Unified Performance Analysis of Free-Space Optical Systems over Dust-Induced Fading Channels
Abstract
1. Introduction
- Derive the distribution of the instantaneous electrical signal-to-noise ratio (SNR) under the Beta fading model.
- Using this SNR model as a foundation, we obtain unified closed-form formulations for fundamental performance measures—outage probability, average BER, and ergodic capacity—applicable to various modulation formats.
- Assess the analytical results using numerical simulations and analyze the influence of dust-induced fading on system performance under both coherent and IM/DD detection schemes.
2. FSO Channel Modeling and SNR Characterization
2.1. System Model
2.2. SNR Probability Density Function
2.3. SNR Cumulative Distribution Function
2.4. Moments
3. Performance Metrics
3.1. Outage Probability
3.2. Average Bit Error Rate
3.3. Ergodic Capacity
4. Results Discussion
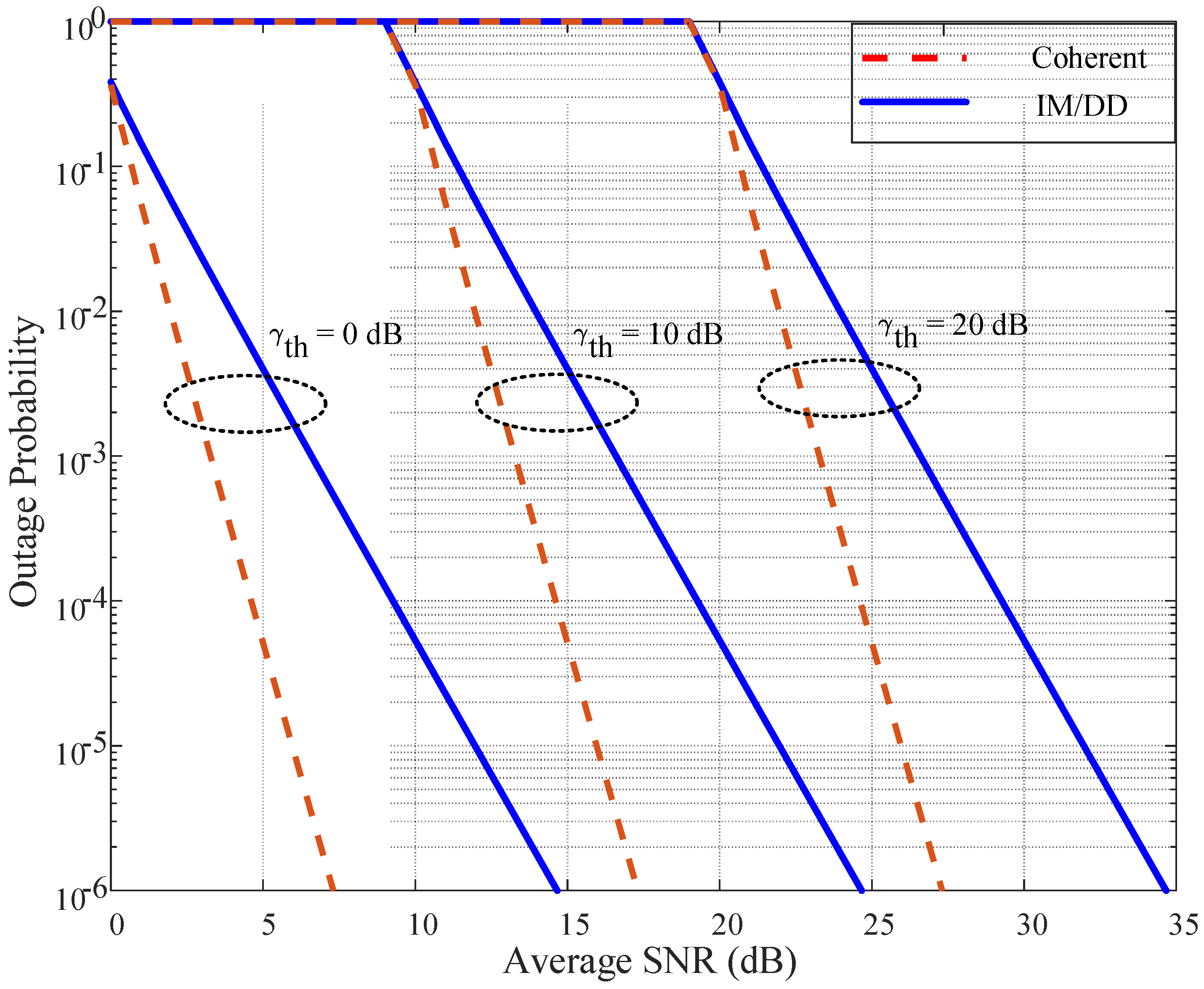
4.1. Outage Probability Analysis
4.2. Average BER Analysis
4.3. Ergodic Capacity Analysis
5. Conclusions
Funding
Institutional Review Board Statement
Informed Consent Statement
Data Availability Statement
Acknowledgments
Conflicts of Interest
References
- Altakhaineh, A.T.; Alsarayreh, S.A.; Alrawashdeh, R.; Aleid, A.; Alsharari, F.; Alodat, R.; Alhasanat, A.; Alhasanat, A.; Alsafasfeh, M.; Alhasanat, M.; et al. Outdoor Free Space Optical Systems: Motivations, Challenges, Contributions in Environmental Conditions, and Future Directions—A Systematic Survey. IEEE Access 2025, 13, 49121–49161. [Google Scholar] [CrossRef]
- El-Mottaleb, S.A.A.; Singh, M.; Alshathri, S.; El-Shafai, W.; Aly, M.H. Enhancing security and capacity in FSO transmission for next-generation networks using OFDM/OCDMA-based ICSM codes. Front. Phys. 2023, 11, 1231025. [Google Scholar] [CrossRef]
- Fayad, A.; Cinkler, T.; Rak, J. Toward 6G Optical Fronthaul: A Survey on Enabling Technologies and Research Perspectives. IEEE Commun. Surv. Tutor. 2025, 27, 629–666. [Google Scholar] [CrossRef]
- Al-Allaq, Z.J.; Shakir, W.M.; Charafeddine, M.J. A Comprehensive Review of Cutting-Edge Disaster Response: UAVs Equipped with FSO-Based Communications. Wirel. Pers. Commun. 2025, 141, 329–394. [Google Scholar] [CrossRef]
- Singh, P.; Salameh, H.B.; Bohara, V.A.; Srivastava, A.; Ayyash, M. Jamming-Resilient Mirror Element Allocation Scheme for OIRS-aided UAV-based FSO Networks. IEEE Trans. Intell. Veh. 2024, 1–12, in press. [Google Scholar] [CrossRef]
- El-Meadawy, S.A.; Farghal, A.E.A.; Shalaby, H.M.H.; Ismail, N.A.; El-Samie, F.E.A.; Abd-Elnaby, M.; El-Shafai, W. Efficient and Secure Bit-level Chaos Security Algorithm for Orbital Angular Momentum Modulation in Free-Space Optical Communications. IEEE Access 2021, 9, 74817–74835. [Google Scholar] [CrossRef]
