OCM: An Overcapacity Mapping-Based Virtual Disk Approach for Large-Scale Storage
Abstract
1. Introduction
- (1)
- We propose an overcapacity mapping (OCM) method that integrates deduplication-aware thin provisioning. This method leverages thin provisioning and data deduplication techniques at the Device Mapper layer to construct an overcapacity virtual disk (OverCap) whose logical size exceeds the actual physical storage capacity. Thin provisioning is an on-demand allocation mechanism that allows the declared logical capacity of a volume to exceed the available physical storage, with physical blocks being allocated only when data is actually written. This approach effectively mitigates the constraints imposed by limited physical disks in large-scale storage simulations, enabling full utilization of the logical capacity of virtual disks in realistic redundant data scenarios, thereby supporting large-scale data writes.
- (2)
- We design a tiered asynchronous I/O strategy leveraging SSD caching. By decoupling write and read paths and employing threshold-driven control together with asynchronous scheduling, this strategy significantly improves OCM throughput in complex concurrent environments and alleviates I/O performance bottlenecks of overcapacity virtual disks under highly concurrent workloads.
- (3)
- We conduct a series of multidimensional experiments to systematically validate the proposed OCM approach, covering key aspects such as deduplication-aware write capability and the performance of caching mechanisms in both write and read paths. In the space saving evaluation, we use real-world mixed data for writing tests with varying duplication ratios to verify the effectiveness of OCM in recognizing redundant data and reducing physical storage consumption. In the performance assessment, we design test scenarios that vary duplication ratio, concurrency level, and block size, and evaluate OCM’s performance across workloads using metrics such as write throughput and read acceleration ratio. The experimental results demonstrate that the virtual disk constructed using the OCM method exhibits reliable availability in practical write scenarios and delivers stable I/O performance under highly concurrent read and write workloads.
2. Technical Background
2.1. Thin Provisioning
2.2. Data Deduplication Technology
2.3. SSD Cache and Tiered Storage
3. Methods
3.1. Problem Analysis and Overview of the Proposed Approach
- (1)
- A deduplication-aware overcapacity logical volume construction strategy. OCM directly initializes overcapacity logical volumes (OverCap volume) upon physical volume partitions and builds metadata structures comprising a deduplication index and a logical-to-physical (L2P) mapping table. Based on these structures, OCM declares a mapping where the logical capacity exceeds the physical capacity, thereby enabling over-provisioning, and registers the logical device following volume metadata extraction.
- (2)
- A hierarchical asynchronous I/O optimization strategy based on SSD caching. After completing the initial construction of the OverCap volume, OCM employs a hierarchical I/O optimization strategy based on SSD caching. In the write path, the cache strategy leverages an SSD-based layer to temporarily absorb write requests from upper-layer components. When the cache reaches a predefined threshold, the strategy merges the buffered data into sequential blocks and performs asynchronous batch writes to the physical volume. In the read path, the strategy first evaluates cache hits within the SSD cache layer. If a cache hit occurs, the requested data is returned immediately; otherwise, the strategy accesses the underlying HDD-based physical storage and initiates asynchronous background caching of the retrieved data.
3.2. Deduplication-Aware OverCap Volume Construction Mechanism
- (1)
- OCM initiates the construction process based on user-specified parameters, including the target physical partition, logical volume identifier, and expected logical capacity, and enters the metadata initialization phase.
- (2)
- The Device Mapper target module initializes the metadata structures required for OverCap volume management on the specified physical storage device. These metadata components comprise the fingerprint index, logical-to-physical mapping table, and sparse control segments. In addition, it registers mechanisms supporting metadata crash recovery and consistency-aware write strategies.
- (3)
- Upon completing metadata initialization, OCM explicitly declares the overcapacity mapping relationship within the metadata region.
- (4)
- The constructed OverCap volume is then exposed as a standard block device via the Device Mapper framework, enabling transparent access by upper-layer file systems or distributed storage applications without altering upper-layer I/O semantics.
