Pilot Design Based on the Distribution of Inter-User Interference for Grant-Free Access
Abstract
1. Introduction
1.1. Two-Phase Grant-Free MRA Scheme
1.2. Related Studies on Pilot Design for Grant-Free Access
1.3. Motivation and Contributions
- We propose a pilot design framework with a proposed metric exploiting the distribution of the IUI.
- We derive pilot design algorithms based on the proposed metric for different constraints on pilots. Simulation results verify that the algorithms improve the JADCE performance, which helps reduce latency and increase energy efficiency.
- Compared with the design in [10], which is also based on PGD, the proposed pilot design is more robust to iteration initialization.
2. System Model
3. The Proposed Pilot Design Method Exploiting the IUI Distribution
3.1. Pilot Design Framework Based on the IUI Distribution
3.2. Pilot Design Algorithm with mAMP Adopted
| Algorithm 1 Pilot Optimization Algorithm |
Iteration of PGD: |
3.3. Analysis of the Proposed Pilot Design Algorithm
- The IUI approximation (14) under a certain set of active users is inaccurate;
- The Gaussian approximation of the IUI distribution is inaccurate;
- The JADCE algorithm, mAMP, uses a common threshold varying with iterations, i.e., . The threshold is actually determined based on the estimated equivalent channel of all users and is hard to predict.
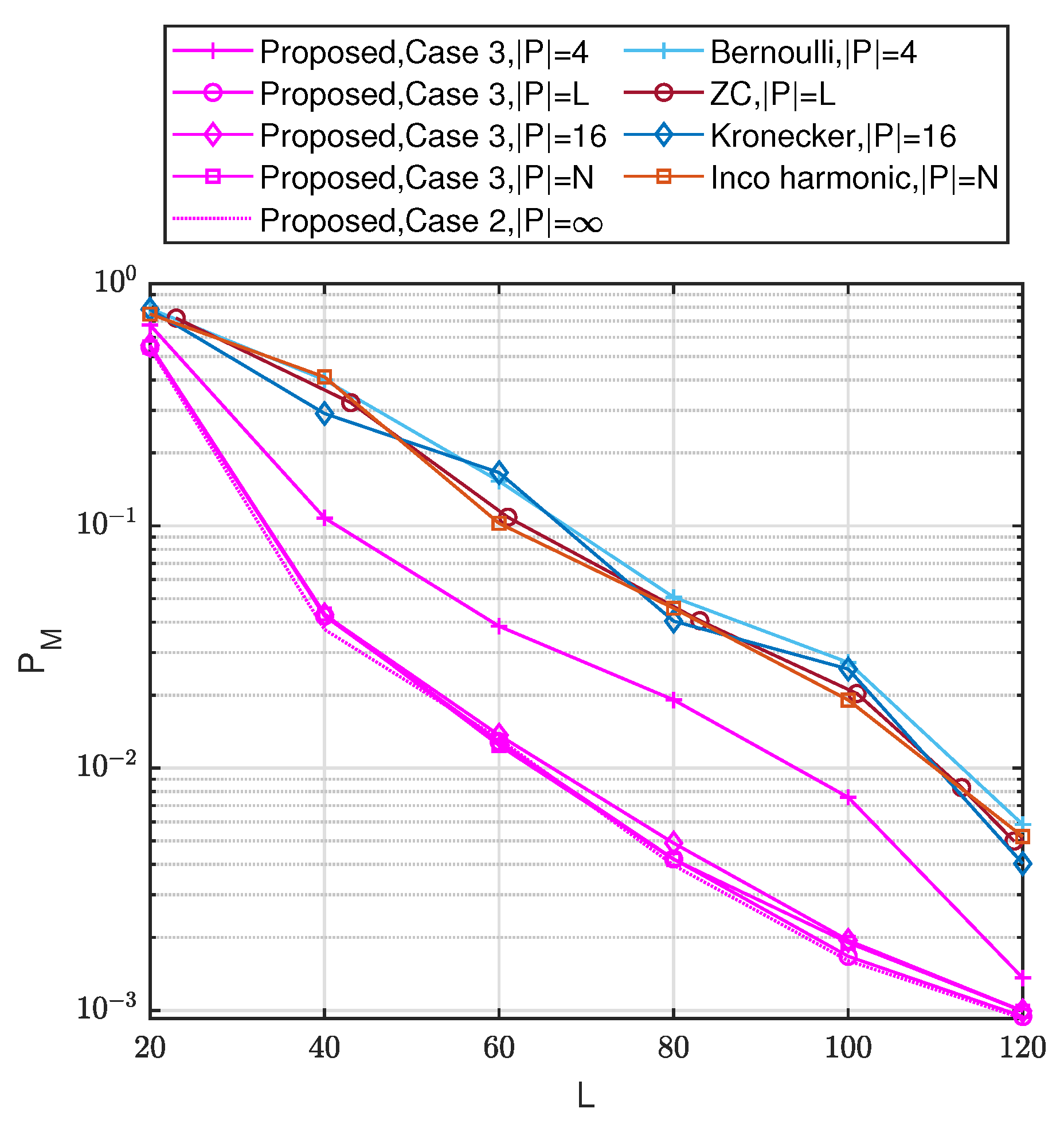
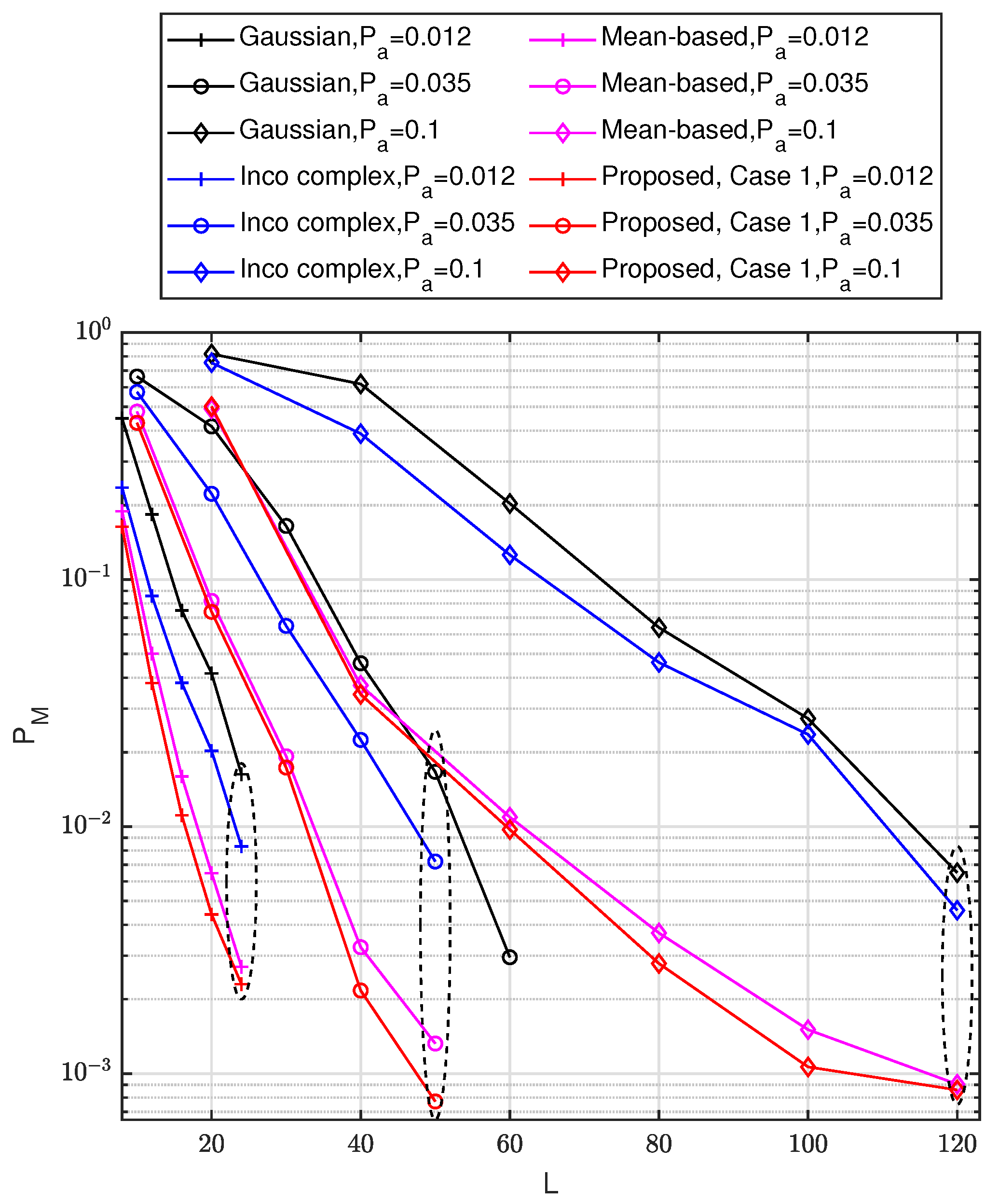
4. Numerical Experiment
4.1. Simulation Setup
4.2. Results
5. Conclusions
Author Contributions
Funding
Data Availability Statement
Conflicts of Interest
References
