Controlled Operation of Table ASSIST-EW Motion Assisting Device
Abstract
1. Introduction
2. Materials and Methods
2.1. Requirements for Elbow–Wrist Assistance
2.2. Conceptual Design
2.3. Mechanical Design
2.4. Control Design
2.4.1. Range of Motion
2.4.2. Force and Motion Analysis

| Link | Value | Link | Value | Link | Value |
|---|---|---|---|---|---|
| A’F [mm] | 98.8 | FD [mm] | 151.5 | QS [mm] | 80.0 |
| A’A [mm] | 114.9 | DN [mm] | 36.7 | ST [mm] | 45.0 |
| AB [mm] | 76.7 | FC [mm] | 110.5 | TU [mm] | 46.0 |
| AF [mm] | 151.5 | DQ [mm] | 20.0 | α [deg] | 23.0 |
| M + m [kg] | 1.5 | m [mm] | 0.5 | φ [deg] | 19.0 |
2.4.3. Control Algorithm
3. Results
- PIDF (with lead-like filtering F as shown in Figure 10);
- Reference trajectory shaping (as formulated in Equation (17));
- Feedforward compensation of the known resisting torque TD;
- Torque-based control rather than position-loop-only control.
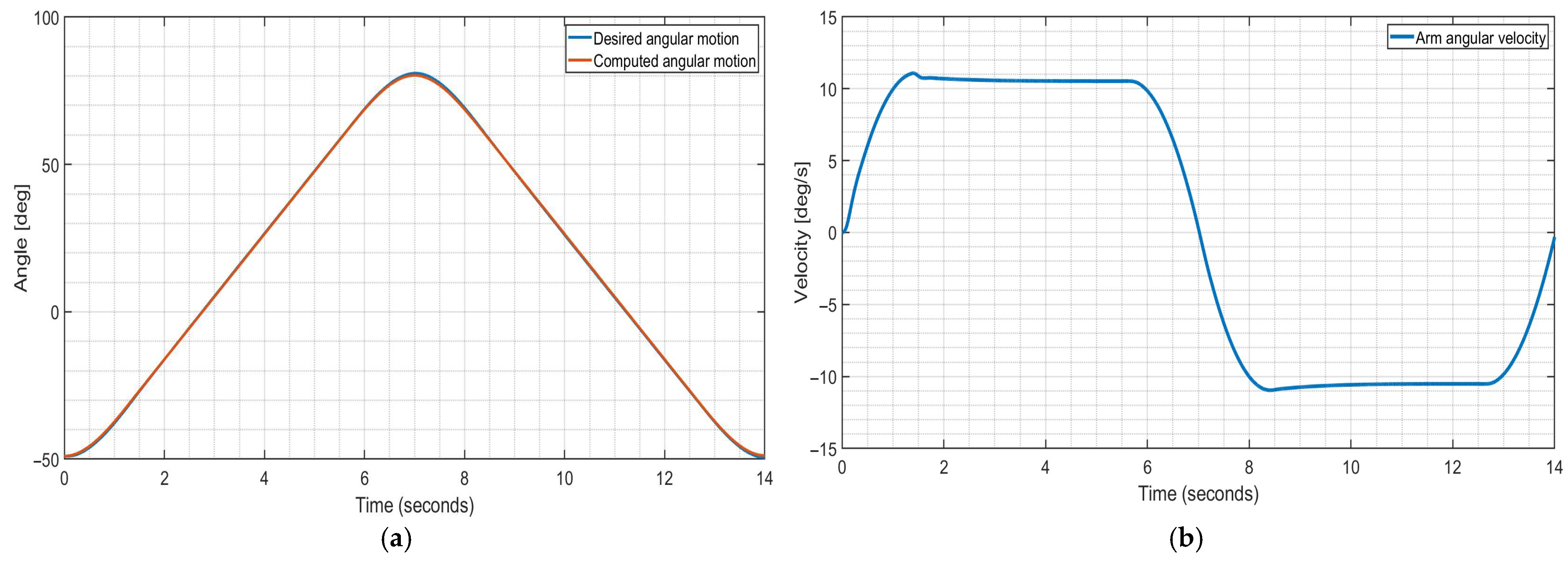
3.1. Simulation Results
3.2. Power Consumption
- Motor Capability: The device requires a motor capable of 4.6 rad/s speed, 0.35 Nm torque, and 1.53 W power. The Dynamixel MX-64 motor [41], with a max speed of 6.6 rad/s, 6 Nm stall torque, and 40 W power, well satisfies those requirements. At the required maximum output, it delivers 1.53 Nm torque at 4.82 rad/s with 45% efficiency and 1.4 A current.
