Next Article in Journal
Dynamic Resource Allocation in Full-Duplex Integrated Sensing and Communication: A Multi-Objective Memetic Grey Wolf Optimizer Approach
Next Article in Special Issue
Multicast Covert Communication in PA-Assisted ISAC Systems
Previous Article in Journal
VST-YOLOv8: A Trustworthy and Secure Defect Detection Framework for Industrial Gaskets
 
 
Font Type:
Arial Georgia Verdana
Font Size:
Aa Aa Aa
Line Spacing:
Column Width:
Background:
Article

Physical-Layer Encryption for Terahertz Wireless Communication via Logical AND Operation of Dual Beams †

by
Yoshiki Kamiura
*,
Shinji Iwamoto
,
Yuya Mikami
and
Kazutoshi Kato
Graduate School of Information Science and Electrical Engineering, Kyushu University, 744 Motooka, Nishi-ku, Fukuoka 819-0395, Japan
*
Author to whom correspondence should be addressed.
This paper is an extended version of our paper published in Iwamoto, S.; Kamiura, Y.; Mikami, Y.; Kato, K. Experimental Evaluation of Physically-Secured 300-GHz-Band Wireless Transmission. In Proceedings of the 30th OptoElectronics and Communications Conference/International Conference on Photonics in Switching and Computing, TuC3-3, Sapporo, Japan, 29 June–2 July 2025.
Electronics 2025, 14(19), 3762; https://doi.org/10.3390/electronics14193762
Submission received: 4 August 2025 / Revised: 16 September 2025 / Accepted: 21 September 2025 / Published: 23 September 2025

Abstract

This paper proposes and experimentally demonstrates a novel physical-layer encryption scheme for terahertz (THz) wireless communication based on a logical AND operation between dual THz beams transmitted from spatially separated sources. Unlike previous studies, confined to chip-scale or waveguide configurations, our approach validates the concept under free-space transmission, thereby highlighting its applicability to real wireless environments. The system utilizes uni-traveling carrier photodiodes (UTC-PDs) to generate independent THz carriers, and coherent detection combined with envelope extraction enables analog-domain realization of the AND operation. Experimental results confirm successful decryption at data rates up to 1.5 Gbit/s, achieving bit error rates (BERs) below the forward error correction threshold (e.g., 3.13 × 10−10 at 500 Mbit/s). Furthermore, spatial mapping and simulation show strong agreement with measurements, yielding a predictive accuracy of approximately 84% and validating spatial selectivity as a security feature. These findings establish the novelty of applying dual-beam logical operations for secure THz transmission and provide a foundation for scalable, low-complexity physical-layer security in next-generation wireless networks.

1. Introduction

The exponential increase in internet usage and the surge in connected devices have led to a dramatic rise in wireless data traffic demand. Particularly, the advancement of IoT (Internet of Things) and the progression toward 5G and 6G networks have intensified the need for wireless technologies with higher speeds and greater capacity. In response, global research efforts are accelerating toward the realization of beyond 5G and 6G systems, targeting data transmission rates surpassing 100 Gbit/s [1]. Among the emerging candidates, terahertz (THz) technology stands out as a promising solution for ultra-high-speed, short-range wireless communication due to its capacity for transmitting massive data volumes.
In the case of electrical approaches, THz generation has been pursued using III–V compound semiconductor devices. For instance, InP-based heterojunction bipolar transistors (HBTs), high electron mobility transistors (HEMTs), and GaAs-based Schottky diodes have demonstrated output powers in the range of 0.1 to 1 mW at room temperature [2,3,4,5,6]. Nevertheless, these electronic approaches face intrinsic limitations in terms of bandwidth, output power, and noise performance. To overcome these obstacles, photomixing technology has attracted significant attention.
Photomixing utilizes a high-speed photodiode such as the uni-traveling carrier photodiode (UTC-PD) to generate THz signals by beating two optical carriers of different frequencies inside a semiconductor material [7,8,9]. This technique enables precise control over the frequency, phase, and output power of the generated THz waves by simply adjusting the properties of the input lasers. Additionally, its compatibility with existing optical fiber infrastructure makes photomixing a compelling option for future wide-scale implementation.
Wireless communication is inherently vulnerable to eavesdropping due to its open medium. Conventional cryptography can mitigate this risk but remains threatened by advances in quantum computing [10,11,12,13,14]. As a complementary approach, physical layer security (PLS) leverages channel characteristics, particularly in highly directive millimeter-wave and THz bands, to enhance confidentiality [15,16,17,18,19].
In our previous work, we proposed a physical-layer encrypted wireless communication scheme employing beam steering and coherent detection in the THz band and demonstrated a proof-of-concept for data decryption based on logical operations between THz beams [20]. However, these studies were limited to configurations in which two THz signals were combined on a single chip or within a waveguide, and did not evaluate performance under spatial wireless transmission conditions.
In this study, we investigate the characteristics of physical-layer encrypted communication based on logical AND operations using a setup in which THz signals are transmitted from two spatially separated points and received simultaneously [21]. An experimental environment was constructed to emulate a dual-base-station configuration with sufficient separation between transmitters, and the impact on communication quality and reception area was evaluated. The results confirm that the proposed logical-operation-based encryption scheme remains effective even in spatially distributed wireless scenarios.
The key contributions and novelties of this work are summarized as follows:
  • Proposal of an analog-domain physical-layer encryption scheme based on logical AND operations between dual terahertz (THz) beams.
  • Implementation using photomixing with UTC-PDs, enabling the generation of two spatially separated THz carriers carrying distinct data streams.
  • Experimental demonstration of decryption via coherent detection, validating that the original bit stream can be recovered only when both THz beams overlap and are phase-aligned.
  • Evaluation of system performance, including bit error rate (BER) measurements up to 1.5 Gbit/s and comparison with simulation, confirming the feasibility of the proposed scheme.
  • Verification of spatial selectivity, through experiments and simulations that show successful decryption is confined to a narrow overlap region, enhancing the inherent security.