3.2.1. Deduplication-Aware Metadata Structure Initialization
- (1)
- Fingerprint Index Initialization: For each data block to be written, a content fingerprint is first computed using the cryptographic hash function BLAKE2b, which serves as the unique identifier for deduplication operations. The deduplication lookup process is defined as:
- (2)
- L2P Mapping Table Initialization: OCM adopts a sparse mapping strategy, in which physical blocks are not preallocated for the logical address space. Instead, a mapping is established only upon the first write, as represented by
- (3)
- Reference Counting Mechanism Initialization: Since multiple logical addresses may reference the same physical address, OCM incorporates a reference counting mechanism to monitor the usage of each physical block and ensure correctness during space reclamation. The reference count is computed as
3.2.2. Metadata Consistency Strategy Design
| Algorithm 1: Metadata Consistency Preservation and Recovery Mechanism |
Input: I/O Request Queue Q, Metadata Buffer , Persistent Metadata Storage Output: Ensure metadata consistency during runtime and support recovery after crash
|
3.3. Tiered Asynchronous I/O Optimization Strategy Based on SSD Caching
3.3.1. Asynchronous Flush Mechanism Based on Write Aggregation
- (1)
- Write Request Buffering: Upon receiving write requests from the upper layer, logical layer buffers the data in a high-performance SSD cache instead of writing immediately to the backend disk. This cache functions as the write entry point, temporarily storing incoming write data to support low-latency response and enable batch scheduling.
- (2)
- Dual-Threshold Flush Decision: We employ a dual-threshold flushing policy based on cache usage and refresh cycle. As formalized below,
- (3)
- Logical Sequential Aggregation: To enhance write throughput, OCM implements a logical sequential aggregation mechanism. Write requests are sorted by LBA and grouped into logically contiguous write units based on address proximity. This aggregation can span original request boundaries, thereby maximizing sequential disk throughput and minimizing write amplification and disk seek overhead.
- (4)
- Batch Asynchronous Write: The aggregated data is dispatched for persistence in batches via background threads. A dedicated flush queue maintains logical address order, ensuring that foreground write paths remain latency-free. The scheduler dynamically adjusts batch sizes based on I/O load to ensure adaptive performance.
3.3.2. Read Cache Hit Mechanism Based on Access
- (1)
- Request Forwarding: Upon receiving a read request from the upper layer, the logical layer immediately forwards the request to the cache layer for hit detection.
- (2)
- Hotness Evaluation and Cache Query: The cache layer determines whether the target logical block is a cache hit based on its access frequency and write status. To quantify access frequency, the strategy defines a hotness evaluation function:
- (3)
- Cache Hit Return: If the hit detection determines that the block is hot or resides in the write cache, OCM directly returns the corresponding data from the cache, bypassing the backend disk access path. This significantly reduces I/O latency and alleviates the overhead of frequent metadata lookups.
- (4)
- Cache Miss Fallback: If the target logical block is neither hot nor found in the write cache, OCM loads the corresponding data from the backend disk and returns it. This fallback path ensures consistency in cases where the hotness-based strategy does not yield a cache hit.
- (5)
- Background Cache Fill: To improve the likelihood of future cache hits, the cache manager asynchronously triggers a background fill operation after returning the data. The loaded logical block then enters the hotness tracking pipeline and updates its value in future evaluations.
4. Performance Evaluation
4.1. Experiment Setup
4.2. Capacity Availability Verification of OverCap Volumes
4.3. Evaluation of SSD-Backed Hierarchical Asynchronous I/O Performance
4.3.1. Benchmark
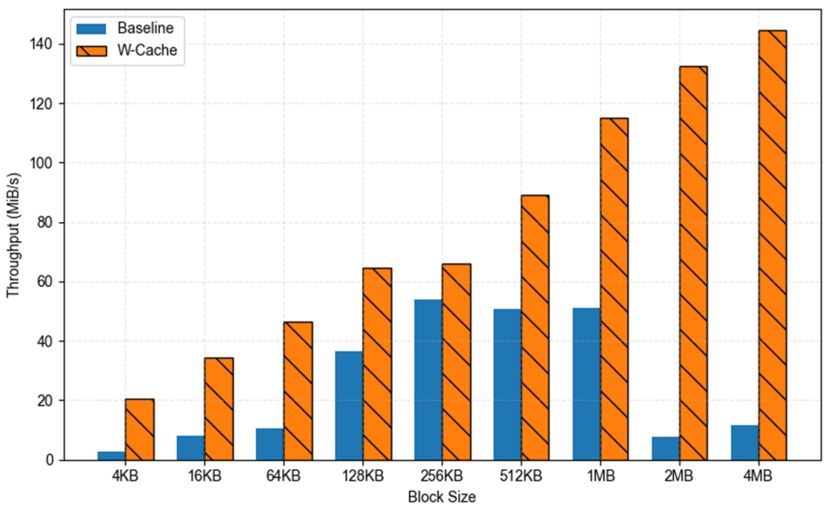
4.3.2. Performance Comparison of Cache Optimization Mechanisms
- (1)
- Write Performance Comparison: In this experiment, the data deduplication ratio was set to 0%, and the operating system page cache was bypassed to ensure that the measurements accurately represented the inherent performance of the underlying write path.
