( d L ) and d R ( d R ) are the corresponding electron creation (annihilation) operators at the left and right quantum dots. ħ ε L and ħ ε R are the energy levels at the left and right quantum dots, respectively.
The Hamiltonian for the direct tunneling between the double quantum dots and the electrodes is expressed as:
H d l = k ħ T L c L k d L + T R c R k d R + H . c . ,
where T L and T R are the tunneling coefficients between the left and right electrodes and the quantum dot, respectively. The Coulomb repulsion on quantum dots is assumed to be infinite.
H o p t represents the Hamiltonian of two-mode microwave photons, which can be written as:
H o p t = ħ ω a a a + ħ ω b b b ,
where a ( a ) and b ( b ) are the creation (annihilation) operators of photons corresponding to frequency ω a and ω b .
The fifth part, H d o , is the Hamiltonian of the interaction between the double quantum dots and microwave photons, which can be written as:
H d o = ħ λ a ( a + a ) d L d L + ħ λ b ( b + b ) d R d R ,
where λ a and λ b are the coupling coefficients between quantum dots and photon modes.
The final section, H T , describes the tunneling between double quantum dots, written as:
H T = ħ t d d L d R + ħ t d d R d L .
where t d represents the tunneling coefficient between double quantum dots.

4. The Master Equation

By applying a canonical transformation, the electron–photon coupling term in the Hamiltonians can be eliminated, H ˜ = e s H e s [16], where s = λ a ω a ( a a ) d L d L + λ b ω b ( b b ) d R d R . Therefore, the original Hamiltonian is transformed into H ˜ = H ˜ o p t + H ˜ d + H ˜ d l + H ˜ T , and the Hamiltonian of each part is expressed as follows:
H ˜ o p t = ħ ω a a a + ħ ω b b b ,
H ˜ d = ħ ε ˜ L d L d L + ħ ε ˜ R d R d R ,
H ˜ d l = k ħ T L ˜ c L k d L + T R ˜ c R k d R + H . c ,
H ˜ T = ħ t ˜ R L d L d R + ħ t ˜ L R d R d L ,
where ε ˜ L = ε L λ a 2 ω a , ε ˜ R = ε R λ b 2 ω b , T L ˜ = T L e λ a ω a ( a a ) , T R ˜ = T R e λ b ω b ( b b ) , t ˜ R L = t d e λ a ω a ( a a ) e λ b ω b ( b b ) = t d X a X b , t ˜ L R = t d e λ a ω a ( a a ) e λ b ω b ( b b ) = t d X a X b , X a = e λ a ω a ( a a ) , X b = e λ b ω b ( b b ) , and t ˜ R L = t ˜ L R .
To study an open quantum system, such as one in which double quantum dots interact with microwave photons and couple with the left and right electrodes, the reduced density matrix of the system, denoted as ρ , is obtained by tracing over the electronic reservoir and the microwave photons. Then, using the Born–Markov approximation, we can obtain the following master equation [16,17,18]:
ρ = i [ ε ˜ L d L d L + ε ˜ R d R d R , ρ ] i t d [ M R L d L d R + M L R d R d L , ρ ]       + w O L D [ d L ] ρ + w L O D [ d L ] ρ + w O R D [ d R ] ρ + w R O D [ d R ] ρ ,
where the letter O of the w O R ( L ) is related to the microwave photons, M R L = M L R = exp 1 2 ( λ a ω a ) 2 + ( λ b ω b ) 2 ( 2 sin h 2 r + 1 ) λ a ω a λ b ω b cos θ sin h 2 r , r is a squeezing parameter, the superoperator D refers to the expression, which is D A ρ = A ρ A 1 2 [ A A ρ + ρ A A ] , and w O L , w L O , w O R , and w R O denote the tunneling rates between the left quantum dot and left electrode and the right quantum dot and right electrode. The master equation is justified within the limit t d T R ( L ) m a x e V , k B T , where T denotes the temperature of the lead electrons and k B is the Boltzmann constant.
