A Modulated Marx Generator Capable of Outputting Quasi-Square Waves
Abstract
1. Introduction
- A modulated Marx generator capable of outputting square-wave short pulses is proposed based on an anti-resonant network.
- The circuit characteristics of the modulated Marx generator designed in this paper are studied, including the modulation effect of the anti-resonant network, the output characteristics of the system and the influence of stray parameters on the system.
- Experiments are conducted on the modulated Marx generator designed in this paper, including single experiments and repetition experiments. The quality and stability of the waveforms are analyzed, and the energy efficiency of the modulated Marx generator is calculated.
2. Design of Modulated Marx Generator
2.1. Overview of the Modulated Marx Generator
2.2. The Structure of the Marx Generator
2.3. Pulse Square Wave Modulator
2.4. Simulation of Complete Circuits
2.5. Output Characteristics of Anti-Resonant Networks
2.6. Anti-Resonant Networks with Stray Parameters
3. Results
3.1. Trigger Source
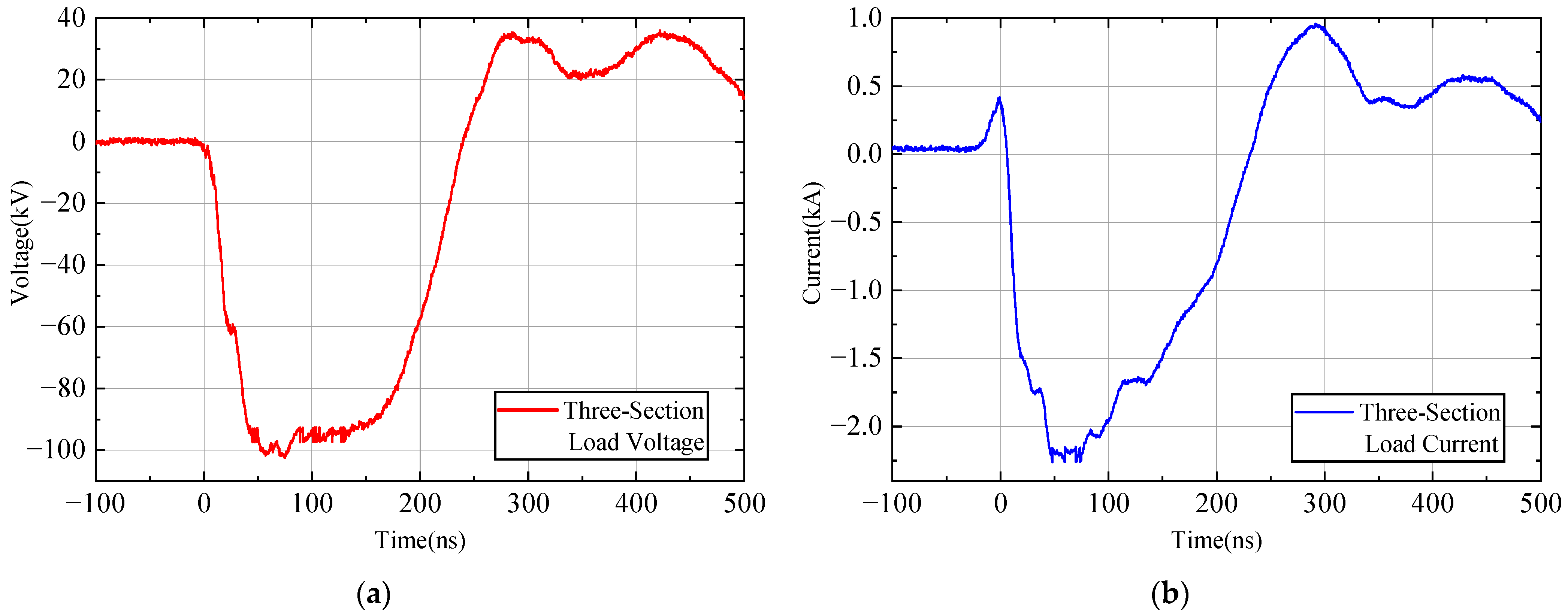
3.2. Single Experiment
3.3. Comparison of Simulation and Experiment
3.4. The Energy Efficiency of the System
3.5. Repetition Experiment
4. Discussion
Author Contributions
Funding
Data Availability Statement
Acknowledgments
Conflicts of Interest
References
- Zhang, J.; Ge, X.; Zhang, J.; Zhang, J.; He, J.; Fan, Y.; Li, Z.; Jin, Z.; Gao, L.; Ling, J.; et al. Research progresses on Cherenkov and transit-time high-power microwave sources at NUDT. Matter Radiat. Extrem. 2016, 1, 163–178. [Google Scholar] [CrossRef]
- Rubery, M.; Kemp, G.; Jones, M.; Pelepchan, N.; Stolte, W.; Heinmiller, J. Soft x-ray power diagnostics for fusion experiments at NIF, Omega, and Z facilities. Rev. Sci. Instrum. 2023, 94, 031101. [Google Scholar] [CrossRef]
- Akiyama, H.; Sakai, S.; Sakugawa, T.; Namihira, T. Environmental applications of repetitive pulsed power. IEEE Trans. Dielectr. Electr. Insul. 2007, 14, 825–833. [Google Scholar] [CrossRef]
- Zhang, Z.; Zhou, Y.; Zhang, Y.; Yang, F.; Ge, X.; He, J. Waveform response to high power microwave pulse in time-division multiplexing RF front end. High Power Laser Part Beams 2023, 35, 103004-1–103004-7. [Google Scholar]
- Ding, Y.; Abe, D.; Shen, B.; Gao, D.; Ding, H. An Overview of Multibeam Klystron Technology. IEEE Trans. Electron Devices 2023, 70, 2656–2665. [Google Scholar] [CrossRef]
- Huang, L.; Xiang, Z.; Deng, B.; Wang, H.; Yuan, Y.; Mao, Q.; Cui, Y.; Xie, M.; Meng, J. Compact Gigawatt Pulsed Power Generator for High-Power Microwave. IEEE Trans. Electron Devices 2023, 70, 3885–3891. [Google Scholar] [CrossRef]