- (2)
- Read Performance Comparison: We conducted comparative experiments to assess the performance gains of R-Cache under hotspot data access scenarios. To fully stimulate cache hit rates and highlight the advantages of the caching mechanism, all read tests were uniformly configured with a data duplication rate of 100%, simulating high-reuse hotspot access patterns to maximize the visibility of R-Cache’s optimization capability for random read performance.
4.4. Experimental Validation in Large-Scale Distributed Storage Systems
5. Discussion
6. Conclusions
Author Contributions
Funding
Data Availability Statement
Conflicts of Interest
References
- Fabio, D. Amount of Data Created Daily (2025). Available online: https://explodingtopics.com/blog/data-generated-per-day?ref=blog.codex.storage (accessed on 24 April 2025).
- Jung, M.; Zhang, J.; Abulila, A.; Kwon, M.; Shahidi, N.; Shalf, J.; Kim, N.S.; Kandemir, M. SimpleSSD: Modeling Solid State Drives for Holistic System Simulation. IEEE Comput. Archit. Lett. 2018, 17, 37–41. [Google Scholar] [CrossRef]
- Lee, D.; Hong, D.; Choi, W.; Kim, J. MQSim-E: An Enterprise SSD Simulator. IEEE Comput. Archit. Lett. 2022, 21, 13–16. [Google Scholar] [CrossRef]
- Kim, Y.; Tauras, B.; Gupta, A.; Urgaonkar, B. FlashSim: A Simulator for NAND Flash-Based Solid-State Drives. In Proceedings of the 2009 First International Conference on Advances in System Simulation, Porto, Portugal, 20–25 September 2009; pp. 125–131. [Google Scholar] [CrossRef]
- Hajkazemi, M.H.; Aschenbrenner, V.; Abdi, M.; Kaynar, E.U.; Mossayebzadeh, A.; Krieger, O.; Desnoyers, P. Beating the I/O bottleneck: A case for log-structured virtual disks. In Proceedings of the Seventeenth European Conference on Computer Systems, Rennes, France, 5–8 April 2022; pp. 628–643. [Google Scholar] [CrossRef]
- Xing, G.; Gao, S.; Wang, H.; Zhou, K.; Han, Y.; Tao, M. VDMig: An Adaptive Virtual Disk Migration Scheme for Cloud Block Storage System. In Proceedings of the 2024 IEEE 42nd International Conference on Computer Design (ICCD), Milan, Italy, 18–20 November 2024; pp. 446–453. [Google Scholar] [CrossRef]
- Zhao, Y.; Xian, Y.; Li, Y.; Liu, P.; Li, D. RR-Row: Redirect-on-Write Based Virtual Machine Disk for Record/Replay. IEICE Trans. Inf. Syst. 2024, E107.D, 169–179. [Google Scholar] [CrossRef]
- Tian, H.; Chen, Q.; Liu, W.; Yan, S. AtomicDisk: A Secure Virtual Disk for TEEs Against Eviction Attacks. In Proceedings of the 23rd USENIX Conference on File and Storage Technologies (FAST 25), Santa Clara, CA, USA, 25–27 February 2025; pp. 449–459. [Google Scholar]
- Raaf, P.; Brinkmann, A.; Borba, E.; Asadi, H.; Narasimhamurthy, S.; Bent, J.; El-Batal, M.; Salkhordeh, R. From SSDs Back to HDDs: Optimizing VDO to Support Inline Deduplication and Compression for HDDs as Primary Storage Media. ACM Trans. Storage 2024, 20, 24. [Google Scholar] [CrossRef]
- Lee, M.; Eom, Y.I. Designing Transactional Hypervisor for Improving the Performance of Qcow2-Based Virtual Disks. IEEE Access 2020, 8, 192631–192642. [Google Scholar] [CrossRef]