- AlGhadhban, A.; Abdulhussain, S.H.; Alazmi, M.; Almalaq, A. Performance Analysis of Adopting FSO Technology for Wireless Data Center Network. Systems 2023, 11, 482. [Google Scholar] [CrossRef]
- Yao, C.K.; Lin, H.P.; Cheng, C.L.; Li, Y.L.; Du, L.Y.; Peng, P.C. Satellite Communication and Free Space Optics for Open Radio Access Network. J. Light. Technol. 2024, 42, 3546–3553. [Google Scholar] [CrossRef]
- Li, P.; Wei, X.; Tang, X.; Deng, J.; Xu, J. UAV-Assisted Free Space Optical Communication System With Decode-and-Forward Relaying. IEEE Trans. Veh. Technol. 2024, 73, 14102–14112. [Google Scholar] [CrossRef]
- Alimi, I.A.; Monteiro, P.P. Revolutionizing Free-Space Optics: A Survey of Enabling Technologies, Challenges, Trends, and Prospects of Beyond 5G Free-Space Optical (FSO) Communication Systems. Sensors 2024, 24, 8036. [Google Scholar] [CrossRef]
- El-Meadawy, S.A.; Shalaby, H.M.H.; Ismail, N.A.; Farghal, A.E.A.; El-Samie, F.E.A.; Abd-Elnaby, M.; El-Shafai, W. Performance Analysis of 3D Video Transmission Over Deep-Learning-Based Multi-Coded N-ary Orbital Angular Momentum FSO System. IEEE Access 2021, 9, 110116–110136. [Google Scholar] [CrossRef]
- Wang, Q.; Yamaguchi, R.T.; Kalogiros, J.A.; Daniels, Z.; Alappattu, D.P.; Jonsson, H.; Alvarenga, O.; Olson, A.; Wauer, B.J.; Ortiz-Suslow, D.G.; et al. Microphysics and Optical Attenuation in Fog: Observations from Two Coastal Sites. Bound.-Layer Meteorol. 2021, 181, 267–292. [Google Scholar] [CrossRef]
- Mahowald, N.; Albani, S.; Kok, J.F.; Engelstaeder, S.; Scanza, R.; Ward, D.S.; Flanner, M.G. The size distribution of desert dust aerosols and its impact on the Earth system. Aeolian Res. 2014, 15, 53–71. [Google Scholar] [CrossRef]
- Farid, A.A.; Hranilovic, S. Outage Capacity Optimization for Free-Space Optical Links With Pointing Errors. J. Light. Technol. 2007, 25, 1702–1710. [Google Scholar] [CrossRef]
- Kim, Y.; Yoon, D. Moment-Based Estimation for Gamma-Gamma Fading Parameters in Free-Space Optical Links. IEEE J. Sel. Areas Commun. 2025, 43, 1582–1589. [Google Scholar] [CrossRef]
- Srivastava, V.; Mandloi, A.; Patel, D.; Shah, P. Performance Analysis of Negative Exponential Turbulent FSO Links with Wavelength Diversity. In Proceedings of the 2020 12th International Symposium on Communication Systems, Networks and Digital Signal Processing (CSNDSP), Porto, Portugal, 20–22 July 2020; pp. 1–5. [Google Scholar] [CrossRef]
- Chen, D.; Lu, M.; Wang, H. Performance of Spatial Diversity for FSO Links with Pointing Errors over Malaga Turbulence. In Proceedings of the 2021 19th International Conference on Optical Communications and Networks (ICOCN), Qufu, China, 23–27 August 2021; pp. 1–3. [Google Scholar] [CrossRef]