- Cable Tension: The simulation indicates a maximum cable tension of 32 N. Lab tests confirm that the selected Dingbear fishing line [42] can withstand up to 93 N, yielding a safety factor of 2.9.
- Battery Choice: Two 9 V 650 mAh Rechargeable Beston Energy Lithium batteries [43] are chosen so that a combined energy of 11.7 Wh and a power consumption of 1.53 W can run the device for approximately 7 h and 30 min.
- Material Selection: Stress analysis using Autodesk Inventor shows that most ABS plastic components meet the safety requirements (factors of safety ranging from 2.39 to 6.26). However, a 12-tooth pinion made from ABS plastic had a low safety factor (1.22), prompting replacement with a stronger material. We consider a mild steel version that offers a much higher safety factor (8.26) and minimal additional weight (6 g).
3.3. Test Characterization
- (I)
- These peaks represent the highest power consumption during the energy cycle during arm flexion, when the flexion cable pulls and lifts the arm against gravity, necessitating a corresponding increase in energy demand. Additional power is also required as the wrist flexion cable works against the resistance of the elastic return cable. During this phase, the arm’s angular motion ranges from 10° to 90°, with power consumption between 3.6 and 4.7 W.
- (II)
- These peaks correspond to the lowering of the arm, associated with arm extension. This occurs as the angle decreases from 90° to 45°, during which power is required to decelerate the arm and to bring it to a stop before reaching the lower limit. Power consumption during this phase ranges from 0.82 to 1.7 W.
- (III)
- These regions correspond to the transition between arm extension and flexion. This occurs at approximately 10°, when the arm comes to rest. Power consumption during this phase ranges from 0.01 to 0.4 W.
4. Conclusions
Author Contributions
Funding
Institutional Review Board Statement
Informed Consent Statement
Data Availability Statement
Conflicts of Interest
References
- Hu, B.; Zhang, F.; Lu, H.; Zou, H.; Yang, J.; Yu, H. Design and Assist-as-Needed Control of Flexible Elbow Exoskeleton Actuated by Nonlinear Series Elastic Cable Driven Mechanism. Actuators 2021, 10, 290. [Google Scholar] [CrossRef]
- Xiong, H.; Diao, X. A review of cable-driven rehabilitation devices. Disabil. Rehabil. Assist. Technol. 2019, 15, 885–897. [Google Scholar] [CrossRef]
- Ofonaike, E.U.; Ceccarelli, M. Design and Performance of Table ASSIST-EW: An Assisting Device for Elbow and Wrist. Appl. Sci. 2025, 15, 11482. [Google Scholar] [CrossRef]
- Berdal, J.B. UP-CARE: An Upper-limb Portable Cable-Driven Exoskeleton Utilizing Additive Manufacturing for Elbow Assistance. Ph.D. Thesis, San Francisco State University, San Francisco, CA, USA, 2024. [Google Scholar]
- Qian, W.; Liao, J.; Lu, L.; Ai, L.; Li, M.; Xiao, X.; Guo, Z. CURER: A Lightweight Cable-Driven Compliant Upper Limb Rehabilitation Exoskeleton Robot. IEEE/ASME Trans. Mechatron. 2023, 28, 1730–1741. [Google Scholar] [CrossRef]
- Dias, E.A.F.; Andrade, R.M.d. Design of a Cable-Driven Actuator for Pronation and Supination of the Forearm to Integrate an Active Arm Orthosis. Proceedings 2020, 64, 4. [Google Scholar] [CrossRef]
- Galbert, A.; Buis, A. Active, Actuated, and Assistive: A Scoping Review of Exoskeletons for the Hands and Wrists. Can. Prosthet. Orthot. J. 2024, 7, 43827. [Google Scholar] [CrossRef] [PubMed]