- Shi, B.; Shen, H.; Dong, B.; Zheng, Q. Memory/Disk Operation Aware Lightweight VM Live Migration. IEEE/ACM Trans. Netw. 2022, 30, 1895–1910. [Google Scholar] [CrossRef]
- Dinh Ngoc, T.; Teabe, B.; Da Costa, G.; Hagimont, D. Virtual NVMe-Based Storage Function Framework with Fast I/O Request State Management. IEEE Trans. Comput. 2025, 74, 2253–2266. [Google Scholar] [CrossRef]
- Zhao, X.; Zhang, Y.; Wu, Y.; Chen, K.; Jiang, J.; Li, K. Liquid: A Scalable Deduplication File System for Virtual Machine Images. IEEE Trans. Parallel Distrib. Syst. 2014, 25, 1257–1266. [Google Scholar] [CrossRef]
- Li, D.; Dong, M.; Tang, Y.; Yang, L.T.; Ota, K.; Zhao, G. Triple-L: Improving CPS Disk I/O Performance in a Virtualized NAS Environment. IEEE Syst. J. 2017, 11, 152–162. [Google Scholar] [CrossRef]
- Lee, E.; Bahn, H.; Jeong, M.; Kim, S.; Yeon, J.; Yoo, S.; Noh, S.H.; Shin, K.G. Reducing Journaling Harm on Virtualized I/O Systems. In Proceedings of the 9th ACM International on Systems and Storage Conference, Haifa, Israel, 6–8 June 2016; pp. 1–6. [Google Scholar] [CrossRef]
- Kim, S.; Eom, H.; Son, Y. Improving Spatial Locality in Virtual Machine for Flash Storage. IEEE Access 2019, 7, 1668–1676. [Google Scholar] [CrossRef]
- Yang, Z.; Hoseinzadeh, M.; Andrews, A.; Mayers, C.; Evans, D.T.; Bolt, R.T.; Bhimani, J.; Mi, N.; Swanson, S. AutoTiering: Automatic data placement manager in multi-tier all-flash datacenter. In Proceedings of the 2017 IEEE 36th International Performance Computing and Communications Conference (IPCCC), San Diego, CA, USA, 10–12 December 2017; pp. 1–8. [Google Scholar] [CrossRef]
- Chen, Y.; Xiong, T. StriPre: A VM Disk Migration Prefetching Algorithm. IEEE Access 2025, 13, 37514–37521. [Google Scholar] [CrossRef]
- Shaikh, D.A. Implementation of Data Deduplication Detection and Removal on Cloud Using 64-Bit Architecture of SHA-256. In Proceedings of the 7th International Conference on Innovations and Research in Technology and Engineering (ICIRTE-2022), Mumbai, INDIA, 8–9 April 2022; pp. 183–189. [Google Scholar] [CrossRef]
- Wu, S.; Du, C.; Zhu, W.; Zhou, J.; Jiang, H.; Mao, B.; Zeng, L. EaD: ECC-Assisted Deduplication with High Performance and Low Memory Overhead for Ultra-Low Latency Flash Storage. IEEE Trans. Comput. 2023, 72, 208–221. [Google Scholar] [CrossRef]
- Fu, M.; Feng, D.; Hua, Y.; He, X.; Chen, Z.; Liu, J.; Xia, W.; Huang, F.; Liu, Q. Reducing Fragmentation for In-line Deduplication Backup Storage via Exploiting Backup History and Cache Knowledge. IEEE Trans. Parallel Distrib. Syst. 2016, 27, 855–868. [Google Scholar] [CrossRef]
- Luo, S.; Zhang, G.; Wu, C.; Khan, S.U.; Li, K. Boafft: Distributed Deduplication for Big Data Storage in the Cloud. IEEE Trans. Cloud Comput. 2020, 8, 1199–1211. [Google Scholar] [CrossRef]
- Khan, A.; Hamandawana, P.; Kim, Y. A Content Fingerprint-Based Cluster-Wide Inline Deduplication for Shared-Nothing Storage Systems. IEEE Access 2020, 8, 209163–209180. [Google Scholar] [CrossRef]