- Gupta, A.; Chauhan, K.; Yadav, A.; Rani, R.; Jain, A.; Muthukaruppan, L. Performance Analysis of Adaptive Combining Based Hybrid FSO/RF Communication System with Pointing Errors Over F-Distribution/Nakagami-m Channel Models. In Proceedings of the 2023 2nd International Conference on Vision Towards Emerging Trends in Communication and Networking Technologies (ViTECoN), Vellore, India, 5–6 May 2023; pp. 1–7. [Google Scholar] [CrossRef]
- Andrews, L.C.; Phillips, R.L. I–K distribution as a universal propagation model of laser beams in atmospheric turbulence. J. Opt. Soc. Am. A 1985, 2, 160–163. [Google Scholar] [CrossRef]
- Chatzidiamantis, N.D.; Sandalidis, H.G.; Karagiannidis, G.K.; Matthaiou, M. Inverse Gaussian Modeling of Turbulence-Induced Fading in Free-Space Optical Systems. J. Light. Technol. 2011, 29, 1590–1596. [Google Scholar] [CrossRef]
- Barrios, R.; Dios, F. Exponentiated Weibull model for the irradiance probability density function of a laser beam propagating through atmospheric turbulence. Opt. Laser Technol. 2013, 45, 13–20. [Google Scholar] [CrossRef]
- Uysal, M.; Capsoni, C.; Ghassemlooy, Z.; Boucouvalas, A.; Udvary, E. Atmospheric Channel Modeling. In Optical Wireless Communications: An Emerging Technology; Springer: Berlin/Heidelberg, Germany, 2016. [Google Scholar]
- Odeyemi, K.O.; Owolawi, P.A.; Srivastava, V.M. A comparison between mathematical tools for analyzing FSO systems over Gamma-Gamma atmospheric channel. In Proceedings of the 2017 IEEE AFRICON, Cape Town, South Africa, 18–20 September 2017; pp. 549–554. [Google Scholar] [CrossRef]
- Rasethuntsa, T.R.; Ansari, I.S. Applications of Meijer’s Factorization Theorems in Performance Analyses of All-Optical Multi-Hop FSO Systems. IEEE Trans. Wirel. Commun. 2021, 20, 2078–2091. [Google Scholar] [CrossRef]
- Esmail, M.A.; Fathallah, H.; Alouini, M.S. Outdoor FSO Communications Under Fog: Attenuation Modeling and Performance Evaluation. IEEE Photonics J. 2016, 8, 7905622. [Google Scholar] [CrossRef]
- Ijaz, M.; Ghassemlooy, Z.; Pesek, J.; Fiser, O.; Minh, H.; Bentley, E. Modeling of Fog and Smoke Attenuation in Free Space Optical Communications Link Under Controlled Laboratory Conditions. IEEE J. Light. Technol. 2013, 31, 1720–1726. [Google Scholar] [CrossRef]
- Khan, M.S.; Leitgeb, E.; Muhammad, S.S.; Awan, M.S.; Kvicera, V.; Grabner, M. Further results on fog modeling for terrestrial free-space optical links. Opt. Eng. 2012, 51, 031207. [Google Scholar] [CrossRef]
- Esmail, M.A.; Fathallah, H.; Alouini, M.S. Outage Probability Analysis of FSO Links Over Foggy Channel. IEEE Photonics J. 2017, 9, 7902312. [Google Scholar] [CrossRef]
- Esmail, M.A.; Fathallah, H.; Alouini, M.S. An Experimental Study of FSO Link Performance in Desert Environment. IEEE Commun. Lett. 2016, 20, 1888–1891. [Google Scholar] [CrossRef]