- Xun, T.; Zhao, Y.; Yang, H.; Hu, T.; Zhang, Z.; Cheng, X.; Zhang, J.; Zhang, J.; Zhong, H. Developments of Pulsed Electron Beam Sources for High-Power Microwave Applications. IEEE Access 2020, 8, 101351–101358. [Google Scholar] [CrossRef]
- Andreev, A.; Bosman, H.; Schamiloglu, E. Simulation of Anode Material Erosion in the Internal Environment of HPM Devices. In Proceedings of the IEEE International Conference on Plasma Science, Monterey CA, USA, 20–23 June 2005. [Google Scholar]
- Schamiloglu, E. High power microwave sources and applications. In Proceedings of the IEEE MTT-S International Microwave Symposium Digest, Fort Worth, TX, USA, 6–11 June 2004. [Google Scholar]
- Ghosh, P.; Chaudhury, B. Investigation of Microwave Induced Local Gas Heating in HPM Switching and Protection Using Two-dimensional Computations. In Proceedings of the IEEE Microwaves, Antennas, and Propagation Conference, Bangalore, India, 12–16 December 2022. [Google Scholar]
- Zhang, J.; Jin, Z.; Yang, J.; Zhang, D.; Shu, T.; Zhang, J.; Zhong, H. Successful Suppression of Pulse Shortening in an X-Band Overmoded Relativistic Backward-Wave Oscillator with Pure TM01 Mode Output. IEEE Trans. Plasma Sci. 2015, 43, 528–531. [Google Scholar] [CrossRef]
- Gao, J.; Li, S.; Qian, B.; Zhang, J.; Zhang, J.; Yang, H. Development of a GW-Level Solid-State Long Pulse Generator. IEEE Trans. Plasma Sci. 2019, 47, 4512–4517. [Google Scholar] [CrossRef]
- Wang, L.; Zhang, Z.; Liu, Q.; Zhang, T. Development of a 500-kV All Solid-State Linear Transformer Driver. IEEE Trans. Plasma Sci. 2021, 49, 1915–1919. [Google Scholar] [CrossRef]
- Niu, X.; Wu, Q.; Wang, B.; Yao, J.; Chu, X.; Yi, M.; Gu, Y.; Wang, L.; Xun, T.; Yang, H. Test of KW Class Photonic Microwave Generation Using Vanadium-Compensated 6H-SiC PCSS and Burst-Mode-Operation Pulse Laser. IEEE Photonics J. 2023, 15, 1–7. [Google Scholar] [CrossRef]
- Liu, Z.; Huang, H.; Jin, X.; Li, S.; Wang, T.; Fang, X. Investigation of an X-Band Long Pulse High-Power High-Gain Coaxial Multibeam Relativistic Klystron Amplifier. IEEE Trans. Electron Devices 2019, 66, 722–728. [Google Scholar] [CrossRef]
- Appiah, G.; Martinez, D.; Albarracin, F.; Kasmi, C.; Mora, N. Analytical Design and Simulation of a 9.3GW Tesla Transformer for HPM Sources. IEEE Trans. Plasma Sci. 2022, 50, 4897–4904. [Google Scholar] [CrossRef]
- Shanmuganathan, U.; Saket, K.; Kumar, S.; Das, K.; Nekkanti, S.; Gupta, K. A Compact Repetitive Marx Generator for Generating Intense Electron Beams for HPM Sources. IEEE Trans. Electron Devices 2023, 70, 1256–1261. [Google Scholar] [CrossRef]
- Belozerov, O.; Krasik, Y.; Leopold, J.; Pavlov, S.; Hadas, Y.; Kuchuk, K.; Schamiloglu, E. Characterizing the high-power-microwaves radiated by an axial output compact S-band A6 segmented magnetron fed by a split cathode and powered by a linear induction accelerator. J. Appl. Phys. 2023, 133, 133301. [Google Scholar] [CrossRef]