In our double-quantum-dot systems, the distance between the double quantum dots is so small that only one electron can occupy the double quantum dots at a time. Thus, the states of double quantum dots can be presented as follows: | 0 (vacuum state), | 1 (the left dot occupied by one electron), and | 2 (the right dot occupied by one electron). w = w O L + w L O + w O R + w R O . We can obtain the differential equations of matrix elements for the rate equations [16] from Equation (8):
ρ 00 = ( w O L + w O R ) ρ 00 + w L O ρ 11 + w R O ρ 22 ,
ρ 11 = i t d ( M L R ρ 21 M R L ρ 12 ) ( w O R + w L O ) ρ 11 + w O L ρ 00 ,
ρ 22 = i t d ( M R L ρ 12 M L R ρ 21 ) ( w O L + w R O ) ρ 22 + w O R ρ 00 ,
ρ 12 = i t d M L R ( ρ 22 ρ 11 ) i ( ε L ˜ ε R ˜ ) ρ 12 w ρ 12 / 2 ,
ρ 21 = i t d M R L ( ρ 22 ρ 11 ) + i ( ε L ˜ ε R ˜ ) ρ 21 w ρ 21 / 2 ,
The tunneling rates between the left quantum dot and left electrode and the right quantum dot and right electrode can be obtained using the following equations [17,18]:
w O L = d ω 2 π Γ L f L ( ħ ε ˜ + ħ ω ) F < ( ω ) ,
w L O = d ω 2 π Γ L ( 1 f L ( ħ ε ˜ ħ ω ) ) F > ( ω ) ,
w O R = d ω 2 π Γ R f R ( ħ ε ˜ + ħ ω ) F < ( ω ) ,
w R O = d ω 2 π Γ R ( 1 f R ( ħ ε ˜ + ħ ω ) ) F > ( ω ) ,
where Γ j = 2 π ρ j k T k , j 2 , with ρ j being the constant density of states in lead j (L, R) and f j is the Fermi distribution function of an electrode. F > < ( ω ) is the Fourier transform of the boson correlation function of X a b t X b a and X a b t X b a with the time t . The average value of the operator is calculated based on the equilibrium state. If ω a ,   ω b and λ are greater than the coupling coefficient between quantum dots and electrodes, this single-particle approximation is effective [17].
Then, the steady-state solution of the matrix under non-diagonal conditions is as follows [16]:
ρ 12 = t d M L R [ ε L ˜ ε R ˜ ] i w / 2 ( ρ 22 ρ 11 ) ,
ρ 21 = t d M R L [ ε L ˜ ε R ˜ ] + i w / 2 ( ρ 22 ρ 11 ) ,
When the microwave photons are in a bimodal squeezed state, D α L D α R S G | 0 ,
w O j = n = Γ j f j ( ħ ε j ˜ + n ħ ω ) e ζ j 2 ( 2 sin h 2 r + 1 ) ζ j sin h 2 r α j ζ j sin h 2 r + α j I n ( 2 ζ j ( ζ j sin h 2 r 2 ) 2 α j ζ j α j 2 ) ,
w j O = n = Γ j ( 1 f j ( ħ ε j ˜ n ħ ω ) ) e ζ j 2 ( 2 sin h 2 r + 1 ) ζ j cos h 2 r α j ζ j sin h 2 r + α j I n ( 2 ζ j ( ζ j sin h 2 r 2 ) 2 + α j ζ j α j 2 ) ,
where ζ j = λ a ( b ) ω a ( b ) , the displacement operators D α L = exp α L a α L a and D α R = e x p ( α R b α R b ) with parameter α j , and S G = e x p ( G * a b G a b ) , G = r e i θ with the phase θ. Without loss of generality, α j is specified as a real number. When r = 0, it is in a two-mode coherent state, and when α L = α R = 0 it is in a squeezed vacuum state. When the microwave photons are in a thermal state, the tunneling rates between quantum dots and electrodes can be referred to, as reported in reference [19].
If we define [16]:
V = w M L R M R L w 2 / 4 + ε L ˜ ε R ˜ 2 ,
then the steady-state current is as follows [16]:
I = e t d 2 V ( w O L w R O w O R w L O ) t d 2 V ( 2 w O L + 2 w O R + w L O + w R O ) + w O R w L O + w O L w R O + w L O w R O
where e represents the charge of an electron.
Thus, we obtain the current expression in the double-quantum-dot system driven by two-mode microwave photons. I(V) will be an odd function if the system is studied with symmetric parameters, while the current is no longer an antisymmetric voltage function for asymmetric parameter setting.