2. Related Works

As briefly noted in the introduction, wireless communication remains fundamentally vulnerable to eavesdropping, and traditional cryptographic schemes face increasing challenges from brute-force methods and quantum computing [10,11,12]. In this section, we provide a more comprehensive review of related works, covering the evolution from conventional cryptography to post-quantum cryptography (PQC), and exploring the emergence of physical layer security (PLS) techniques in millimeter-wave and terahertz systems.
In response to these threats, the research community has explored post-quantum cryptography (PQC), which aims to design cryptographic algorithms resistant to quantum attacks. PQC schemes, such as lattice-based or code-based cryptography, promise enhanced resilience and are being standardized by organizations such as NIST. However, while PQC provides strong theoretical guarantees, its practical implementation raises new challenges. Hardware implementations, whether based on FPGA or ASIC platforms, often remain susceptible to side-channel attacks that exploit leakage through timing, power consumption, or electromagnetic emissions [13,14]. As a result, there is a growing interest in complementary security mechanisms that can strengthen system resilience beyond traditional cryptographic layers.
One such approach is Physical Layer Security (PLS), which leverages the inherent characteristics of wireless channels to enhance confidentiality. Rooted in Wyner’s wiretap channel model, PLS establishes secrecy by exploiting differences in channel conditions between the legitimate receiver and potential eavesdroppers. Compared with cryptographic methods, PLS offers significantly lower computational complexity and can be integrated into existing systems without excessive overhead [15]. This makes it especially attractive for resource-constrained scenarios such as Internet of Things (IoT) deployments and wireless sensor networks (WSNs).
PLS has been particularly effective in high-frequency bands such as millimeter-wave and terahertz (THz) systems. In these regimes, strong directivity reduces the spatial footprint of transmissions, inherently limiting signal leakage and improving secrecy. For example, hybrid beamforming techniques in multi-user multiple-input multiple-output (MIMO) systems have demonstrated significant resistance to eavesdropping by steering beams precisely toward intended receivers while suppressing side lobes [16]. Other researchers have explored quantum noise–based masking, which injects random noise into the transmitted signal, thereby confusing potential eavesdroppers while enabling legitimate receivers to recover the original data [17]. Similarly, highly directive antenna technologies, including leaky-wave antennas and vortex beams, have been investigated to confine the spatial region of secure communication. These approaches have shown promise in simulation and experimental studies [18,19]. A comparative summary of these techniques is presented in Table 1.
Despite these advances, existing PLS methods face practical challenges. Many techniques rely heavily on precise beam alignment and synchronization, which can be difficult to maintain in dynamic wireless environments. Signal scattering, multipath fading, and environmental fluctuations may degrade secrecy performance, making real-world deployment complex. Moreover, the trade-offs between secrecy capacity, hardware complexity, and energy consumption remain unresolved, especially in mobile and large-scale networks.
In the context of terahertz communications, recent works have emphasized photonic-assisted approaches for secure and high-speed wireless links. Photomixing, in which two optical tones are combined in a high-speed photodiode such as a UTC-PD, has emerged as a key enabling technology. Its compatibility with optical fiber infrastructure and ability to generate high-frequency carriers make it attractive for beyond-5G and 6G systems. Several studies have demonstrated THz wireless links exceeding 100 Gbit/s over short distances, highlighting the feasibility of photonic methods for next-generation communication. Importantly, photonic-based THz systems can also support novel security schemes in the analog domain, where encryption is achieved through signal mixing, masking, or logical operations.
The concept of employing logical operations for secure communication has been discussed in both optical and wireless contexts. By dividing an original data stream into multiple sub-streams and applying bitwise operations such as XOR or AND, researchers have shown that information can be concealed unless all sub-streams are simultaneously available. When combined with directional THz beams, this strategy offers inherent spatial selectivity, restricting the possibility of interception to confined regions where multiple beams overlap. This feature aligns well with the high directivity of UTC-PD-based THz transmitters, making logical-operation-based security schemes particularly relevant.
Beyond technical mechanisms, it is also essential to consider the application domains where these approaches are viable. Terrestrial WSNs provide a natural use case, as they typically rely on short-range, line-of-sight communication, where precise beam alignment is feasible. In such networks, PLS techniques can complement cryptographic methods to safeguard sensitive data. By contrast, underwater WSNs suffer from severe attenuation of THz waves due to absorption by water molecules, making them unsuitable for THz-based PLS. Similarly, underground networks face challenges from soil permittivity and scattering, which hinder THz propagation. Therefore, the most promising application domain for logical-operation-based encryption in THz systems lies in terrestrial networks, especially in urban or indoor environments where spatial confinement and infrastructure support are available.
Another important research direction involves integrating PLS with existing wireless infrastructures. For example, hybrid systems that combine PLS with PQC could provide multi-layered protection, defending against both physical-layer attacks and computational threats. Similarly, the coexistence of PLS with reconfigurable intelligent surfaces (RIS) has been proposed to dynamically control wireless propagation environments, further enhancing security. In THz systems, RIS could be used to steer or reshape beams, creating controlled secure zones in dynamic scenarios.
Despite the significant progress in the literature, there are still clear research gaps. First, the tolerance of PLS methods to phase noise, jitter, and misalignment in practical THz systems remains underexplored. Second, comparative analyses between different security schemes—such as beamforming secrecy, noise masking, and logical operations—are limited, making it difficult to evaluate their relative advantages. Third, the scalability of photonic-based PLS to large networks, where multiple transmitters and receivers must be coordinated, presents both a technical and architectural challenge. Finally, energy efficiency is an increasingly important consideration, as schemes that exploit multiple beams or high-power photonic devices inherently consume more power.
Motivated by these challenges, our work builds on prior studies of THz PLS and photonic-based communication to propose a novel scheme in which logical AND operations are realized directly in the analog domain. By transmitting two THz beams carrying complementary data streams and recovering the original data only when both beams overlap and are phase-aligned, the proposed method enhances security while maintaining hardware simplicity. This approach not only addresses some of the shortcomings of prior methods but also opens a new research direction for scalable, spatially selective, and low-complexity physical-layer security in high-frequency wireless networks.