- Kwok, T.M.; Cheng, H.H.; Yu, H. A 2-DoF Elbow Exoskeleton with Spherical Scissor Mechanism for ADL Assistance. In Proceedings of the 2023 IEEE International Conference on Robotics and Biomimetics (ROBIO), Koh Samui, Thailand, 4–9 December 2023; IEEE: Koh Samui, Thailand, 2023; pp. 1–6. [Google Scholar] [CrossRef]
- Tsai, W.; Yang, Y.; Chen, C.-H. A wearable 3D printed elbow exoskeleton to improve upper limb rehabilitation in stroke patients. In Smart Science, Design & Technology; CRC Press: Boca Raton, FL, USA, 2019; pp. 231–234. [Google Scholar]
- Colley, D.; Bowersock, C.D.; Lerner, Z.F. A Lightweight Powered Elbow Exoskeleton for Manual Handling Tasks. IEEE Trans. Med. Robot. Bionics 2024, 6, 1627–1636. [Google Scholar] [CrossRef]
- Lim, Y.X.; Sharifi, M. A Chain-Based Cable-Driven Upper-Limb Exoskeleton: Design, Mechanical Analysis and Development. In Proceedings of the 2024 International Symposium on Medical Robotics (ISMR), Atlanta, GA, USA, 3–5 June 2024; IEEE: Atlanta, GA, USA, 2024; pp. 1–7. [Google Scholar] [CrossRef]
- Arciniegas-Mayag, L.J.; Das, A.R.; Casas-Bocanegra, D.; Otálora, S.; Jimenez, M.F.; Segatto, M.E.; Diaz, C.A.R.; Múnera, M.; Cifuentes, C.A. Cable-Driven Exosuit to Assist Affected Upper-Limb Users with Hemiparesis. In Proceedings of the 2024 10th IEEE RAS/EMBS International Conference for Biomedical Robotics and Biomechatronics (BioRob), Heidelberg, Germany, 1–4 September 2024; IEEE: Heidelberg, Germany, 2024; pp. 1629–1634. [Google Scholar] [CrossRef]
- Wei, W.; Qu, Z.; Wang, W.; Zhang, P.; Hao, F. Design on the Bowden Cable-Driven Upper Limb Soft Exoskeleton. Appl. Bionics Biomech. 2018, 2018, 1925694. [Google Scholar] [CrossRef]
- Huang, J.; Ji, J.; Liang, C.; Zhang, Y.; Sun, H.; Yan, Y.; Xing, X. Effects of physical therapy-based rehabilitation on recovery of upper limb motor function after stroke in adults: A systematic review and meta-analysis of randomized controlled trials. Ann. Palliat. Med. 2022, 11, 521–531. [Google Scholar] [CrossRef] [PubMed]
- Li, Y.; Lin, X.; Liu, Q.; Zheng, N.; Tan, J.; Zhan, M. Natural Control of Muscle Strength Training Instrument Based on EMG-Driven Multistep Ahead Models. IEEE Trans. Instrum. Meas. 2025, 74, 2510613. [Google Scholar] [CrossRef]
- Li, Z.; Hayashibe, M.; Fattal, C.; Guiraud, D. Muscle Fatigue Tracking with Evoked EMG via Recurrent Neural Network: Toward Personalized Neuroprosthetics. IEEE Comput. Intell. Mag. 2014, 9, 38–46. [Google Scholar] [CrossRef]
- Liu, Q.; Li, Y.; Du, G.; Lian, Z. Elbow Joint Torque Prediction by Dynamic Recurrent Neural Network Based on Antagonist Muscle sEMG. In Proceedings of the 2022 China Automation Congress (CAC), Xiamen, China, 25–27 November 2022; pp. 1071–1076. [Google Scholar] [CrossRef]
- Xie, D.; Su, Y.; Shi, X.; Tong, S.F.; Li, Z.; Tong, R.K.-Y. A Compact Elbow Exosuit Driven by Pneumatic Artificial Muscles. IEEE Robot. Autom. Lett. 2024, 9, 3331–3338. [Google Scholar] [CrossRef]
- Li, J.; Lee, K.-M. Muscle-Driven Joint-Torque Estimation Based on Voltage-Torque Mapping of Electrical Impedance Sensing. IEEE Sens. J. 2023, 23, 13966–13977. [Google Scholar] [CrossRef]
- Werner, M.J.; Loeffl, F.; Ott, C. Passive Impedance Control of Robots With Viscoelastic Joints Via Inner-Loop Torque Control. IEEE Trans. Robot. 2022, 38, 584–598. [Google Scholar] [CrossRef]
- Wang, J.; Li, Y. Impedance control of a spatial redundant manipulator used for relaxing muscle fatigue. In Proceedings of the 2009 International Conference on Mechatronics and Automation, Changchun, China, 9–12 August 2009; pp. 2799–2804. [Google Scholar] [CrossRef]