5. Results and Discussion

We now discuss the evolution characteristics of the tunneling current in a double-quantum-dot system driven by two-mode microwave photons. The effective energy level is set as ħ ε ˜ L R = E 0 = ħ ε L R + e V g L R ħ λ a b 2 / ω a b , where V g L ( R ) is the gate voltage. μ L ( μ R ) is the chemical potential of the left (right) electrode, taking μ L ( R ) = E F ± e V b i a s / 2 , where E F = 0 is the equilibrium chemical potential without a gate voltage and electrodes and V b i a s is the bias voltage between the two electrodes. We also assume the tunneling rate Γ j as Γ L = Γ R = 0.6 , t d = 0.2 and photon frequency as ω L = ω R = ω 0 = 1 . The energy is based on ω 0 , which is the unit in this study; therefore, the bias voltage Vbias is shown according to units of ħ ω 0 / e and the current I is in units of e ω 0 . β = 1 / k B T = 20 denotes the inverse temperature of the lead electrons. Microwave wavelengths range from 1 mm to 1 m, corresponding to temperatures from 0.72 K to 0.72 mK for β = 20 . This can be achieved through precise refrigeration systems and advanced laboratory designs [20].
Figure 2, Figure 3, Figure 4, Figure 5, Figure 6 and Figure 7 shows that the average tunneling current varies with the bias voltage Vbias. The steplike currents appear for different quantum-state microwave photons. As Vbias increases, the photon-assisted resonant tunneling channels are opened one after another, and the step height gradually decreases. This is similar to the results of electron–phonon coupling or AC-driven nanostructure systems. When the intensity of all squeezed states of microwave photons is fixed, the average tunneling current tends to saturate the current at higher values of Vbias, and the current has different step heights at lower values of Vbias. These results differ from those of classical systems, where the current remains nearly constant for different external microwave photon intensities [21,22].
Figure 2 shows the characteristics of electron transport in double quantum dots for vacuum-state microwave photons and a squeezed-state vacuum with different squeezing coefficients. For a squeezed vacuum, as the bias voltage Vbias increases, the average current initially remains unchanged, and then it gradually increases until it reaches a certain value, tending toward saturation. During this process, there is a multistep phenomenon. The green curve shows that the average current amplitude for the vacuum-state microwave photons is larger than that of the squeezed vacuum, and the squeezing coefficient increases relative to the red, blue, cyan, and pink curves. The average current amplitude decreases, but the number of steps increases. This is because the vacuum fluctuation increases as the squeezing coefficient increases, resulting in the blocking of tunneling electrons and suppressing the tunneling current.
Figure 3 shows the characteristics of electron tunneling currents in double quantum dots for vacuum microwave photons and squeezed vacuum microwave photons (green curve) with different phases relative to the red, blue, and pink curves. For squeezed vacuums, as the bias voltage Vbias increases, the average current initially remains unchanged. Then, it gradually increases until it reaches a certain value and tends to saturate. During this process, a multistep phenomenon occurs. The tunneling current amplitude changes with the phase change and the number of steps also changes for squeezed vacuum microwave photons. The phase affects the correlation between the two modes, which can be inferred from Equation (13), in which the phase affects the tunneling rate between the left and right quantum dots.