- Sporer, B.; Shah, A.; Dowhan, G.; Shapovalov, R.; Packard, D.; Wisher, M.; Leckbee, J.; Hendricks, K.; Hoff, B.; Lau, Y.; et al. Multicavity linear transformer driver facility for Z-pinch and high-power microwave research. Phys. Rev. Accel. Beams 2021, 24, 100402. [Google Scholar] [CrossRef]
- Benford, J. History and Future of High Power Microwaves. IEEE Trans. Plasma Sci. 2024, 52, 1137–1144. [Google Scholar] [CrossRef]
- Jordan, N.; Greening, G.; Exelby, S.; Packard, D.; Lau, Y.; Gilgenbach, R. Pulse Shortening in Recirculating Planar Magnetrons. IEEE Trans. Electron Devices 2018, 65, 2354–2360. [Google Scholar] [CrossRef]
- Benford, J.; Benford, G. Survey of pulse shortening in high-power microwave sources. IEEE Trans. Plasma Sci. 1997, 25, 311–317. [Google Scholar] [CrossRef]
- Zhang, Y.; Shao, H.; Sun, J.; Song, Z.; Zhang, X. Investigation of Pulse Shortening Suppressions on the Coaxial Vircator. In Proceedings of the Progress in Electromagnetic Research Symposium, Shanghai, China, 8–11 August 2016. [Google Scholar]
- Chung, S. Particle-In-Cell Simulations on Long Pulse Large Current Behavior of Magnetron with Diffraction Output. IEEE Trans. Plasma Sci. 2022, 50, 2085–2096. [Google Scholar] [CrossRef]
- Yuan, Y.; Meng, J.; Zhang, J.; Zhu, D.; Cui, Y. Influence of RF Breakdown Plasma on Dispersion Relation of High Frequency Structures and Characteristics of Generated Microwave in Relativistic Backward Wave Oscillators. In Proceedings of the Photonics & Electromagnetics Research Symposium, Xiamen, China, 17–20 December 2019. [Google Scholar]
- Cao, Y.; Sun, J.; Fan, Z.; Wu, P.; Song, Z.; Zhu, M.; Bai, X. Plasma effects in the relativistic backward wave oscillator. In Proceedings of the IEEE International Conference on Plasma Science, Beijing, China, 16–20 June 2024. [Google Scholar]
- Ge, X.; He, J.; Ju, J.; Ling, J.; Song, L. Long-pulse high-efficiency relativistic Cherenkov oscillators at L-and S-bands. In Proceedings of the International Conference on Infrared, Millimeter, and Terahertz Waves, Paris, France, 1–6 September 2019. [Google Scholar]
- Benford, J.; Benford, G. Pulse shortening in high power microwave sources. In Proceedings of the IEEE International Pulsed Power Conference, Baltimore, MD, USA, 29 June–2 July 1997. [Google Scholar]
- Hendricks, K.; Haworth, M.; Spencer, T.; Shiffler, D.; Arman, M.; Hackett, K. Research on pulse shortening of GW class HPM sources. In Proceedings of the IEEE Conference Record-Abstracts. 1996 IEEE International Conference on Plasma Science, Boston, MA, USA, 3–5 June 1996. [Google Scholar]
- Zhang, Z.; Zhou, Y.; Zhang, Y.; Qian, B. Investigation on the Effect of HPM Pulse Width and Repetition Frequency on the AAV. IEEE Trans. Electromagn. Compat. 2024, 67, 530–537. [Google Scholar] [CrossRef]