3. The Concept of Employing Logical Operations

3.1. Configuration of the Proposed System

To provide a clear overview of our study, Figure 1 illustrates the research flow of the proposed terahertz (THz) physical-layer encryption scheme. The flow chart highlights the major steps, starting from the identification of security challenges in THz communication, through the proposal of a dual-beam AND-based encryption method, simulation analysis, and experimental validation, and finally concluding with comparative discussion and key findings. This diagram allows readers to follow how the different components of the work are interconnected and how each stage contributes to demonstrating the feasibility of the proposed approach.
Figure 2 illustrates a proof-of-concept configuration corresponding to our short-range laboratory experiment. For practical deployment, the schematic would require adaptation to larger coverage scenarios by incorporating higher-power transmitters, directive antennas, or beam steering technologies. The physically secured wireless transmission system proposed in this study consists of an encryption module, two optical transmission paths, two THz transmitters, and a decryption module, as depicted in Figure 2. In the encryption process, the original data are divided into two distinct sequences, labeled Data1 and Data2. For example, Data2 may represent a randomly generated binary sequence, while Data1 is obtained by performing a bitwise logical AND operation between the original data and Data2. At the receiver, the original data can be retrieved by applying the same logical AND operation to the received sequences. While this method does not provide unconditional security as in the one-time pad scheme, it enhances resistance to interception by increasing the computational difficulty of reconstructing the plaintext from a single data stream.
Each data sequence is modulated onto a two-tone optical signal via electro-optic modulators, with the frequency spacing between the tones corresponding to the desired THz carrier frequency. These optical signals are transmitted over separate optical fiber links to two geographically separated THz transmitters, Tx1 and Tx2. At each transmitter, the two-tone optical signal is converted into a THz wave by irradiating it onto the UTC-PD. The generated THz beams (THz1 and THz2) are radiated toward the designated location using horn antennas integrated with the UTC-PD modules.
At the receiver, the two incoming THz waves are mixed to generate a heterodyne signal. By extracting the envelope of this signal, the original data can be recovered through a logical AND operation between Data1 and Data2. Details of the decryption mechanism are presented in the subsequent section.
Successful recovery of the original data requires the simultaneous reception of both THz1 and THz2 signals. This implies that accurate decryption is possible only within a confined spatial region where the two THz beams overlap. Owing to the high directivity of THz waves radiated from UTC-PD modules equipped with horn antennas, the area in which both beams can be received is inherently limited. Furthermore, proper data reconstruction demands not only spatial overlap of the beams but also precise phase alignment between the two data sequences. If the phase offset exceeds one bit period, the decryption process may yield incorrect results. Furthermore, both transmission paths must employ identical modulation formats to ensure successful recovery of the original bit stream. This requirement was satisfied in our experiments by adopting OOK modulation. In practical deployment, additional synchronization mechanisms, such as low-rate pilot training, could further ensure coherent operation, although such procedures were not implemented in the present study.
Figure 3a shows the simulated communication area of the system when the distance between the two transmitters is 20 m, the THz beamwidth is 15 degrees, and the bit rate is set to 1 Gbit/s. Here, the communication area is defined by the spatial region where the beams of both THz waves overlap, and their data phases coincide. Although it appears as a narrow line in the figure, its actual width (W) is approximately 0.045 m, resulting in a finite area of 2.2168 m2. This indicates that communication is possible within this very narrow region, thereby enabling highly secure wireless communication. The relationship between the bit rate and the resulting communication range is illustrated in Figure 3b. As shown in Figure 3b, the bit rate and the communication range are inversely related, and wireless communication with a high bit rate can be performed with higher security. When the bit rate is set to 10 Gbit/s, the communication range is limited to 0.244 m2.

3.2. Decryption Based on Coherent Detection

Two spatially overlapping THz beams, THz1 and THz2, are considered. The electric fields of the two terahertz waves are expressed as follows, where their amplitudes are denoted by A T H z 1 and A T H z 2 , their frequencies by f T H z 1 and f T H z 2 and their phases by φ T H z 1 and φ T H z 2 respectively.
E T H z 1 = A T H z 1 cos 2 π f T H z 1 t + φ T H z 1
E T H z 2 = A T H z 2 cos 2 π f T H z 2 t + φ T H z 2
When the two THz waves are input into the diode mixer and coherently detected, the output signal I o u t ( t ) is obtained as follows.
I o u t ( t ) E T H z 1 + E T H z 2 2 A T H z 1 A T H z 2 cos 2 π f T H z 1 f T H z 2 t + φ T H z 1 φ T H z 2
Equation (3) indicates that when two THz waves are coherently detected, the output current becomes proportional to the product of their amplitudes. In other words, the detected signal is strong only when both input waves are present at the same time. Since each wave is modulated by an independent binary sequence using on–off keying (OOK), the multiplication process naturally yields an AND operation: the output is nonzero only when both input bits are ‘1’. The carrier phase difference φ T H z 1 φ T H z 2 appears in the intermediate frequency term, but after envelope detection it does not affect the logical result.
Figure 4 shows the schematic of the result of coherent detection between THz1 and THz2 when they are intensity-modulated with different data sequences, 11100011 and 11000110, respectively. When both THz waves are received at the same location and coherently mixed by a photoconductive receiver, the coherently detected signal reflects the instantaneous product of the two input intensities. Therefore, the coherently detected signal appears only when both THz1 and THz2 are simultaneously active (i.e., both data bits are ‘1’). This naturally realizes a bitwise AND operation in the analog domain. The coherently detected signal is then down-converted to baseband using an envelope detector, resulting in a time-domain signal that represents the logical AND of the original data sequences. In this way, both signal mixing (down-conversion) and decryption (logical AND) are performed simultaneously and passively in the physical layer.
This configuration enables a simple receiver architecture without the need for active decryption circuitry or prior knowledge of individual data sequences. Moreover, due to the spatial selectivity of coherent detection with directional THz beams, decryption is only possible within the limited spatial region where both beams overlap, providing an inherent spatial security mechanism. Furthermore, it should be noted that the adoption of UTC-PD photomixing and the self-heterodyne coherent detection scheme is not arbitrary but technically motivated. UTC-PDs allow arbitrary and precise carrier frequency generation by simply adjusting the optical tone spacing, and they are inherently compatible with existing optical communication systems, enabling seamless conversion from fiber to THz. On the receiver side, unlike conventional coherent receivers that require a separate local oscillator, our scheme performs self-heterodyne detection by directly combining the two incident THz beams at the mixer. This approach simplifies the receiver hardware, while the resulting IF amplitude follows the product relation described in Equation (3), naturally yielding an analog-domain AND operation that contributes to the security property of the system.
In this study, on–off keying (OOK) was employed as the modulation format owing to its simplicity and compatibility with the proposed analog-domain multiplication scheme. OOK facilitates a clear demonstration of the logical AND operation, since the product of two binary amplitude-modulated signals naturally yields the intended bitwise result. Although advanced modulation schemes such as QPSK or QAM could potentially improve spectral efficiency, they would also require additional circuitry for carrier recovery and symbol synchronization, thereby complicating the proof-of-concept demonstration. Accordingly, OOK is considered an appropriate and representative choice for verifying the fundamental feasibility of the proposed dual-beam encryption system.

4. Decoding Experiments Based on AND Operations

4.1. Experimental Configuration

As shown in Figure 5, the system was constructed in accordance with the specified design. The modulated light wave was then divided by an optical splitter (OS) and subsequently coupled with the light waves from lasers 2 and 3 by an optical coupler (OC), respectively. In this experiment, although only a single optical intensity modulator (IM) was used to modulate the lightwaves of Laser 1 at data rates from 500 Mbit/s to 1.5 Gbit/s, an additional fiber length ∆L was introduced into one of the optical branches to induce a temporal offset ∆τ between the two transmitted sequences. This delay enables effective data separation, making the system functionally equivalent to a dual-modulation scheme with independent bit timing, despite employing only a single modulator. To overcome the low optical conversion efficiency of UTC-PDs, an erbium-doped optical fiber amplifier (EDFA) was employed to maximize the power enhancement of the two lightwaves with different frequencies. Then, the coupled light wave was injected into the respective UTC-PDs, which emitted a 260 GHz THz 1 wave from UTC-PD1 and a 265 GHz THz 2 wave from UTC-PD2. Following a 14 cm transmission through space, heterodyne detection between the two THz waves was conducted by a Fermi level managed barrier diode (FMBD) with Si lens [22,23,24,25], resulting in the generation of a difference frequency signal between 260 GHz and 265 GHz. The amplitude waveform of this signal was extracted by an envelope detector (DET). The decoded signal waveforms were measured with an oscilloscope (OSC), while the bit error rate (BER) was assessed with a BER tester (BERT). It should be noted that in this proof-of-concept experiment, no additional synchronization protocol was introduced. However, for real deployment, one could envisage transmitting pilot signals at a reduced bit rate to align beams and phases, followed by gradually increasing the bit rate for actual data transmission. The payload information could be temporarily buffered until stable synchronization is achieved. Such a staged approach would not only reduce sensitivity to jitter but also improve robustness under environmental variations.

