An Exhaustive Method of TOA-Based Positioning in Mixed LOS/NLOS Environments
Abstract
1. Introduction
2. Problem Statement and Algorithm Development
3. Numerical Results
- (1)
- (2)
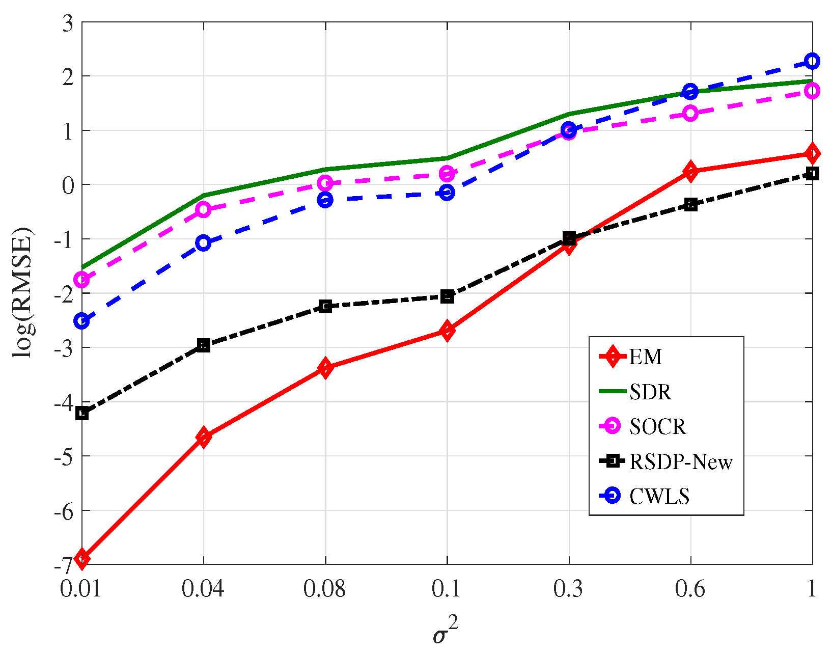
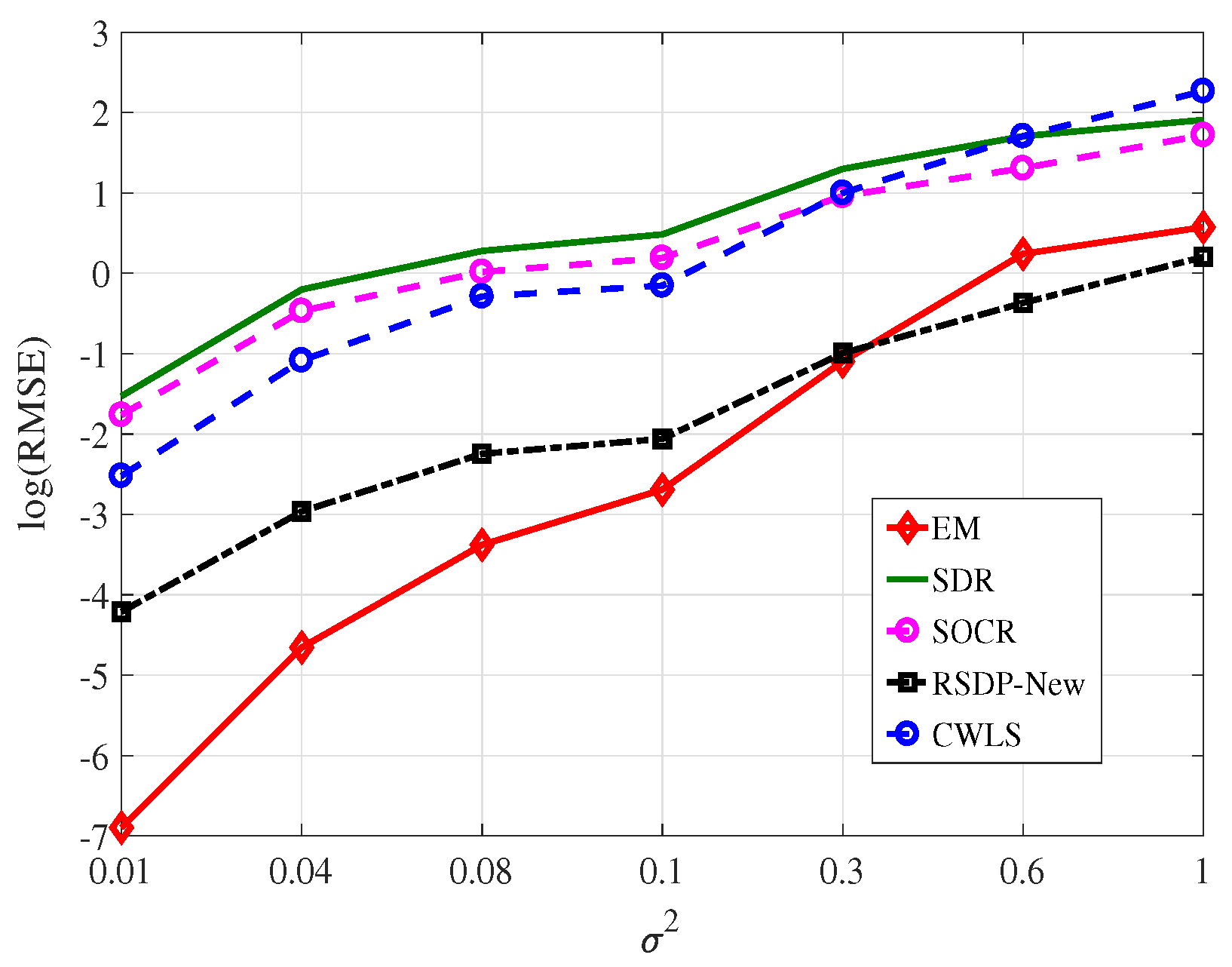
- Figure 5 shows that our EM method performs significantly better than SDR, SOCR, and CWLS. Compared to the RSDP-New method, when , the RMSE produced by our method is slightly higher. This is due to the fact that the RSDP-New method applies prior information about NLOS paths, but we do not. In the case that , obviously, our method produces a much lower RMSE without any prior ’information about NLOS paths.
- (3)
- On the whole, the proposed method is superior to the RSDP-New method in positioning accuracy. This indicates that the proposed criterion can find out the LOS-BSs.
4. Conclusions
Author Contributions
Funding
Data Availability Statement
Conflicts of Interest
References
- GO, S.; Chong, J. An efficient TOA-based localization scheme based on BS selection in wireless sensor networks. IEICE Trans. Commun. 2014, 11, 2560–2569. [Google Scholar] [CrossRef]
- Wang, W.; Wang, G.; Zhang, J.; Li, Y.M. Robust weighted least squares method for TOA-Based localization under mixed LOS/NLOS conditions. IEEE Commun. Lett. 2017, 21, 2226–2229. [Google Scholar] [CrossRef]
- Wang, G.; Chen, H.T.; Li, Y.M.; Ansari, N. NLOS error mitigation for TOA-based localization via convex relaxation. IEEE Trans. Wirel. Commun. 2014, 13, 4119–4131. [Google Scholar] [CrossRef]
- Zhang, J.W. AntiConcealer: Reliable detection of adversary concealed behaviors in EdgeAI-assisted IoT. IEEE Internet Things J. 2021, 9, 22184–22193. [Google Scholar] [CrossRef]
- Li, X.L.; Cai, J.; Zhao, R.Y.; Li, C.; He, C.W. Optimizing anchor node deployment for fingerprint localization with low-cost and coarse- grained communication chips. IEEE Internet Things J. 2022, 9, 15297–15311. [Google Scholar] [CrossRef]
- Xiong, T.H.; Feng, S.; Pan, M.; Yu, Y. Smart contract generation for inter-organizational proces s collaboration. Concurr. Computat. Pract. Exper. 2024, 36, e7961. [Google Scholar] [CrossRef]