Figure 3. The electron tunneling current varies with Vbias when the phase of the squeezed vacuum microwave photons is different: ε ˜ L = ε ˜ R = 0 , λ L = λ R = 0.8 , and α L = α R = 0 .
Figure 3. The electron tunneling current varies with Vbias when the phase of the squeezed vacuum microwave photons is different: ε ˜ L = ε ˜ R = 0 , λ L = λ R = 0.8 , and α L = α R = 0 .
Electronics 14 00599 g003
Figure 4 shows the characteristics of electron tunneling currents in double quantum dots with varying Vbias for different quantum-state microwave photons. The average current initially remains constant as the bias voltage increases, then gradually increases and eventually tends to saturate, resulting in a multistep phenomenon. The average current amplitude for vacuum-state (green curve) and coherent-state microwave photons is relatively large, while the amplitude for thermal microwave photons is the smallest (black curve). It can also be observed in Figure 4 that the tunneling current exhibits negative differential conductance for coherent microwave photons. As the squeezing parameter increases relative to the red, blue, and pink curves, the saturation current of the tunneling current gradually decreases, while the negative differential conductance decreases progressively until it vanishes. This is due to the fact that as the squeezing coefficient increases, the fluctuation of the vacuum microwave photons also increases, leading to the blocking of tunneling electrons and suppression of the tunneling current.
Figure 4. The electron tunneling current varies with Vbias for different quantum-state microwave photons: ε ˜ L = ε ˜ R = 0 , λ L = λ R = 0.8 , and α L = α R = 0.7 .
Figure 4. The electron tunneling current varies with Vbias for different quantum-state microwave photons: ε ˜ L = ε ˜ R = 0 , λ L = λ R = 0.8 , and α L = α R = 0.7 .
Electronics 14 00599 g004
Furthermore, according to the literature [23], when the probability of electrons occupying the left quantum dot does not match the probability of occupation for the right quantum dot, negative differential conductance occurs. At this point, some electrons transition from the left electrode to the left quantum dot and then return to the left electrode, resulting in negative differential conductance at certain voltages. However, as the squeezing coefficient of the microwave photons increases, the correlation between the two modes of microwave photons interacting with the left and right quantum dots strengthens, matching the probability of electrons occupying both dots, leading to the disappearance of negative differential conductance.
Figure 5 shows the characteristics of electron tunneling currents in double quantum dots with varying Vbias for different quantum-state microwave photons with the same parameters as in Figure 4 in addition to λ L = λ R = 1.0 . By comparing Figure 5 with Figure 4, it is evident that more steps appear as the coupling strength between the microwave photons and quantum dots increases. This is because the channel-blocking effect becomes stronger at the same bias voltage as the coupling strength increases, and more photon sidebands enter the bias window.