4.2. UTC-PD Module Characteristics

Figure 6 shows the photo of the device for THz wave generation. The UTC-PD was fabricated on a Silicon Carbide (SiC) substrate using the epi-layer transfer method. The UTC-PD that includes matching circuit is embedded in a signal line of MSL-based low-pass filter. The substrate was SiC with a dielectric constant (εr) of 10 and a thickness of 32 µm. SiC has excellent thermal conductivity and thus can flow a larger current without heat retention at the UTC-PD [26]. The UTC-PD has a 0.13 µm thick InGaAs photoabsorption layer consisting of p-type and undoped layers [27,28,29,30] and an area of 21 µm2 (5.2 µm diameter). The generated THz wave was coupled from the radiator to a WR-3.4 waveguide in the module.
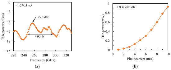
The UTC-PD module was evaluated in terms of its operational bandwidth and output power. The output power was measured using a calibrated power meter (Erickson Power Meter PM5). Figure 7a shows the spectral characteristics of the module, measured with a fixed bias voltage of −1.0 V and a photocurrent of 5 mA. Under these conditions, the 3 dB bandwidth reached a maximum of 48 GHz around the intensity peak at 257 GHz.
Figure 7b presents the THz output power of the UTC-PD at 260 GHz as a function of photocurrent. The data were obtained by varying the input optical power and measuring the resulting photocurrent and THz output power using the PM5. At 260 GHz, the device achieved an output of 930 µW with a photocurrent of 10 mA, approaching 1 mW. Furthermore, by optimizing the bias voltage and increasing the photocurrent to its upper limit, a maximum output power of approximately 4 mW was achieved at 260 GHz with a photocurrent of about 27 mA [31], which is sufficient for communication even without the use of high-gain antennas.