- Jiang, J.-C.; Wang, H.-M. Massive random access with sporadic short packets: Joint active user detection and channel estimation via sequential message passing. IEEE Trans. Wirel. Commun. 2021, 20, 4541–4555. [Google Scholar] [CrossRef]
- Gao, Z.; Ke, M.; Mei, Y.; Qiao, L.; Chen, S.; Ng, D.W.K.; Poor, H.V. Compressive-sensing-based grant-free massive access for 6G massive communication. IEEE Internet Things J. 2023, 11, 7411–7435. [Google Scholar] [CrossRef]
- Wan, J.; Li, X.; Dai, H.-N.; Kusiak, A.; Martinez-Garcia, M.; Li, D. Artificial-intelligence-driven customized manufacturing factory: Key technologies, applications, and challenges. Proc. IEEE 2020, 109, 377–398. [Google Scholar] [CrossRef]
- Abdelkader, M.; Güler, S.; Jaleel, H.; Shamma, J.S. Aerial swarms: Recent applications and challenges. Curr. Robot. Rep. 2021, 2, 309–320. [Google Scholar] [CrossRef] [PubMed]
- Shahab, M.B.; Abbas, R.; Shirvanimoghaddam, M.; Johnson, S.J. Grant-free non-orthogonal multiple access for IoT: A survey. IEEE Commun. Surv. Tutor. 2020, 22, 1805–1838. [Google Scholar] [CrossRef]
- Liu, R.; Zhang, L.; Li, R.Y.N.; Renzo, M.D. The ITU Vision and Framework for 6G: Scenarios, Capabilities, and Enablers. IEEE Veh. Technol. Mag. 2025, 20, 114–122. [Google Scholar] [CrossRef]
- Pokhrel, S.R.; Ding, J.; Park, J.; Park, O.-S.; Choi, J. Towards enabling critical mMTC: A review of URLLC within mMTC. IEEE Access 2020, 8, 131796–131813. [Google Scholar] [CrossRef]
- Baraniuk, R.; Davenport, M.; DeVore, R.; Wakin, M. A simple proof of the restricted isometry property for random matrices. Constr. Approx. 2008, 28, 253–263. [Google Scholar] [CrossRef]