- Zuñiga-Aviles, L.A.; Cruz-Martinez, G.M. Designing Exoskeletons, 1st ed.; CRC Press: Boca Raton, FL, USA, 2024. [Google Scholar] [CrossRef]
- Hyun, D.J.; Bae, K.; Kim, K.; Nam, S.; Lee, D. A light-weight passive upper arm assistive exoskeleton based on multi-linkage spring-energy dissipation mechanism for overhead tasks. Robot. Auton. Syst. 2019, 122, 103309. [Google Scholar] [CrossRef]
- Pan, J.; Astarita, D.; Baldoni, A.; Dell’Agnello, F.; Crea, S.; Vitiello, N.; Trigili, E. A Self-Aligning Upper-Limb Exoskeleton Preserving Natural Shoulder Movements: Kinematic Compatibility Analysis. IEEE Trans. Neural Syst. Rehabil. Eng. 2023, 31, 4954–4964. [Google Scholar] [CrossRef] [PubMed]
- Dunkelberger, N.; Berning, J.; Schearer, E.M.; O’Malley, M.K. Hybrid FES-exoskeleton control: Using MPC to distribute actuation for elbow and wrist movements. Front. Neurorobot. 2023, 17, 1127783. [Google Scholar] [CrossRef] [PubMed]
- Trigili, E.; Hirche, S. Editorial: Wearable robotics in the rehabilitation continuum of care: Assessment, treatment and home assistance. Front. Neurorobot. 2023, 17, 1305786. [Google Scholar] [CrossRef]
- Bressi, F.; Campagnola, B.; Cricenti, L.; Santacaterina, F.; Miccinilli, S.; Di Pino, G.; Fiori, F.; D’Alonzo, M.; Di Lazzaro, V.; Ricci, L.; et al. Upper limb home-based robotic rehabilitation in chronic stroke patients: A pilot study. Front. Neurorobot. 2023, 17, 1130770. [Google Scholar] [CrossRef]
- Tesfazgi, S.; Sangouard, R.; Endo, S.; Hirche, S. Uncertainty-aware automated assessment of the arm impedance with upper-limb exoskeletons. Front. Neurorobot. 2023, 17, 1167604. [Google Scholar] [CrossRef]
- Höhler, C.; Wild, L.; de Crignis, A.; Jahn, K.; Krewer, C. Contralaterally EMG-triggered functional electrical stimulation during serious gaming for upper limb stroke rehabilitation: A feasibility study. Front. Neurorobot. 2023, 17, 1168322. [Google Scholar] [CrossRef]
- Mukherjee, J. Adaptive Gravity Compensation Control of a Cable-Driven Upper-Arm Soft Exosuit. arXiv 2023, arXiv:2304.14823. [Google Scholar] [CrossRef]
- Ceccarelli, M. Challenges in service robot devices for elderly motion assistance. Robotica 2024, 42, 4186–4199. [Google Scholar] [CrossRef]
- Ceccarelli, M.; Kotov, S.; Ofonaike, E.; Russo, M. Test results and considerations for design improvements of L-CADEL v.3 elbow-assisting device. Machines 2024, 12, 808. [Google Scholar] [CrossRef]
- Lee, J.; Kwon, K.; Soltis, I.; Matthews, J.; Lee, Y.; Kim, H.; Romero, L.; Zavanelli, N.; Kwon, Y.; Kwon, S.; et al. Intelligent upper-limb exoskeleton integrated with soft wearable bioelectronics and deep-learning for human intention-driven strength augmentation based on sensory feedback. arXiv 2023, arXiv:2309.04655. [Google Scholar] [CrossRef]
- Boschetti, G.; Bottin, M.; D’Angelo, R.; Fantini, V.B. Design of a Robotic Cable Device for Rehabilitation of the Upper Limbs. In New Trends in Mechanism and Machine Science. EuCoMeS 2024; Rosati, G., Gasparetto, A., Ceccarelli, M., Eds.; Mechanisms and Machine Science; Springer: Cham, Switzerland, 2024; Volume 165, pp. 80–89. [Google Scholar] [CrossRef]
- Palazzi, E.; Luzi, L.; Dimo, E.; Meneghetti, M.; Vicario, R.; Luzia, R.F.; Vertechy, R.; Calanca, A. An affordable upper-limb exoskeleton concept for rehabilitation applications. Technologies 2022, 10, 22. [Google Scholar] [CrossRef]
- Sanjuan, J.D.; Castillo, A.D.; Padilla, M.A.; Quintero, M.C.; Gutierrez, E.E.; Sampayo, I.P.; Hernandez, J.R.; Rahman, M.H. Cable driven exoskeleton for upper-limb rehabilitation: A design review. Robot. Auton. Syst. 2020, 126, 103445. [Google Scholar] [CrossRef]