- Zhang, J.B.; Sun, H.; Feng, Y.J.; Fan, J.C. HyLoc: An Indoor Single-Site Hybrid Localization Scheme Based on LOS/NLOS Identification. IEEE Access 2023, 11, 115033–115046. [Google Scholar] [CrossRef]
- Wang, Q.; Li, Z.H.; Zhang, H.; Yang, Y.; Meng, X.L. An Indoor UWB NLOS Correction Positioning Method Based on Anchor LOS/NLOS Map. IEEE Sens. J. 2024, 23, 30739–30750. [Google Scholar] [CrossRef]
- Singh, S.; Trivedi, A.; Saxena, D. Unsupervised LoS/NLoS Identification in MmWave Communication using Two-stage Machine Learning Framework. Phys. Commu. 2023, 59, 102118. [Google Scholar] [CrossRef]
- Sun, J.; Sun, W.; Zheng, J.; Chen, Z.Y.; Tang, C.J.; Zhang, X. A Novel UWB/IMU/Odometer-Based Robot Localization System in LOS/NLOS Mixed Environments. IEEE Trans. Instru. Meas. 2024, 73, 7502913. [Google Scholar] [CrossRef]
- Momtaz, A.; Behnia, F.; Amiri, R.; Marvasti, F. NLOS identification in range-based source localization: Statistical Approach. IEEE Sens. J. 2018, 18, 3745–3751. [Google Scholar] [CrossRef]
- Chen, P.C. A non-line-of-sight error mitigation algorithm in location estimation. In Proceedings of the 1999 IEEE Wireless Communications and Networking Conference, New Orleans, LA, USA, 21–24 September 1999; pp. 316–320. [Google Scholar]
- Chan, Y.T.; Tsui, W.Y.; So, H.C.; Ching, P.C. Time-of-Arrival Based Localization Under NLOS Conditions. IEEE Trans. Veh. Technol. 2006, 55, 17–24. [Google Scholar] [CrossRef]
- Chen, H.T.; Wang, G.; Ansari, N. Improved robust TOA-based localization NLOS balancing parameter estimation. IEEE Trans. Veh. Technol. 2019, 68, 6177–6181. [Google Scholar] [CrossRef]
- Tomic, S.; Beko, M. A bisection-based approach for exact target localization in NLOS environments. Signal Process. 2018, 143, 328–335. [Google Scholar] [CrossRef]
- Chen, H.Y.; Wang, G.; Wang, Z.Z.; So, H.C.; Poor, H.V. Non-Line-of-Sight node localization based on semi-definite programming in wireless sensor networks. IEEE Trans. Wirel. Commun. 2012, 11, 108–116. [Google Scholar] [CrossRef]
- Yi, L.L.; Razul, S.G.; Lin, Z.P.; See, C.M. Target Tracking in Mixed LOS/NLOS Environments Based on Individual Measurement Estimation and LOS Detection. IEEE Trans. Wirel. Commun. 2014, 13, 99–111. [Google Scholar] [CrossRef]