- Srinath, H.G.; Rana, M.; Balasubramanya, N.M. Grant-free access for mMTC: A performance analysis based on number of preambles, repetitions, and retransmissions. IEEE Internet Things J. 2022, 9, 15169–15183. [Google Scholar] [CrossRef]
- Wang, H.; Zhang, X.; Zhou, S. Joint Design of Transmission and Reception Exploiting Channel Correlation in Grant-Free Access. In Proceedings of the GLOBECOM 2023—2023 IEEE Global Communications Conference, Kuala Lumpur, Malaysia, 4–8 December 2023; pp. 2372–2377. [Google Scholar]
- Liu, L.; Yu, W. Massive connectivity with massive MIMO—Part I: Device activity detection and channel estimation. IEEE Trans. Signal Process. 2018, 66, 2933–2946. [Google Scholar] [CrossRef]
- Djelouat, H.; Leinonen, M.; Juntti, M. Spatial correlation aware compressed sensing for user activity detection and channel estimation in massive MTC. IEEE Trans. Wirel. Commun. 2022, 21, 6402–6416. [Google Scholar] [CrossRef]
- Cheng, Y.; Liu, L.; Ping, L. Orthogonal AMP for massive access in channels with spatial and temporal correlations. IEEE J. Sel. Areas Commun. 2020, 39, 726–740. [Google Scholar] [CrossRef]
- Senel, K.; Larsson, E.G. Grant-free massive MTC-enabled massive MIMO: A compressive sensing approach. IEEE Trans. Commun. 2018, 66, 6164–6175. [Google Scholar] [CrossRef]
- Ding, J.; Qu, D.; Choi, J. Analysis of non-orthogonal sequences for grant-free RA with massive MIMO. IEEE Trans. Commun. 2019, 68, 150–160. [Google Scholar] [CrossRef]
- 3GPP. 5G; NR; Physical Channels and Modulation. Technical Specification (TS) 38.211, 3rd Generation Partnership Project (3GPP), Version 19.0.0. 2025. Available online: https://portal.3gpp.org/desktopmodules/Specifications/SpecificationDetails.aspx?specificationId=3213 (accessed on 1 October 2025).