Figure 5. The electron tunneling current varies with Vbias for different quantum-state microwave photons with the same parameters as Figure 4 plus λ L = λ R = 1.0 .
Figure 5. The electron tunneling current varies with Vbias for different quantum-state microwave photons with the same parameters as Figure 4 plus λ L = λ R = 1.0 .
Electronics 14 00599 g005
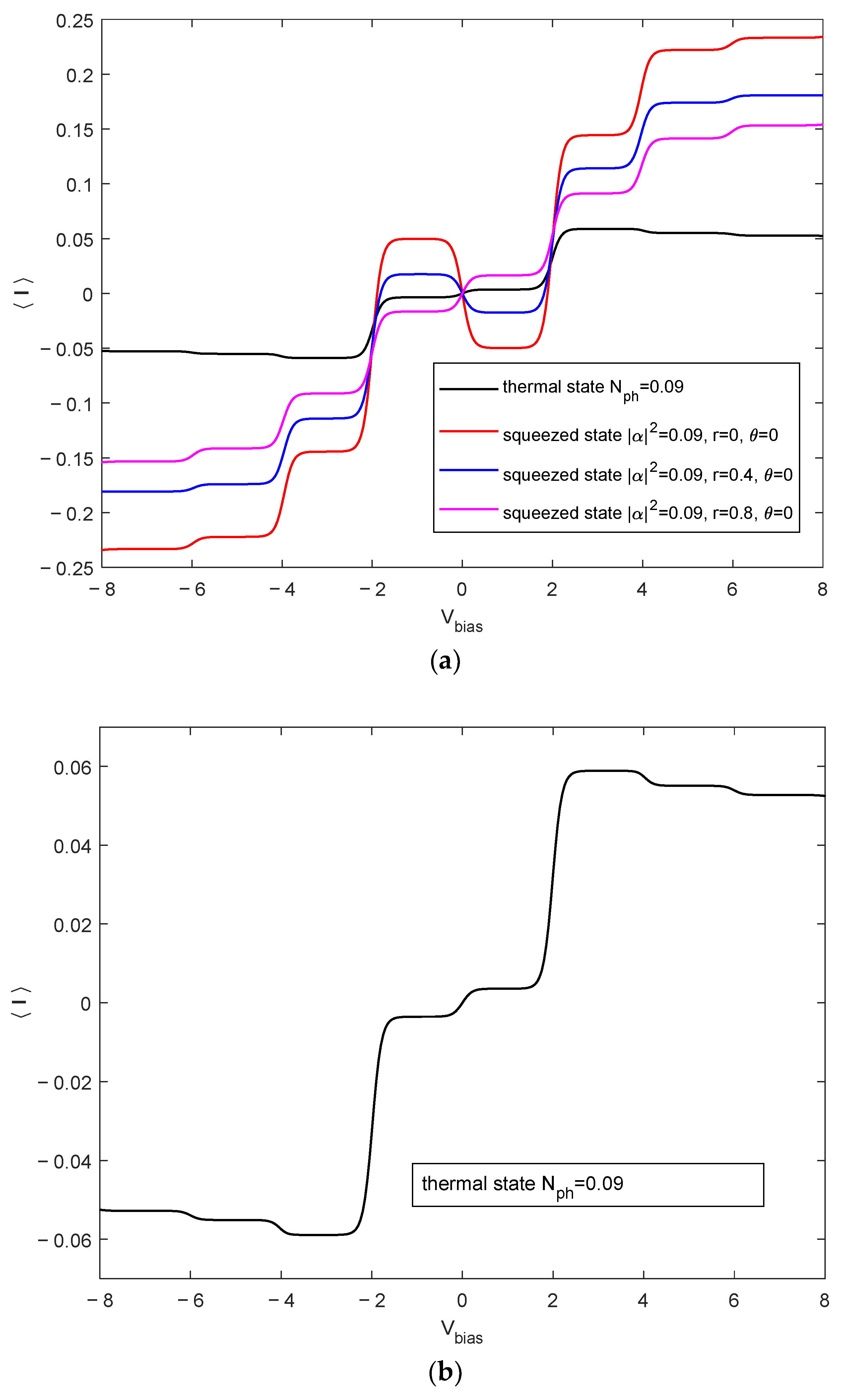
Comparing Figure 6 with Figure 4, the primary differences are the effective energy levels of the quantum dots and the photon intensities for different coherent squeezed-state and thermal-state microwave photons. The characteristics of electron transport with respect to Vbias in double quantum dots show a more pronounced negative differential conductance for the coherent states, though they are similar to those in Figure 4. Figure 6b contains detailed depictions of the thermal state related to the black curve in Figure 6a, which shows that negative differential conductance also occurs for thermal-state microwave photons.
Figure 6. The electron tunneling current varies with Vbias for (a) different quantum-state microwave photons and (b) detail view for thermal-statemicrowave photons: ε ˜ L = ε ˜ R = 1 , λ L = λ R = 0.8 , and α L = α R = 0.3 .
Figure 6. The electron tunneling current varies with Vbias for (a) different quantum-state microwave photons and (b) detail view for thermal-statemicrowave photons: ε ˜ L = ε ˜ R = 1 , λ L = λ R = 0.8 , and α L = α R = 0.3 .
Electronics 14 00599 g006
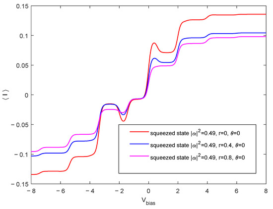
In contrast to Figure 4, the effective energy levels of the left and right quantum dots in Figure 7 are asymmetric and the coupling coefficients with the microwave photons are also asymmetric. By comparing the coefficients in reference [16] and Equation (12) in this article, it can be seen that different quantum states affect the tunneling rate Γ j between the quantum dot system and electrode, meaning that the probability of different numbers of photons participating in transport varies, leading todifferent electronic transport characteristics of the system.
Figure 7. The electron tunneling current varies with Vbias for different squeezed-state microwave photons: ε ˜ L = 0 , ε ˜ R = 0.7 , λ L = 0.5 , λ R = 0.8 , and α L = α R = 0.7 .
Figure 7. The electron tunneling current varies with Vbias for different squeezed-state microwave photons: ε ˜ L = 0 , ε ˜ R = 0.7 , λ L = 0.5 , λ R = 0.8 , and α L = α R = 0.7 .
Electronics 14 00599 g007
As shown in Figure 7, the asymmetric parameter setting leads to the asymmetric evolution of tunneling currents with variations in the bias voltage. In addition, according to the analysis of references [23,24], which investigated microwave photons using the classical time-dependent method, there is no negative differential conductivity in the presence of a thermal state for asymmetric cases. However, Figure 5, Figure 6 and Figure 7 show that in coherent and squeezed states, tunneling currents actually exhibit significant negative differential conductivity. This is because the effective coupling coefficient between the quantum dot and the electrode is different when a different number of photons participate in the auxiliary electron transport (refer to the coefficient related to n in Equation (12)) as the voltage increases. Therefore, if the effective coupling coefficient becomes smaller when the voltage increases, the current will become smaller and negative differential conductivity will occur.