- Luo, J.; Feng, J.; Gong, Y. A Review of Microwave Vacuum Devices in China: Theory and Device Development Including High-Power Klystrons, Spaceborne TWTs, and Gyro-TWTs. IEEE Microw. Mag. 2021, 22, 18–33. [Google Scholar] [CrossRef]
- Pouncey, J.; Lehr, J.; Giri, D. Erection of Compact Marx Generators. IEEE Trans. Plasma Sci. 2019, 47, 2902–2909. [Google Scholar] [CrossRef]
- Song, F.; Li, F.; Zhang, B.; Zhu, M.; Li, C.; Wang, G.; Gong, H.; Gan, Y.; Jin, X. Recent advances in compact repetitive high-power Marx generators. Laser Part Beams 2019, 37, 110–121. [Google Scholar] [CrossRef]
- Zhang, H.; Yang, J.; Lin, J.; Yang, X. A compact bipolar pulse-forming network-Marx generator based on pulse transformers. Rev. Sci. Instrum. 2014, 84, 114705. [Google Scholar] [CrossRef]
- Aranganadin, K.; Zhang, Z.; Lin, Y.; Chang, P.; Hsu, H.; Lin, M. A Mini-Marx Generator Powered by a Cockcroft-Walton Voltage Multiplier. IEEE Trans. Plasma Sci. 2022, 50, 3393–3399. [Google Scholar] [CrossRef]
- Liu, S.; Zhang, J.; Zhang, Z. Review of high power compact pulse forming network-Marx generators. High Power Laser Part Beams 2022, 34, 075001. [Google Scholar]
- Zhang, H.; Li, Z.; Zhang, Z.; Shu, T. Investigation on the generation of high voltage quasi-square pulses with a specific two-node PFN-Marx circuit. Rev. Scientific. Instrum. 2020, 91, 024702. [Google Scholar] [CrossRef] [PubMed]
- Koseki, K. The fast extraction kicker power supply for the main ring of J-PARC. Nucl. Instrum. Methods Phys. Res. Sect. A Accel. Spectrometers Detect. Assoc. Equip. 2013, 729, 3–7. [Google Scholar] [CrossRef]
- Song, F.; Zhang, B.; Li, C.; Li, F.; Wang, G.; Gong, H.; Gan, Y.; Jin, X. Development and testing of a three-section pulse-forming network and its application to Marx circuit. Laser Part Beams 2019, 37, 408–414. [Google Scholar] [CrossRef]
- Chen, R.; Yang, J.; Cheng, X.; Pan, Z. An all-solid-state microsecond-range quasi-square pulse generator based on fractional-turn ratio saturable pulse transformer and anti-resonance network. Rev. Scientific. Instrum. 2017, 88, 034701. [Google Scholar] [CrossRef] [PubMed]
- Cheng, X.; Hu, Y.; Chen, R.; Yang, J.; Pan, Z. A sub-microsecond-range pulse generator based on antiresonance network and transmission line transformer. Rev. Sci. Instrum. 2019, 90, 094703. [Google Scholar] [CrossRef] [PubMed]
- Wu, H.; Ding, M.; Zhao, Y.; Feng, Y.; Wang, X.; Li, X. Compact fast raising-edge X-ray system. High Power Laser Part Beams 2014, 26, 055005. [Google Scholar]
- Cheng, X.; Chen, R.; Pan, Z.; Yang, J.; Geng, J. Research on a modularized long pulse generator based on anti-resonance network and transmission line transformer. Rev. Sci. Instrum. 2021, 92, 044702. [Google Scholar] [CrossRef]