- Shi, K.; Song, A.; Li, Y.; Li, H.; Chen, D.; Zhu, L. A cable-driven three-DOF wrist rehabilitation exoskeleton with improved performance. Front. Neurorobot. 2021, 15, 664062. [Google Scholar] [CrossRef]
- Meng, Q.; Jiao, Z.; Yu, H.; Zhang, W. Design and evaluation of a novel upper limb rehabilitation robot with space training based on an end effector. Mech. Sci. 2021, 12, 639–648. [Google Scholar] [CrossRef]
- Cael, C. Functional Anatomy: Musculoskeletal Anatomy, Kinesiology, and Palpation for Manual Therapists with Navigate Advantage Access; Jones & Bartlett Learning: Burlington, MA, USA, 2022; ISBN 978-1284234800. [Google Scholar]
- Patel, S.; Park, H.; Bonato, P.; Chan, L.; Rodgers, M. A review of wearable sensors and systems with application in rehabilitation. J. Neuroeng. Rehabil. 2012, 9, 21. [Google Scholar] [CrossRef]
- ROBOTIS. (n.d.). DYNAMIXEL MX-64 Series. ROBOTIS e-Manual. Available online: https://emanual.robotis.com/docs/en/dxl/mx/mx-64/ (accessed on 7 June 2025).
- Dingbear. (n.d.). Dingbear 40 lb Braided Fishing Line/Super Strong Pull/18.14 kg Breaking Strength. Ubuy. Available online: https://www.ubuy.co.bw/product/S3GMIDDK-dingbear-437yd-5000yd-super-strong-pull-generic-braided-fishing-line-fishing-lines-fish-lines-fishin (accessed on 11 September 2025).
- Beston. (n.d.). USB 9V 9VM-65 Rechargeable Lithium Battery. Beston Energy. Available online: https://beston-energy.com/products/beston-usb-37v-9vm-65-rechargeable-lithium-battery (accessed on 11 September 2025).
- Chiaramonte, C. Power analysis for volunteer number in medical device testing, Polyclinic Tor Vergata, Roma. 14 July 2020. [Google Scholar]





















| Arm Configuration | Length [mm] | Length [mm] |
|---|---|---|
| Extended arm | L + δL = 371.0 | z = 217.8 |
| Flexed arm | L = 41.0 | z + δz = 327.8 |
| Flexion wrist | R = 123.0 | e + δe = 132.3 |
| Extended wrist | R + δR = 220.0 | e = 82.3 |
| Factor | Value |
|---|---|
| Period | 14 s |
| Ramping duration | 7.0 s |
| Natural frequency (ω) | 0.7 rad/s |
| Damping ratio (ζ) | 1.0 Ns/m |
| Fast pole τt | 8 s |
Disclaimer/Publisher’s Note: The statements, opinions and data contained in all publications are solely those of the individual author(s) and contributor(s) and not of MDPI and/or the editor(s). MDPI and/or the editor(s) disclaim responsibility for any injury to people or property resulting from any ideas, methods, instructions or products referred to in the content. |
© 2025 by the authors. Licensee MDPI, Basel, Switzerland. This article is an open access article distributed under the terms and conditions of the Creative Commons Attribution (CC BY) license (https://creativecommons.org/licenses/by/4.0/).
Share and Cite
Ofonaike, E.U.; Ceccarelli, M. Controlled Operation of Table ASSIST-EW Motion Assisting Device. Electronics 2025, 14, 4674. https://doi.org/10.3390/electronics14234674
Ofonaike EU, Ceccarelli M. Controlled Operation of Table ASSIST-EW Motion Assisting Device. Electronics. 2025; 14(23):4674. https://doi.org/10.3390/electronics14234674
Chicago/Turabian StyleOfonaike, Earnest Ugonna, and Marco Ceccarelli. 2025. "Controlled Operation of Table ASSIST-EW Motion Assisting Device" Electronics 14, no. 23: 4674. https://doi.org/10.3390/electronics14234674
APA StyleOfonaike, E. U., & Ceccarelli, M. (2025). Controlled Operation of Table ASSIST-EW Motion Assisting Device. Electronics, 14(23), 4674. https://doi.org/10.3390/electronics14234674