6. Conclusions

In this study, we proposed a model for a double-quantum-dot system driven by two-mode microwave photons, derived the quantum master equation, and obtained the current expression. We also analyzed the electronic tunneling transport properties. The results demonstrate that the interaction between two-mode quantum-state microwave photons and the double quantum dots significantly affects the tunneling current in the system. A similar trend in steplike current changes was observed for different two-mode quantum-state microwave photons. As Vbias increases, the step height gradually decreases. However, the specific evolution characteristics of the tunneling current vary considerably with the variation in Vbias, depending on the quantum state of the microwave photons. The tunneling current is significantly influenced by changes in the squeezing coefficient and phase for squeezed-vacuum and squeezed states. Moreover, negative differential conductance is clearly exhibited in the cases of coherent and squeezed coherent states, making them potentially useful for logic circuits [25]. The asymmetric evolution of the tunneling current with changes in bias voltage occurs under asymmetric conditions.
The findings show that electron tunneling characteristics in double quantum dots can be controlled by adjusting parameters such as the bias voltage, squeezing coefficient, phase of squeezed microwave photons, the coupling coefficient between the quantum dots and microwave photons, and the energy levels of the quantum dots. Negative differential conductance has promising potential for applications in all-optical switches, low-power memory devices, and logic circuits. We also found that different quantum states have varying effects on the dynamics of electron tunneling, especially on negative differential conductance characteristics. These results provide a new approach for actively controlling electron tunneling transport in quantum dot systems through the quantum states of microwave photons. Therefore, the findings are of great significance for manipulating electron tunneling properties in nanostructured devices and for designing new quantum devices.

Author Contributions

Both authors prepared the manuscript and contributed to the concepts and theoretical results reported in this article. Numerical calculations were carried out by W.L. All authors have read and agreed to the published version of the manuscript.

Funding

This research was funded by the Key Discipline Research Capability Enhancement Project of Guangdong Province (2024ZDJS087), Foshan self-funded scientific and technological innovation Project (2420001004706), the Key Project of DEGP (2022KTSCX166 and 2024KTSCX149), and the National Natural Science Foundation of China (61774062 and 62175070).

Data Availability Statement

The original contributions presented in this study are included in the article. Further inquiries can be directed to the corresponding author.

Conflicts of Interest

The authors declare no conflict of interest.