- Katwe, M.; Ghare, P.; Sharma, P.K. Robust NLOS Bias Mitigation for Hybrid RSS-TOA Based Source Localization Under Unknown Transmission Parameters. IEEE Wireless Commun. Lett. 2021, 10, 541–546. [Google Scholar] [CrossRef]
- He, C.W.; Yuan, Y.B.; Tan, B.F. Constrained L1-norm minimization method for range-based source localization under mixed sparse LOS/NLOS environments. Sensors 2021, 21, 1321. [Google Scholar] [CrossRef]
- He, C.W.; Yuan, Y.B.; Tan, B.F. Alternating direction method of multipliers for TOA-Based positioning under mixed sparse LOS/NLOS environments. IEEE Access 2021, 9, 28407–28412. [Google Scholar] [CrossRef]
- Bube1, K.P.; Nemeth, T. Fast line searches for the robust solution oflinear systems in the hybrid ℓ1/ℓ2 and Huber norms. Geophysics 2007, 72, A13–A17. [Google Scholar] [CrossRef]
- Qin, L.; Shi, M.L.; Li, J.Z.; Gu, X.B. LOS/NLOS Classification using Causal Backtracking and ResNet in UWB Sensing. Phys. Commu. 2025, 72, 102714. [Google Scholar] [CrossRef]
- Zhou, Y.N.; Hutu, F.D.; Villemaud, G. Experimental Analysis of Spatial Modulation Systems in Mixed LOS/NLOS Scenarios. IEEE Access 2022, 10, 21264–21276. [Google Scholar] [CrossRef]
- Liu, Q.Z.; Yin, Z.D.; Zhao, Y.L.; Wu, Z.L.; Wu, M.Y. UWB LOS/NLOS identification in multiple indoor environments using deep learning methods? Phys. Commu. 2022, 52, 101695. [Google Scholar] [CrossRef]
- Hajiakhondi, M.Z.; Mohammadi, A.; Hou, M.; Plataniotis, K.N. DQLEL: Deep Q-Learning for Energy-Optimized LoS/NLoS UWB Node Selection. IEEE Trans. Signal Process. 2022, 70, 2532–2547. [Google Scholar] [CrossRef]
- Yang, H.C.; Wang, Y.J.; Seow, C.K.; Sun, M.; Si, M.H.; Huang, L. UWB Sensor-Based Indoor LOS/NLOS Localization with Support Vector Machine Learning. IEEE Sens. J. 2023, 23, 2988–3004. [Google Scholar] [CrossRef]
- Fu, T.X.; Li, Y.F. Robust Target Tracking in Mixed LOS/NLOS Environments Using a Probabilistic Multihypothesis Tracker. IEEE Trans. Instru. Meas. 2025, 74, 9512710. [Google Scholar] [CrossRef]