- Jin, X.; Liu, H.; Ye, C.; Liao, X.; Jin, H.; Zhang, Y. Accelerating Content-Defined Chunking for Data Deduplication Based on Speculative Jump. IEEE Trans. Parallel Distrib. Syst. 2023, 34, 2568–2579. [Google Scholar] [CrossRef]
- Park, J.K.; Seo, Y.; Kim, J. A Flash-Based SSD Cache Management Scheme for High Performance Home Cloud Storage. IEEE Trans. Consum. Electron. 2019, 65, 418–425. [Google Scholar] [CrossRef]
- Ahmadian, S.; Salkhordeh, R.; Mutlu, O.; Asadi, H. ETICA: E fficient T wo-Level I /O C aching A rchitecture for Virtualized Platforms. IEEE Trans. Parallel Distrib. Syst. 2021, 32, 2415–2433. [Google Scholar] [CrossRef]
- Davies-Tagg, D.; Anjum, A.; Zahir, A.; Liu, L.; Yaseen, M.U.; Antonopoulos, N. Data Temperature Informed Streaming for Optimising Large-Scale Multi-Tiered Storage. Big Data Min. Anal. 2024, 7, 371–398. [Google Scholar] [CrossRef]
- Wang, Y.; Yang, J.; Wang, Z. Multi-Tenant In-Memory Key-Value Cache Partitioning Using Efficient Random Sampling-Based LRU Model. IEEE Trans. Cloud Comput. 2023, 11, 3601–3618. [Google Scholar] [CrossRef]
- Bura, A.; Rengarajan, D.; Kalathil, D.; Shakkottai, S. Learning to Cache and Caching to Learn: Regret Analysis of Caching Algorithms. IEEE/ACM Trans. Netw. 2022, 30, 18–31. [Google Scholar] [CrossRef]
- Noy, T.; Teman, A. Design of a Refresh-Controller for GC-eDRAM Based FIFOs. IEEE Trans. Circuits Syst. Regul. Pap. 2020, 67, 4804–4817. [Google Scholar] [CrossRef]















| Duplication Rate (%) | Unique Data (GB) | Duplicate Data (GB) | Space Saving Ratio (%) |
|---|---|---|---|
| 20 | 20 | 5 | 23 |
| 40 | 15 | 10 | 42 |
| 60 | 10 | 15 | 61 |
| 80 | 5 | 20 | 81 |
| 100 | 25 | 25 | 99 |
Disclaimer/Publisher’s Note: The statements, opinions and data contained in all publications are solely those of the individual author(s) and contributor(s) and not of MDPI and/or the editor(s). MDPI and/or the editor(s) disclaim responsibility for any injury to people or property resulting from any ideas, methods, instructions or products referred to in the content. |
© 2025 by the authors. Licensee MDPI, Basel, Switzerland. This article is an open access article distributed under the terms and conditions of the Creative Commons Attribution (CC BY) license (https://creativecommons.org/licenses/by/4.0/).
Share and Cite
Tan, S.; Zhu, L. OCM: An Overcapacity Mapping-Based Virtual Disk Approach for Large-Scale Storage. Electronics 2025, 14, 4091. https://doi.org/10.3390/electronics14204091
Tan S, Zhu L. OCM: An Overcapacity Mapping-Based Virtual Disk Approach for Large-Scale Storage. Electronics. 2025; 14(20):4091. https://doi.org/10.3390/electronics14204091
Chicago/Turabian StyleTan, Songfu, and Ligu Zhu. 2025. "OCM: An Overcapacity Mapping-Based Virtual Disk Approach for Large-Scale Storage" Electronics 14, no. 20: 4091. https://doi.org/10.3390/electronics14204091
APA StyleTan, S., & Zhu, L. (2025). OCM: An Overcapacity Mapping-Based Virtual Disk Approach for Large-Scale Storage. Electronics, 14(20), 4091. https://doi.org/10.3390/electronics14204091