- Zhang, H.; Shu, T.; Liu, S.; Zhang, Z.; Song, L.; Zhang, H. A compact Modular 5GW Pulse PFN-Marx Generator for Driving HPM Source. Electronics 2021, 10, 545. [Google Scholar] [CrossRef]
- Patel, A.; Chandra, R.; Basak, A.; Senthil, K.; Roy, A. Design, simulation, and development of bipolar pulse forming network based Marx generator for S band backward wave oscillator. Rev. Sci. Instrum. 2022, 93, 094703. [Google Scholar] [CrossRef] [PubMed]




























| Parameters/Settings | Values/Configurations |
|---|---|
| solver | Transient Analysis |
| time step | 1 ns |
| switch on-time | 30 ns |
| switch closed resistance | 0.01 Ω |
| final time | 1000 ns |
| Parameters | Two-Section | Three-Section | Haoran Zhang [44] | Ankur Patel [45] | Liyang Huang [6] |
|---|---|---|---|---|---|
| Pulse width (ns) | 165 | 185 | 95 | 200 | 93 |
| Leading edge (ns) | 41 | 25 | 28 | 60 | 35 |
| Leading edge percentage | 24.85% | 13.51% | 29.47% | 30% | 37.63% |
| Waveform flatness (90%) | 54.54% | 63.78% | 42.11% | 62.5% | 53.76% |
| Waveform flatness (80%) | 66.06% | 77.8% | 73.68% | 75% | 64.52% |
| The number of stages of the Marx generator | 12 | 12 | 22 | 18 | 24 |
| The number of sections of the modulation network | 1 | 2 | 3 | 8 | 12 |
| Volume (L) | 31.33 | 35.81 | 76.92 | 3418.05 | 1000 |
| Energy density (J/L) | 1.0533 | 0.92153 | 6.5 | 0.4681 | 0.465 |
| Load (Ω) | 50 | 50 | 59 | 80 | 40 |
Disclaimer/Publisher’s Note: The statements, opinions and data contained in all publications are solely those of the individual author(s) and contributor(s) and not of MDPI and/or the editor(s). MDPI and/or the editor(s) disclaim responsibility for any injury to people or property resulting from any ideas, methods, instructions or products referred to in the content. |
© 2025 by the authors. Licensee MDPI, Basel, Switzerland. This article is an open access article distributed under the terms and conditions of the Creative Commons Attribution (CC BY) license (https://creativecommons.org/licenses/by/4.0/).
Share and Cite
Li, R.; Pan, Z.; Zhou, X.; Chen, R.; Cheng, X. A Modulated Marx Generator Capable of Outputting Quasi-Square Waves. Electronics 2025, 14, 3517. https://doi.org/10.3390/electronics14173517
Li R, Pan Z, Zhou X, Chen R, Cheng X. A Modulated Marx Generator Capable of Outputting Quasi-Square Waves. Electronics. 2025; 14(17):3517. https://doi.org/10.3390/electronics14173517
Chicago/Turabian StyleLi, Rupei, Zilong Pan, Xiang Zhou, Rong Chen, and Xinbing Cheng. 2025. "A Modulated Marx Generator Capable of Outputting Quasi-Square Waves" Electronics 14, no. 17: 3517. https://doi.org/10.3390/electronics14173517
APA StyleLi, R., Pan, Z., Zhou, X., Chen, R., & Cheng, X. (2025). A Modulated Marx Generator Capable of Outputting Quasi-Square Waves. Electronics, 14(17), 3517. https://doi.org/10.3390/electronics14173517