References

  1. Cottet, A.; Dartiailh, M.C.; Desjardins, M.M.; Cubaynes, T.; Contamin, L.C.; Delbecq, M.; Viennot, J.J.; E Bruhat, L.; Douçot, B.; Kontos, T. Cavity QED with hybrid nanocircuits: From atomic-like physics to condensed matter phenomena. J. Phys. Condens. Matter 2017, 29, 433002. [Google Scholar] [CrossRef]
  2. Petersson, K.D.; Schroer, M.D.; McFaul, L.W.; Schroer, M.D.; Jung, M.; Taylor, J.M.; Houck, A.A.; Petta, J.R. Circuit quantum electrodynamics with a spin qubit. Nature 2012, 490, 380–383. [Google Scholar] [CrossRef] [PubMed]
  3. Toida, H.; Nakajima, T.; Komiyama, S. Vacuum Rabi Splitting in a Semiconductor Circuit QED System. Phys. Rev. Lett. 2013, 110, 066802. [Google Scholar] [CrossRef]
  4. Wilson, R.M. Silicon-based quantum dots have a path to scalable quantum computing. Phys. Today 2018, 71, 17–20. [Google Scholar] [CrossRef]
  5. Yang, K.H.; Guo, H.W.; Wang, H.Y.; Wei, Z.-J.; Liang, X.-H. Photon-assisted destructive interference through a parallel-coupled double quantum dots. Phys. E 2024, 162, 115979. [Google Scholar] [CrossRef]
  6. Mii, T.; Makoshi, K.; Ueba, H. Theory of photon-assisted tunneling through quantum dot. Surf. Sci. 2001, 493, 575–584. [Google Scholar] [CrossRef]
  7. Foden, C.L.; Whittaker, D.M. Quantum electrodynamic treatment of photon-assisted tunneling. Phys. Rev. B 1998, 58, 12617. [Google Scholar] [CrossRef]
  8. Mi, X.; Benito, M.; Putz, S.; Zajac, D.M.; Taylor, J.M.; Burkard, G.; Petta, J.R. A coherent spin-photon interface in silicon. Nature 2018, 555, 7698. [Google Scholar] [CrossRef]
  9. Gullans, M.J.; Taylor, J.M.; Petta, J.R. Probing electron-phonon interactions in the charge-photon dynamics of cavity-coupled double quantum dots. Phys. Rev. B 2018, 97, 035305. [Google Scholar] [CrossRef]
  10. Hartke, T.R.; Liu, Y.Y.; Gullans, M.J.; Petta, J.R. Microwave Detection of Electron-Phonon Interactions in a Cavity-Coupled Double Quantum Dot. Phys. Rev. Lett. 2018, 120, 097701. [Google Scholar] [CrossRef] [PubMed]
  11. Hu, G.; Hu, J.; Wang, S.; Li, R.; Yan, Y.; Luo, J. Spin-resolved counting statistics as a sensitive probe of spin correlation in transport through a quantum dot spin valve. J. Phys. Condens. Matter 2024, 36, 295301. [Google Scholar] [CrossRef]
  12. Rohrmeier, C.; Donarini, A. Precession of entangled spin and pseudospin in double quantum dots. Phys. Rev. B 2022, 105, 205418. [Google Scholar] [CrossRef]
  13. Shang, R.; Li, H.O.; Cao, G.; Xiao, M.; Tu, T.; Jiang, H.; Guo, G.-C.; Guo, G.-P. Photon-assisted-tunneling in a coupled double quantum dot under high microwave excitation powers. Appl. Phys. Lett. 2013, 103, 162109. [Google Scholar] [CrossRef]
  14. Kam, C.F.; Hu, X.D. Submicrosecond high-fidelity dispersive readout of a spin qubit with squeezed photons. Phys. Rev. A 2024, 109, L040402. [Google Scholar] [CrossRef]
  15. Amoun, Y.; Kandil, I.; Ahmed, A. Electro-Optic Switching in a Double Quantum Dot Injected with a Squeezed Vacuum Field. J. Russ. Laser Res. 2021, 42, 512–522. [Google Scholar] [CrossRef]
  16. Walter, S.; Trauzettel, B.; Schmidt, T.L. Transport properties of double quantum dots with electron-phonon coupling. Phys. Rev. B 2013, 88, 195425. [Google Scholar] [CrossRef]
  17. Flensberg, K. Tunneling broadening of vibrational sidebands in molecular transistors. Phys. Rev. B 2003, 68, 205323. [Google Scholar] [CrossRef]
  18. Ou-Yang, S.H.; Lam, C.H.; You, J.Q. Shot noise in electron transport through a double quantum dot: A master equation approach. Chin. Phys. B 2010, 19, 050519. [Google Scholar]