5. Demonstration of Decoding Functions Based on AND Operations

Figure 8 illustrates the temporal waveforms of the transmitted 500 Mbit/s THz signals from UTC-PD 1 (I) and UTC-PD 2 (II), along with the heterodyne-detected waveform obtained at the receiver (III). It can be clearly observed that the detected signal in trace (III) only appears during the time intervals where both signals (I) and (II) are simultaneously nonzero. This behavior directly reflects the logical AND relationship between the two input data streams.
Importantly, this result validates not only the principle of AND-based encryption and decryption at the physical layer, but also the robustness of coherent detection in selectively reconstructing the intended signal. The absence of detectable output when either of the two THz inputs is low confirms that a single data stream alone does not reveal any meaningful information—an essential property for maintaining data confidentiality. Furthermore, the sharp transitions and well-defined bit intervals in the waveform of trace (III) suggest that the system preserves data integrity even at a bit rate of 500 Mbit/s. This behavior also underscores the security enhancement of our scheme: since each stream individually appears as a random-like sequence, no useful information can be extracted without access to both beams. Hence, confidentiality is inherently reinforced at the physical layer.
This experimental result supports the feasibility of implementing secure wireless communication through logical operations in the analog domain, without requiring complex post-processing. It also highlights the potential for scalability to higher data rates, provided that precise phase synchronization and beam alignment are maintained. Beyond the laboratory setup in Figure 5, the proposed scheme could be adapted to practical environments such as indoor small-cell or backhaul links, where precise alignment is feasible and infrastructure support is available. This adaptability highlights its relevance to future short-range secure THz deployments.
Figure 9 shows the measured bit error rate (BER) as a function of received photocurrent for three different transmission rates: 500 Mbit/s, 1 Gbit/s, and 1.5 Gbit/s. For all data rates, the system achieved BERs below the hard-decision forward error correction (HD-FEC) threshold, indicating the feasibility of logical-AND-based secure transmission at gigabit-level rates. A minimum BER of 3.13 × 10−10 was observed at 6.65 mA for the 500 Mbit/s signal, whereas higher bit rates, such as 1.5 Gbit/s, required significantly more received power (8.55 mA) to achieve a BER of 4.67 × 10−9.
One important factor contributing to the BER degradation at higher bit rates is the limited bandwidth of the envelope detector used in this study. Specifically, the detector has a 3-dB bandwidth of 500 MHz, which is sufficient for resolving the 500 Mbit/s signal but becomes increasingly inadequate for accurately detecting faster signals. At 1.5 Gbit/s, the signal contains frequency components beyond the detector’s passband, leading to signal distortion, reduced amplitude fidelity, and timing jitter in the recovered waveform. This bandwidth limitation effectively acts as a low-pass filter, distorting the envelope shape of high-speed heterodyne signals and increasing inter-symbol interference (ISI), which ultimately contributes to higher BERs.
Therefore, while the experimental results validate the principle and feasibility of physical-layer encryption via logical AND operations, they also highlight the importance of component-level bandwidth in determining system performance. In future implementations targeting higher bit rates, increasing the bandwidth of the envelope detector—or replacing it with a high-speed digital demodulation technique—would be essential to preserve signal integrity. Additionally, optimizing the signal-to-noise ratio through enhanced UTC-PD power output and low-noise receiver design could further mitigate BER degradation at high data rates.
Figure 10 highlights, in yellow, the region estimated to be available for communication at 500 Mbit/s, based on the antenna radiation patterns and FMBD receiver characteristics. The simulation estimated the available communication area at 500 Mbit/s to be approximately 6.360 cm2. Table 2 summarizes the parameters employed in simulation evaluations. The simulation parameters include carrier frequency, antenna gains, and beam geometry. These parameters are values obtained experimentally. In the simulation, transmitters A and B were placed at positions corresponding to the experimental setup, and signal reception was evaluated at angles of ±10 degrees relative to the receiver. The analysis also considered the bit misalignment caused by the difference in propagation distance between the two transmitters. Figure 11 presents the spatial distribution of bit offset using a colour map. As shown, under the experimental conditions employed, no bit offset was observed. This implies that the secure communication range in this simulation is not solely determined by the occurrence of bit offset, but also strongly depends on the received power. Accordingly, by regulating the transmitted power, it is possible to further enhance the security level, in addition to the control achieved through bit offset.
From a practical implementation perspective, the computational complexity of the proposed scheme is significantly lower than that of conventional cryptographic protocols such as RSA or PQC. Unlike these methods, which require iterative digital operations, the logical AND operation in our scheme naturally emerges from the analog multiplication of two THz beams, as described in Equation (3). Consequently, decryption is performed passively in the physical layer with constant complexity, O(1) per bit. The hardware overhead is limited to standard THz front-end devices (UTC-PDs, FMBD, and an envelope detector), meaning that the computational burden is negligible compared with software-based cryptographic schemes. Instead, the practical complexity of our system lies mainly in maintaining beam overlap and phase alignment, which introduces synchronization and alignment overhead rather than computational cost.
Next, the simulated BER variation with respect to the receiver position was compared to the experimental results. The simulation evaluated the bit error rate (BER) performance of the proposed dual-transmitter AND-operation scheme under on–off keying (OOK) with direct detection.
First, the system geometry is defined by the transmitter positions ( x 1 ,   y 1 ) and ( x 2 ,   y 2 ), the receiver grid with step size x ,   y , and the beam parameters: center directions ϕ A ,   ϕ B and half-power beamwidths, θ A ,   θ B . The transmitted power is P t , and the antenna gains G A ,   G B (converted from dBi) are modeled using a radiation pattern. The free-space path loss is calculated as
L f s ,     i = 4 π d i λ 2 ,     i A , B
where d i is the distance from transmitter i to each grid point, and λ is the wavelength corresponding to the carrier frequency f = 260 GHz.
In this instance, the terahertz waves strike the Si-based FMBD receiver at an oblique angle. Consequently, attenuation due to the angle of incidence must also be taken into account. Additional angular attenuation is applied using an empirical quadratic model, and the medium transmissivity is expressed as
T Δ α i = T 0 · cos m Δ α i
with T 0 the baseline transmissivity and m an experimentally determined exponent.
The received power at each grid point is then
P r ,   i = P t · G i Δ α i L f s ,     i · A i Δ α i · T Δ α i
where A i Δ α i is the angular attenuation term, and only points within the beamwidth are considered.
The signal-to-noise ratio (SNR) per branch is obtained as
S N R i = P r ,   i N 0 ,     N 0 = k T B
with k the Boltzmann constant, T = 300   K , and B = 40 GHz.
In direct detection OOK, the bit error rate (BER) for each branch is approximated as follows [32,33].
B E R i = 0.5 · e x p S N R i 2
To model the AND operation, the combined BER is given by
B E R A N D = 1 ( 1 B E R A ) ( 1 B E R B )
If the relative path length difference corresponds to a bit offset exceeding the threshold N b , the BER is set to unity, i.e., correct decoding is impossible.
Finally, a communication-available region is defined by the condition
B E R A N D < B E R t h
where the BER threshold is set to 3.8 × 10 3 (HD-FEC limit). Spatial maps of the bit offset, binary availability, BER profiles, and BER versus received power are generated accordingly.
Figure 12a shows that when the FMBD receiver was moved along the x-axis, agreement with the experimental data was not achieved due to insufficient positioning accuracy. In contrast, Figure 12b demonstrates that when the receiver was moved along the y-axis, the experimental results were in close agreement with the simulated trend. These findings indicate that the simulated communication coverage and BER variation can faithfully reproduce the actual system performance. The prediction accuracy of the simulation was evaluated from Figure 12b. The proposed model reproduced the experimental BER tendency with an R2 of 0.84 on a log-scale, while the mean deviation was about 0.91 decades (≈8×). These results indicate that the model captures the overall trend well, although systematic factors such as receiver noise and alignment loss may contribute to the residual discrepancy. Therefore, the model is considered reliable for predicting and optimizing similar secure wireless transmission setups.
From a system design perspective, these results highlight the strong spatial selectivity inherent in the AND-based physical-layer encryption approach. The secure communication zone is clearly defined, contributing to enhanced physical-layer security by naturally restricting the reception area to a well-controlled spatial region. This characteristic is particularly beneficial for applications requiring high confidentiality and targeted wireless transmission.
Moreover, the clear correspondence between experimental observations and simulation results demonstrates the high fidelity of the proposed simulation model. This consistency indicates that the model accurately captures the key physical-layer phenomena—including beam overlap and phase alignment—and can be effectively utilized for system optimization. Such predictive capability is expected to facilitate the design of future secure THz wireless systems, including those incorporating advanced functions such as beam steering, phase control, or spatial diversity techniques to further improve robustness and adaptability.

6. Conclusions

In this work, we have demonstrated a novel physical-layer encryption scheme based on logical AND operations between dual THz beams transmitted from spatially separated transmitter. The system utilizes coherent detection and envelope extraction to recover encrypted data without relying on upper-layer cryptographic protocols. Experimental validation confirmed the feasibility of this approach at data rates up to 1.5 Gbps, with 500 Mbit/s showing particularly low BER values even under modest received power levels. Through spatial BER mapping and comparative simulation analysis, we identified the usable communication area and highlighted the constraints imposed by beam alignment and timing synchronization. While our present experiments did not include explicit synchronization mechanisms, a potential practical solution would be to use staged low-rate training followed by gradual rate escalation before transmitting actual data. Such an approach could mitigate phase noise and environmental misalignment, thereby improving the applicability of the scheme to real-world scenarios. The strong agreement between experimental and simulated results validates the accuracy of our system model, achieving a predictive accuracy of approximately 84%, and confirms its utility in designing future secure THz wireless systems. Overall, this study provides a foundation for scalable, hardware-efficient physical-layer security in next-generation wireless communication, particularly in high-frequency domains such as THz, where beam directivity can be harnessed to restrict access and enhance confidentiality. In addition, the inherently narrow overlap region of the dual beams strongly limits the eavesdropping area, as receivers outside this zone inevitably experience insufficient power or bit misalignment, resulting in BER values close to unity. By adjusting the transmit power in addition to beam overlap constraints, the system can further enhance resistance to interception. Naturally, exploiting two transmission paths introduces additional power consumption compared to a single-link system. However, this overhead is balanced by the significant gain in confidentiality, as eavesdroppers cannot recover data from a single stream. In future implementations, energy-efficient designs such as low-power UTC-PDs or duty-cycled operation could mitigate this trade-off. Moreover, the proposed framework is expected to facilitate the development of more robust and adaptive secure systems through the integration of advanced functionalities such as beam steering, phase control, and spatial diversity techniques in future implementations. Finally, we note that the proposed scheme is well suited for integration with existing wireless infrastructures. Its compatibility with photonic fiber–THz conversion allows straightforward deployment in terrestrial small-cell scenarios. By combining our physical-layer approach with synchronization protocols and higher-layer cryptography, the system can provide multi-layered, practical security in future 6G networks. It should also be emphasized that the present work employed identical modulation formats across both transmission paths to ensure reliable recovery of the original data stream. In practice, however, disparities in channel characteristics—such as path-dependent attenuation, fading, or phase distortion—may arise between the two beams. Under such conditions, enforcing identical modulation on both paths may lead to performance imbalance and reduced decoding efficiency. Future research should therefore explore adaptive mechanisms that mitigate such disparities, for example through dynamic power control, coding redundancy, or channel-specific pre-compensation. Incorporating these techniques would enhance the robustness and scalability of the proposed scheme in realistic wireless environments.