- Shamsian, M.R.; Behnia, F. TOA/RSS-Based Source Localization Using Probabilistic Model in Mixed LOS/NLOS Environments. IEEE Trans. Veh. Technol. 2025, 74, 4473–4484. [Google Scholar] [CrossRef]
- Zhu, Y.S.; Xu, B.; Wang, J.B.; Li, Y.Q.; Qi, W.D. A Simple Efficient Lightweight CNN Method for LOS/NLOS Identification in Wireless Communication Systems. IEEE Commun. Lett. 2023, 27, 1515–1519. [Google Scholar] [CrossRef]
- Cheung, K.W.; So, H.C.; Ma, W.K.; Chan, Y.T. Least Squares Algorithms for Time-of-Arrival-Based Mobile Location. IEEE Trans. Signal Process. 2004, 52, 1121–1128. [Google Scholar] [CrossRef]








| Method | Average Time |
|---|---|
| EM | 0.0084 |
| SDR | 0.83 |
| SOCP | 0.67 |
| RSDP-New | 0.94 |
| CWLS | 0.3 |
Disclaimer/Publisher’s Note: The statements, opinions and data contained in all publications are solely those of the individual author(s) and contributor(s) and not of MDPI and/or the editor(s). MDPI and/or the editor(s) disclaim responsibility for any injury to people or property resulting from any ideas, methods, instructions or products referred to in the content. |
© 2025 by the authors. Licensee MDPI, Basel, Switzerland. This article is an open access article distributed under the terms and conditions of the Creative Commons Attribution (CC BY) license (https://creativecommons.org/licenses/by/4.0/).
Share and Cite
He, C.; Xiao, J.; Hua, L.; Ye, F.; Li, X. An Exhaustive Method of TOA-Based Positioning in Mixed LOS/NLOS Environments. Electronics 2025, 14, 3764. https://doi.org/10.3390/electronics14193764
He C, Xiao J, Hua L, Ye F, Li X. An Exhaustive Method of TOA-Based Positioning in Mixed LOS/NLOS Environments. Electronics. 2025; 14(19):3764. https://doi.org/10.3390/electronics14193764
Chicago/Turabian StyleHe, Chengwen, Jiahui Xiao, Liangchun Hua, Fei Ye, and Xuelei Li. 2025. "An Exhaustive Method of TOA-Based Positioning in Mixed LOS/NLOS Environments" Electronics 14, no. 19: 3764. https://doi.org/10.3390/electronics14193764
APA StyleHe, C., Xiao, J., Hua, L., Ye, F., & Li, X. (2025). An Exhaustive Method of TOA-Based Positioning in Mixed LOS/NLOS Environments. Electronics, 14(19), 3764. https://doi.org/10.3390/electronics14193764