- Ghassemlooy, Z.; Perez, J.; Leitgeb, E. On the performance of FSO communications links under sandstorm conditions. In Proceedings of the 12th International Conference on Telecommunications, Zagreb, Croatia, 26–28 June 2013; pp. 53–58. [Google Scholar]
- Su, K.; Moeller, L.; Barat, R.B.; Federici, J.F. Experimental comparison of terahertz and infrared data signal attenuation in dust clouds. J. Opt. Soc. Am. A 2012, 29, 2360–2366. [Google Scholar] [CrossRef]
- Libich, J.; Perez, J.; Zvanovec, S.; Ghassemlooy, Z.; Nebuloni, R.; Capsoni, C. Combined effect of turbulence and aerosol on free-space optical links. Appl. Opt. 2017, 56, 336–341. [Google Scholar] [CrossRef]
- Esmail, M.A.; Ragheb, A.M.; Fathallah, H.A.; Altamimi, M.; Alshebeili, S.A. 5G-28 GHz Signal Transmission Over Hybrid All-Optical FSO/RF Link in Dusty Weather Conditions. IEEE Access 2019, 7, 24404–24410. [Google Scholar] [CrossRef]
- De, S.; Raj, A.A.B. Experimental Study of Sand-Storm Effect on Digital FSO Communication Link. In Proceedings of the 2020 International Conference on Recent Trends on Electronics, Information, Communication and Technology (RTEICT), Bangalore, India, 12–13 November 2020; pp. 35–40. [Google Scholar] [CrossRef]
- Tareq, Q.; Ragheb, A.M.; Esmail, M.A.; Alshebeili, S.A.; Khan, M.Z.M. Performance of Injection-Locked Quantum-Dash MMW Source Under Clear and Dusty Weather Conditions. IEEE Photonics J. 2021, 13, 1–9. [Google Scholar] [CrossRef]
- Singh, M.; Pottoo, S.N.; Suvidhi.; Soi, V.; Grover, A.; Ali, M. A high-speed radio over free space optics transmission link under dust environment conditions employing hybrid wavelength- and mode-division multiplexing. Wirel. Netw. 2021, 27, 4875–4888. [Google Scholar] [CrossRef]
- Yasir, S.M.; Abas, N.; Saleem, M.S. Performance Analysis of 10Gbps FSO Communication Link Under Suspended Dust and Rain Conditions in Lahore, Pakistan. Nonlinear Opt. Quantum Opt. Concepts Mod. Opt. 2019, 50, 235–252. [Google Scholar]
- Singh, M.; Nazir Pottoo, S.; Aly, M.H.; Hubálovský, Š.; Grover, A.; Adhikari, D.; Yupapin, P. Mode division multiplexing free space optics system with 3D hybrid modulation under dust and fog. Alex. Eng. J. 2023, 62, 113–127. [Google Scholar] [CrossRef]
- Esmail, M.A. Probabilistic Modeling of Dust-Induced FSO Attenuation for 5G/6G Backhaul in Arid Regions. Appl. Sci. 2025, 15, 6775. [Google Scholar] [CrossRef]
- Cao, M.; Yan, Z.; Wu, Q.; Shen, G.; Alouini, M.S. Performance Evaluation of FSO Communications under Sand-Dust Conditions. Int. J. Antennas Propag. 2019, 2019, 2046896. [Google Scholar] [CrossRef]
- Esmail, M.A. Performance Evaluation of IM/DD FSO Communication System Under Dust Storm Conditions. Technologies 2025, 13, 288. [Google Scholar] [CrossRef]
- Olver, F.W.J.; Lozier, D.W.; Boisvert, R.F.; Clark, C.W. NIST Handbook of Mathematical Functions; Cambridge University Press: New York, NY, USA, 2010. [Google Scholar]