Author Contributions

Conceptualization and methodology: Y.K., S.I. and K.K.; validation, investigation, and data curation: Y.K., S.I. and K.K.; resources: Y.M. and K.K.; writing—original draft preparation: Y.K.; writing—review and editing: Y.M. and K.K.; visualization: Y.K.; supervision: Y.M. and K.K.; project administration: K.K.; funding acquisition: Y.M. and K.K. All authors have read and agreed to the published version of the manuscript.

Funding

This work was supported by the MIC/FORWARD (JPMI241010003), the commissioned research by JST CRONOS JPMJCS24N5, National Institute of Information and Communications Technology (NICT) JPJ012368C00901, JSPS KAKENHI Grant Numbers: JP23K17751, JP24H00319, 25K22089 and JST SPRING, Grant Number: JPMJSP2136.

Data Availability Statement

Data is available on reasonable request.

Acknowledgments

The authors extend their appreciation to Tadao Ishibashi of Wavepackets LLC and Tadao Nagatsuma of The University of Tokyo for the valuable assistance provided throughout this research.

Conflicts of Interest

The authors declare no conflicts of interest.

References

  1. Li, W.; Lin, X.; Han, C.; Zhang, Y.; Wu, H.; Zhang, J. Photonic Terahertz Wireless Communication: Towards the Goal of High-Speed Kilometer-Level Transmission. J. Lightw. Technol. 2024, 42, 1159–1172. [Google Scholar]
  2. Maestrini, A.; Mehdi, I.; Siles, J.V.; Lin, R.; Lee, C.; Chattopadhyay, G.; Pearson, J.; Siegel, P.; Razeghi, M.; Baranov, A.N.; et al. Frequency Tunable Electronic Sources Working at Room Temperature in the 1 to 3 THz Band. Proc. SPIE 2012, 8496, 84960F. [Google Scholar]
  3. Rücker, H.; Heinemann, B. Device Architectures for High-Speed SiGe HBTs. In Proceedings of the 2019 IEEE BiCMOS and Compound Semiconductor Integrated Circuits and Technology Symposium (BCICTS), Nashville, TN, USA, 3–6 November 2019; pp. 1–7. [Google Scholar]
  4. Leong, K.M.K.H.; Mei, X.; Yoshida, W.; Liu, P.-H.; Zhou, Z.; Lange, M.; Lee, L.-S.; Padilla, J.G.; Zamora, A.; Gorospe, B.S.; et al. A 0.85 THz Low Noise Amplifier Using InP HEMT Transistors. IEEE Microw. Wirel. Compon. Lett. 2015, 25, 397–399. [Google Scholar]
  5. Hamada, H.; Nitta, S.; Sano, E.; Fujimura, T.; Abdo, I.; Okada, K.; Song, H.-J.; Sugiyama, H.; Matsuzaki, H.; Nosaka, H. 300-GHz, 100-Gb/s InP-HEMT Wireless Transceiver Using a 300-GHz Fundamental Mixer. In Proceedings of the 2018 IEEE/MTT-S International Microwave Symposium (IMS), Philadelphia, PA, USA, 10–15 June 2018; pp. 1480–1483. [Google Scholar]
  6. Wu, N.; Jin, Z.; Zhou, J.; Wei, H.; Liu, Z.; Lin, J. High Power 190 GHz Frequency Doubler Based on GaAs Schottky Diode. IEEE J. Electron. Devices Soc. 2024, 12, 717–722. [Google Scholar] [CrossRef]
  7. Rouvalis, E.; Renaud, C.C.; Moodie, D.G.; Robertson, M.J.; Seeds, A.J. Traveling-Wave Uni-Traveling Carrier Photodiodes for Continuous Wave THz Generation. Opt. Express 2010, 18, 11105–11110. [Google Scholar] [PubMed]
  8. Renaud, C.C.; Natrella, M.; Graham, C.; Seddon, J.; Van Dijk, F.; Seeds, A.J. Antenna Integrated THz Uni-Traveling Carrier Photodiodes. IEEE J. Sel. Top. Quantum Electron. 2018, 24, 8500111. [Google Scholar] [CrossRef]
  9. Maes, D.; Lemey, S.; Roelkens, G.; Zaknoune, M.; Avramovic, V.; Okada, E.; Szriftgiser, P.; Peytavit, E.; Ducournau, G.; Kuyken, B. High-Speed Uni-Traveling-Carrier Photodiodes on Silicon Nitride. APL Photon. 2023, 8, 016104. [Google Scholar] [CrossRef]
  10. Shiu, Y.-S.; Chang, S.Y.; Wu, H.-C.; Huang, S.C.-H.; Chen, H.-H. Physical Layer Security in Wireless Networks: A Tutorial. IEEE Wirel. Commun. 2011, 18, 66–74. [Google Scholar] [CrossRef]
  11. Joseph, D.; Misoczki, R.; Manzano, M.; Tricot, J.; Pinuaga, F.D.; Lacombe, O.; Leichenauer, S.; Hidary, J.; Venables, P.; Hansen, R. Transitioning Organizations to Post-Quantum Cryptography. Nature 2022, 605, 237–243. [Google Scholar] [CrossRef]
  12. Bernstein, D.J.; Lange, T. Post-Quantum Cryptography. Nature 2017, 549, 188–194. [Google Scholar] [CrossRef]
  13. Anastasova, M.; Azarderakhsh, R.; Kermani, M.M. Fast Strategies for the Implementation of SIKE Round 3 on ARM Cortex-M4. IEEE Trans. Circuits Syst. I 2021, 68, 4129–4141. [Google Scholar] [CrossRef]
  14. Anastasova, M.; Azarderakhsh, R.; Kermani, M.M.; Beshaj, L. Time-Efficient Finite Field Microarchitecture Design for Curve448 and Ed448 on Cortex-M4. In Information Security and Cryptology—ICISC 2022; Seo, S.-H., Seo, H., Eds.; Lecture Notes in Computer Science; Springer: Cham, Switzerland, 2023; Volume 13849, pp. 292–314. [Google Scholar]
  15. Wang, N.; Wang, P.; Alipour-Fanid, A.; Jiao, L.; Zeng, K. Physical-Layer Security of 5G Wireless Networks for IoT: Challenges and Opportunities. IEEE Internet Things J. 2019, 6, 8169–8181. [Google Scholar] [CrossRef]
  16. Erdogan, O.; Ozbek, B.; Busari, S.A.; Gonzalez, J. Hybrid Beamforming for Secure Multiuser MmWave MIMO Communications. In Proceedings of the 2020 IEEE 31st Annual International Symposium on Personal, Indoor and Mobile Radio Communications, London, UK, 31 August–3 September 2020; pp. 1–6. [Google Scholar]
  17. Zhang, L.; Deng, Q.; Zhang, H.; Yang, Z.; Pang, X.; Bobrovs, V.; Popov, S.; Wu, Y.; Yu, X.; Ozolins, O.; et al. Quantum Noise Secured Terahertz Communications. IEEE J. Sel. Top. Quantum Electron. 2023, 29, 8400110. [Google Scholar] [CrossRef]
  18. Yeh, C.Y.; Ghasempour, Y.; Amarasinghe, Y.; Mittleman, D.M.; Knightly, E.W. Security in Terahertz WLANs with Leaky Wave Antennas. In Proceedings of the 13th ACM Conference on Security and Privacy in Wireless and Mobile Networks, Linz, Austria, 8–10 July 2020; pp. 317–327. [Google Scholar]
  19. Rappaport, T.S.; Xing, Y.; Kanhere, O.; Ju, S.; Madanayake, A.; Mandal, S.; Alkhateeb, A.; Trichopoulos, G.C. Wireless Communications and Applications Above 100 GHz: Opportunities and Challenges for 6G and Beyond. IEEE Access 2019, 7, 78729–78757. [Google Scholar] [CrossRef]
  20. Kato, K. Photonics-Assisted Terahertz-Wave Beam Steering and Its Application in Secured Wireless Communication. Photonics 2021, 9, 9. [Google Scholar] [CrossRef]
  21. Iwamoto, S.; Kamiura, Y.; Mikami, Y.; Kato, K. Experimental Evaluation of Physically-Secured 300-GHz-Band Wireless Transmission. In Proceedings of the 30th OptoElectronics and Communications Conference/International Conference on Photonics in Switching and Computing, TuC3-3, Sapporo, Japan, 29 June–2 July 2025. [Google Scholar]
  22. Ito, H.; Ishibashi, T. Novel Fermi-Level Managed Barrier Diode for Broadband and Sensitive Terahertz-Wave Detection. In Proceedings of the 2015 40th International Conference on Infrared, Millimeter, and Terahertz waves (IRMMW-THz), Hong Kong, China, 23–28 August 2015; pp. 1–2. [Google Scholar]