- Yu, N.Y. Kronecker-based non-orthogonal sequences of small phases for uplink grant-free access using the genetic algorithm. IEEE Commun. Lett. 2022, 26, 2510–2514. [Google Scholar] [CrossRef]
- Rusu, C.; González-Prelcic, N.; Heath, R.W., Jr. Algorithms for the construction of incoherent frames under various design constraints. Signal Process. 2018, 152, 363–372. [Google Scholar] [CrossRef]
- Nitzberg, R. Constant-false-alarm-rate signal processors for several types of interference. IEEE Trans. Aerosp. Electron. Syst. 2007, AES-8, 27–34. [Google Scholar] [CrossRef]
- Balashov, M.V.; Polyak, B.T.; Tremba, A.A. Gradient projection and conditional gradient methods for constrained nonconvex minimization. Numer. Funct. Anal. Optim. 2020, 41, 822–849. [Google Scholar] [CrossRef]
- Xu, W.; Gao, F.; Zhang, J.; Tao, X.; Alkhateeb, A. Deep learning based channel covariance matrix estimation with user location and scene images. IEEE Trans. Commun. 2021, 69, 8145–8158. [Google Scholar] [CrossRef]
- Rusek, F.; Persson, D.; Lau, B.K.; Larsson, E.G.; Marzetta, T.L.; Edfors, O.; Tufvesson, F. Scaling Up MIMO: Opportunities and Challenges with Very Large Arrays. IEEE Signal Process. Mag. 2013, 30, 40–60. [Google Scholar] [CrossRef]
- Durrett, R. Probability: Theory and Examples; Cambridge University Press: Cambridge, UK, 2019; Volume 49. [Google Scholar]
- Jaeckel, S.; Raschkowski, L.; Börner, K.; Thiele, L. QuaDRiGa: A 3-D multi-cell channel model with time evolution for enabling virtual field trials. IEEE Trans. Antennas Propag. 2014, 62, 3242–3256. [Google Scholar] [CrossRef]
- Zhu, Q.; Wang, C.-X.; Hua, B.; Mao, K.; Jiang, S.; Yao, M. 3GPP TR 38.901 channel model. In Wiley 5G Ref: The Essential 5G Reference Online; Wiley Press: Hoboken, NJ, USA, 2021; pp. 1–35. [Google Scholar]















Disclaimer/Publisher’s Note: The statements, opinions and data contained in all publications are solely those of the individual author(s) and contributor(s) and not of MDPI and/or the editor(s). MDPI and/or the editor(s) disclaim responsibility for any injury to people or property resulting from any ideas, methods, instructions or products referred to in the content. |
© 2025 by the authors. Licensee MDPI, Basel, Switzerland. This article is an open access article distributed under the terms and conditions of the Creative Commons Attribution (CC BY) license (https://creativecommons.org/licenses/by/4.0/).
Share and Cite
Wang, H.; Zhang, X.; Zhou, S. Pilot Design Based on the Distribution of Inter-User Interference for Grant-Free Access. Electronics 2025, 14, 3988. https://doi.org/10.3390/electronics14203988
Wang H, Zhang X, Zhou S. Pilot Design Based on the Distribution of Inter-User Interference for Grant-Free Access. Electronics. 2025; 14(20):3988. https://doi.org/10.3390/electronics14203988
Chicago/Turabian StyleWang, Hao, Xiujun Zhang, and Shidong Zhou. 2025. "Pilot Design Based on the Distribution of Inter-User Interference for Grant-Free Access" Electronics 14, no. 20: 3988. https://doi.org/10.3390/electronics14203988
APA StyleWang, H., Zhang, X., & Zhou, S. (2025). Pilot Design Based on the Distribution of Inter-User Interference for Grant-Free Access. Electronics, 14(20), 3988. https://doi.org/10.3390/electronics14203988