- Ansari, I.S.; Yilmaz, F.; Alouini, M.S. Performance Analysis of Free-Space Optical Links Over Málaga (M) Turbulence Channels With Pointing Errors. IEEE Trans. Wirel. Commun. 2016, 15, 91–102. [Google Scholar] [CrossRef]
- Zhang, J.; Dai, L.; Zhang, Y.; Wang, Z. Unified Performance Analysis of Mixed Radio Frequency/Free-Space Optical Dual-Hop Transmission Systems. J. Light. Technol. 2015, 33, 2286–2293. [Google Scholar] [CrossRef]
- Zedini, E.; Oubei, H.M.; Kammoun, A.; Hamdi, M.; Ooi, B.S.; Alouini, M.S. Unified Statistical Channel Model for Turbulence-Induced Fading in Underwater Wireless Optical Communication Systems. IEEE Trans. Commun. 2019, 67, 2893–2907. [Google Scholar] [CrossRef]
- Ansari, I.S.; Yilmaz, F.; Alouini, M.S. On the Performance of Mixed RF/FSO Dual-Hop Transmission Systems. In Proceedings of the 2013 IEEE 77th Vehicular Technology Conference (VTC Spring), Dresden, Germany, 2–5 June 2013; pp. 1–5. [Google Scholar] [CrossRef]
- Papoulis, A.; Pillai, S.U. Probability, Random Variables, and Stochastic Processes, 4th ed.; McGraw-Hill: New York, NY, USA, 2002. [Google Scholar]
- Gradshteyn, I.; Ryzhik, I. Table of Integrals, Series, and Products, 7th ed.; Academic Press: New York, NY, USA, 2007. [Google Scholar]





| Modulation | p | n | Detection | ||
|---|---|---|---|---|---|
| OOK | 1 | 1 | IM/DD | ||
| BPSK | 1 | 1 | 1 | coherent | |
| M-PSK | coherent | ||||
| M-QAM | coherent |
Disclaimer/Publisher’s Note: The statements, opinions and data contained in all publications are solely those of the individual author(s) and contributor(s) and not of MDPI and/or the editor(s). MDPI and/or the editor(s) disclaim responsibility for any injury to people or property resulting from any ideas, methods, instructions or products referred to in the content. |
© 2025 by the author. Licensee MDPI, Basel, Switzerland. This article is an open access article distributed under the terms and conditions of the Creative Commons Attribution (CC BY) license (https://creativecommons.org/licenses/by/4.0/).
Share and Cite
Esmail, M.A. Unified Performance Analysis of Free-Space Optical Systems over Dust-Induced Fading Channels. Electronics 2025, 14, 4637. https://doi.org/10.3390/electronics14234637
Esmail MA. Unified Performance Analysis of Free-Space Optical Systems over Dust-Induced Fading Channels. Electronics. 2025; 14(23):4637. https://doi.org/10.3390/electronics14234637
Chicago/Turabian StyleEsmail, Maged Abdullah. 2025. "Unified Performance Analysis of Free-Space Optical Systems over Dust-Induced Fading Channels" Electronics 14, no. 23: 4637. https://doi.org/10.3390/electronics14234637
APA StyleEsmail, M. A. (2025). Unified Performance Analysis of Free-Space Optical Systems over Dust-Induced Fading Channels. Electronics, 14(23), 4637. https://doi.org/10.3390/electronics14234637