  23. Ito, H.; Ishibashi, T. Fermi-Level Managed Barrier Diode for Broadband and Low-Noise Terahertz-Wave Detection. Electron. Lett. 2015, 51, 1440–1442. [Google Scholar] [CrossRef]
  24. Ito, H.; Ishibashi, T. InP/InGaAs Fermi-Level Managed Barrier Diode for Broadband and Low-Noise Terahertz-Wave Detection. Jpn. J. Appl. Phys. 2017, 56, 014101. [Google Scholar] [CrossRef]
  25. Ito, H.; Kawamoto, Y.; Ohara, T.; Nagatsuma, T.; Ishibashi, T. Low-Noise Balanced Mixer for 300-GHz Band Based on Fermi-Level Managed Barrier Diode on SiC Platform. IEICE Electron. Express 2023, 20, 20230216. [Google Scholar] [CrossRef]
  26. Sanjoh, T.; Sekine, N.; Kato, K.; Takagi, S.; Takenaka, M. Thermal Properties of III–V on a SiC Platform for Photonic Integrated Circuits. Jpn. J. Appl. Phys. 2019, 58, SBBE06. [Google Scholar] [CrossRef]
  27. Ishibashi, T.; Shimizu, N.; Kodama, S.; Ito, H.; Nagatsuma, T.; Furuta, T. Uni-Traveling-Carrier Photodiodes. In Ultrafast Electronics and Optoelectronics; Nuss, M., Bowers, J., Eds.; OSA Trends in Optics and Photonics Series; Optica Publishing Group: Washington, DC, USA, 1997; Volume 13, p. UC3. [Google Scholar]
  28. Wakatsuki, A.; Muramoto, Y.; Ishibashi, T. Development of Terahertz Wave Photomixer Module Using a Uni-Traveling-Carrier Photodiode. NTT Tech. Rev. 2012, 12, 25–31. [Google Scholar] [CrossRef]
  29. Ishibashi, T.; Ito, H. Uni-Traveling-Carrier Photodiodes. J. Appl. Phys. 2020, 127, 031101. [Google Scholar] [CrossRef]
  30. Ishibashi, T.; Ito, H. Uni-Traveling Carrier Photodiodes: Development and Prospects. IEEE J. Sel. Top. Quantum Electron. 2022, 28, 1–6. [Google Scholar] [CrossRef]
  31. Doi, R.; Kamiura, Y.; Qian, C.; Kawamoto, Y.; Gao, W.; Che, M.; Mikami, Y.; Nagatsuma, T.; Ishibashi, T.; Kato, K. 300-GHz Band 125-Gbit/s Wireless Communication Enabled by Photomixer on SiC Substrate. In Proceedings of the 50th European Conference on Optical Communications (ECOC), Frankfurt, Germany, 22–26 September 2024; p. M2F.2. [Google Scholar]
  32. Kahn, J.M.; Barry, J.R. Wireless infrared communications. Proc. IEEE 1997, 85, 265–298. [Google Scholar] [CrossRef]
  33. Sklar, B. Digital Communications: Fundamentals and Applications, 2nd ed.; Prentice Hall: Upper Saddle River, NJ, USA, 2001. [Google Scholar]
Figure 1. Research flow of the proposed THz physical-layer encryption scheme.
Figure 1. Research flow of the proposed THz physical-layer encryption scheme.
Electronics 14 03762 g001
Figure 2. Schematic diagram of the proposed terahertz (THz) wireless communication system based on physical-layer encryption using logical AND operations.
Figure 2. Schematic diagram of the proposed terahertz (THz) wireless communication system based on physical-layer encryption using logical AND operations.
Electronics 14 03762 g002
Figure 3. (a) Simulated spatial coverage of the proposed THz system. The communication area is defined by the spatial overlap and phase alignment of two THz beams. (b) Relationship between bit rate and communication area, showing increased security at higher bit rates due to reduced overlap region.
Figure 3. (a) Simulated spatial coverage of the proposed THz system. The communication area is defined by the spatial overlap and phase alignment of two THz beams. (b) Relationship between bit rate and communication area, showing increased security at higher bit rates due to reduced overlap region.
Electronics 14 03762 g003
Figure 4. Schematic illustration of coherent detection of two intensity-modulated THz beams. Gray shaded regions indicate the bit slots (symbol intervals), while vertical dashed lines denote the boundaries between adjacent bits.
Figure 4. Schematic illustration of coherent detection of two intensity-modulated THz beams. Gray shaded regions indicate the bit slots (symbol intervals), while vertical dashed lines denote the boundaries between adjacent bits.
Electronics 14 03762 g004
Figure 5. Experimental setup of the dual-THz transmitter system.
Figure 5. Experimental setup of the dual-THz transmitter system.
Electronics 14 03762 g005
Figure 6. Photograph and structural overview of the UTC-PD module used for THz generation.
Figure 6. Photograph and structural overview of the UTC-PD module used for THz generation.
Electronics 14 03762 g006
Figure 7. (a) Measured output spectrum of the UTC-PD module at −1.0 V bias and 5 mA photocurrent. (b) THz output power at 260 GHz as a function of photocurrent.
Figure 7. (a) Measured output spectrum of the UTC-PD module at −1.0 V bias and 5 mA photocurrent. (b) THz output power at 260 GHz as a function of photocurrent.
Electronics 14 03762 g007
Figure 8. Temporal waveforms of the transmitted THz signals (I and II) and the heterodyne detected IF signal (III). The gray shaded regions indicate the bit slots (symbol intervals) corresponding to each transmitted bit, highlighting the mapping between the binary sequence and the measured waveform.
Figure 8. Temporal waveforms of the transmitted THz signals (I and II) and the heterodyne detected IF signal (III). The gray shaded regions indicate the bit slots (symbol intervals) corresponding to each transmitted bit, highlighting the mapping between the binary sequence and the measured waveform.
Electronics 14 03762 g008
Figure 9. Measured bit error rate (BER) as a function of receiving photocurrent for different data rates.
Figure 9. Measured bit error rate (BER) as a function of receiving photocurrent for different data rates.
Electronics 14 03762 g009
Figure 10. Simulated spatial distribution of the valid communication region (yellow) at 500 Mbit/s.
Figure 10. Simulated spatial distribution of the valid communication region (yellow) at 500 Mbit/s.
Electronics 14 03762 g010
Figure 11. Bit Offset Distribution by Position. The white dashed lines indicate the beam boundaries, highlighting the main lobe region of the radiation pattern.
Figure 11. Bit Offset Distribution by Position. The white dashed lines indicate the beam boundaries, highlighting the main lobe region of the radiation pattern.
Electronics 14 03762 g011
Figure 12. (a) Comparison between simulated and measured BER along the x-axis of the receiver. (b) Corresponding comparison along the y-axis.
Figure 12. (a) Comparison between simulated and measured BER along the x-axis of the receiver. (b) Corresponding comparison along the y-axis.
Electronics 14 03762 g012
Table 1. Comparison of Security Approaches.
Table 1. Comparison of Security Approaches.
ApproachConfidentialityImplementation
Complexity
Quantum ResistancePractical Adaptability
Conventional
Cryptography
(RSA, AES, etc.)