  19. Scully, M.O.; Zubairy, M.S. Quantum Optics; Cambridge University Press: Cambridge, UK, 1997. [Google Scholar]
  20. Arjun, U.; Ranjith, K.; Jesche, A.; Hirschberger, F.; Sarma, D.D.; Gegenwart, P. Efficient Adiabatic Demagnetization Refrigeration to below 50 mK with Ultrahigh-Vacuum-Compatible Ytterbium Diphosphates AYbP2O7 (A = Na, K). Phys. Rev. Appl. 2023, 20, 014013. [Google Scholar] [CrossRef]
  21. Agarwalla, B.K.; Kulkarni, M.; Mukamel, S.; Segal, D. Giant photon gain in large-scale quantum dot-circuit QED systems. Phys. Rev. B 2016, 94, 121305. [Google Scholar] [CrossRef]
  22. Kulkarni, M.; Cotlet, O.; Türeci, H.E. Cavity-coupled double-quantum dot at finite bias: Analogy with lasers and beyond. Phys. Rev. B 2014, 90, 125402. [Google Scholar] [CrossRef]
  23. Schinabeck, C.; Härtle, R.; Weber, H.B.; Thoss, M. Current noise in single-molecule junctions induced by electronic-vibrational coupling. Phys. Rev. B 2014, 90, 075409. [Google Scholar] [CrossRef]
  24. Chen, Z.Z.; Rong, L.; Zhu, B.F. Effects of electron-phonon interaction on nonequilibrium transport through a single-molecule transistor. Phys. Rev. B 2005, 71, 165324. [Google Scholar] [CrossRef]
  25. Sharma, S.; Chen, Y.; Santiago, S.; Saavedra, S.A.; Chou, C.L.; Chiu, K.C.; Shen, J.L. Light-enhanced negative differential resistance and multi-level resistive switching in glutamine-functionalized MoS₂ quantum dots for resistive random-access memory devices. Adv. Mater. Interfaces 2023, 10, 2201537. [Google Scholar] [CrossRef]
Figure 1. The diagram of a double-quantum-dot system coupled with a two-mode microwave cavity.
Figure 1. The diagram of a double-quantum-dot system coupled with a two-mode microwave cavity.
Electronics 14 00599 g001
Figure 2. The electron tunneling current varies with Vbias when the vacuum squeezing coefficient of the squeezed state is different: ε ˜ L = ε ˜ R = 0 , λ L = λ R = 0.8 , and α L = α R = 0 .
Figure 2. The electron tunneling current varies with Vbias when the vacuum squeezing coefficient of the squeezed state is different: ε ˜ L = ε ˜ R = 0 , λ L = λ R = 0.8 , and α L = α R = 0 .
Electronics 14 00599 g002
Disclaimer/Publisher’s Note: The statements, opinions and data contained in all publications are solely those of the individual author(s) and contributor(s) and not of MDPI and/or the editor(s). MDPI and/or the editor(s) disclaim responsibility for any injury to people or property resulting from any ideas, methods, instructions or products referred to in the content.

Share and Cite

MDPI and ACS Style

Liu, W.; Wang, F. Tunneling Current in a Double Quantum Dot Driven by Two-Mode Microwave Photons. Electronics 2025, 14, 599. https://doi.org/10.3390/electronics14030599

AMA Style

Liu W, Wang F. Tunneling Current in a Double Quantum Dot Driven by Two-Mode Microwave Photons. Electronics. 2025; 14(3):599. https://doi.org/10.3390/electronics14030599

Chicago/Turabian Style

Liu, Weici, and Faqiang Wang. 2025. "Tunneling Current in a Double Quantum Dot Driven by Two-Mode Microwave Photons" Electronics 14, no. 3: 599. https://doi.org/10.3390/electronics14030599

APA Style

Liu, W., & Wang, F. (2025). Tunneling Current in a Double Quantum Dot Driven by Two-Mode Microwave Photons. Electronics, 14(3), 599. https://doi.org/10.3390/electronics14030599

Note that from the first issue of 2016, this journal uses article numbers instead of page numbers. See further details here.

Article Metrics

Back to TopTop