(Strong under current computing models)

(Software-based, widely available)
×
(Vulnerable to quantum attacks)

(Easily deployable on existing infrastructure)
PQC
(Resistant to quantum attacks)

(Large key sizes, higher computational load)

(Designed for quantum resistance)

(Ongoing standardization, hardware-dependent)
PLS
(Depends on channel characteristics)

(Lightweight, no heavy computation)

(Independent of computational assumptions)

(Sensitive to environment, alignment issues)
Beamforming-based Secrecy
(High directivity reduces leakage)

(Requires MIMO and array control)

(Based on physical properties, quantum-safe)

(Compatible with 5G/6G deployments)
Quantum Noise
Masking

(Confuses eavesdroppers with noise)

(Requires specialized transceivers)

(Noise-based, independent of computation)

(Affected by synchronization and channel stability)
Vortex Beam/
Leaky Wave Antennas

(Spatial confinement of secure zones)

(Specialized antenna designs required)

(Wave-based, resilient to quantum computing)

(Coverage limitations, less suitable outdoors)
This Work
(THz AND Operation)

(Original data recovered only in beam overlap region)

(Low complexity via analog-domain operation)

(Physical-layer based, quantum-independent)

(Requires precise phase synchronization and alignment)
◎: Highly advantageous/strongest merit, 〇: Advantageous/generally favorable, △: Conditional merit/depends on environment, ×: Disadvantageous/weak point.
Table 2. Parameters used in simulation and experimental parameters.
Table 2. Parameters used in simulation and experimental parameters.
ParameterValue/Range
Carrier frequency260 GHz
Transmitter power367.6 μW
Antenna gain (Tx-A/Tx-B)22 dBi/23 dBi
Beam center angles ϕ A ,   ϕ B 10 ° , + 10 °
Beamwidth 16.5 ° , 13.0 °
Bit rate0.5 Gbit/s
Disclaimer/Publisher’s Note: The statements, opinions and data contained in all publications are solely those of the individual author(s) and contributor(s) and not of MDPI and/or the editor(s). MDPI and/or the editor(s) disclaim responsibility for any injury to people or property resulting from any ideas, methods, instructions or products referred to in the content.

Share and Cite

MDPI and ACS Style

Kamiura, Y.; Iwamoto, S.; Mikami, Y.; Kato, K. Physical-Layer Encryption for Terahertz Wireless Communication via Logical AND Operation of Dual Beams. Electronics 2025, 14, 3762. https://doi.org/10.3390/electronics14193762

AMA Style

Kamiura Y, Iwamoto S, Mikami Y, Kato K. Physical-Layer Encryption for Terahertz Wireless Communication via Logical AND Operation of Dual Beams. Electronics. 2025; 14(19):3762. https://doi.org/10.3390/electronics14193762

Chicago/Turabian Style

Kamiura, Yoshiki, Shinji Iwamoto, Yuya Mikami, and Kazutoshi Kato. 2025. "Physical-Layer Encryption for Terahertz Wireless Communication via Logical AND Operation of Dual Beams" Electronics 14, no. 19: 3762. https://doi.org/10.3390/electronics14193762

APA Style

Kamiura, Y., Iwamoto, S., Mikami, Y., & Kato, K. (2025). Physical-Layer Encryption for Terahertz Wireless Communication via Logical AND Operation of Dual Beams. Electronics, 14(19), 3762. https://doi.org/10.3390/electronics14193762

Note that from the first issue of 2016, this journal uses article numbers instead of page numbers. See further details here.

Article Metrics

Back to TopTop